Номер 284, страница 297 - гдз по алгебре 9 класс учебник Арефьева, Пирютко

Алгебра, 9 класс Учебник, авторы: Арефьева Ирина Глебовна, Пирютко Ольга Николаевна, издательство Народная асвета, Минск, 2019, голубого цвета

Авторы: Арефьева И. Г., Пирютко О. Н.

Тип: Учебник

Издательство: Народная асвета

Год издания: 2019 - 2026

Цвет обложки: голубой, синий с графиком

ISBN: 978-985-03-3077-2

Допущено Министерством образования Республики Беларусь

Популярные ГДЗ в 9 классе

Итоговое повторение. Уравнения, неравенства, системы - номер 284, страница 297.

№284 (с. 297)
Условие. №284 (с. 297)
скриншот условия
Алгебра, 9 класс Учебник, авторы: Арефьева Ирина Глебовна, Пирютко Ольга Николаевна, издательство Народная асвета, Минск, 2019, голубого цвета, страница 297, номер 284, Условие

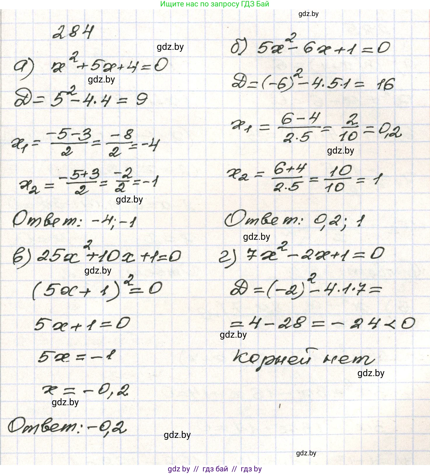
284. Воспользуйтесь формулой корней квадратного уравнения и решите уравнение:

а) $x^2 + 5x + 4 = 0;$

б) $5x^2 - 6x + 1 = 0;$

в) $25x^2 + 10x + 1 = 0;$

г) $7x^2 - 2x + 1 = 0.$

Решение. №284 (с. 297)
Алгебра, 9 класс Учебник, авторы: Арефьева Ирина Глебовна, Пирютко Ольга Николаевна, издательство Народная асвета, Минск, 2019, голубого цвета, страница 297, номер 284, Решение
Решение 2. №284 (с. 297)

Для решения квадратных уравнений вида $ax^2 + bx + c = 0$ воспользуемся формулой корней через дискриминант.

Сначала вычисляем дискриминант: $D = b^2 - 4ac$.

  • Если $D > 0$, уравнение имеет два различных действительных корня: $x_{1,2} = \frac{-b \pm \sqrt{D}}{2a}$.
  • Если $D = 0$, уравнение имеет один действительный корень (или два совпадающих): $x = \frac{-b}{2a}$.
  • Если $D < 0$, уравнение не имеет действительных корней.

а) $x^2 + 5x + 4 = 0$

Здесь коэффициенты: $a = 1$, $b = 5$, $c = 4$.

Вычисляем дискриминант:

$D = 5^2 - 4 \cdot 1 \cdot 4 = 25 - 16 = 9$

Так как $D = 9 > 0$, уравнение имеет два корня. $\sqrt{D} = \sqrt{9} = 3$.

Находим корни:

$x_1 = \frac{-5 + 3}{2 \cdot 1} = \frac{-2}{2} = -1$

$x_2 = \frac{-5 - 3}{2 \cdot 1} = \frac{-8}{2} = -4$

Ответ: -4; -1.

б) $5x^2 - 6x + 1 = 0$

Здесь коэффициенты: $a = 5$, $b = -6$, $c = 1$.

Вычисляем дискриминант:

$D = (-6)^2 - 4 \cdot 5 \cdot 1 = 36 - 20 = 16$

Так как $D = 16 > 0$, уравнение имеет два корня. $\sqrt{D} = \sqrt{16} = 4$.

Находим корни:

$x_1 = \frac{-(-6) + 4}{2 \cdot 5} = \frac{6 + 4}{10} = \frac{10}{10} = 1$

$x_2 = \frac{-(-6) - 4}{2 \cdot 5} = \frac{6 - 4}{10} = \frac{2}{10} = \frac{1}{5}$

Ответ: $\frac{1}{5}$; 1.

в) $25x^2 + 10x + 1 = 0$

Здесь коэффициенты: $a = 25$, $b = 10$, $c = 1$.

Вычисляем дискриминант:

$D = 10^2 - 4 \cdot 25 \cdot 1 = 100 - 100 = 0$

Так как $D = 0$, уравнение имеет один корень.

Находим корень:

$x = \frac{-10}{2 \cdot 25} = \frac{-10}{50} = -\frac{1}{5}$

Ответ: $-\frac{1}{5}$.

г) $7x^2 - 2x + 1 = 0$

Здесь коэффициенты: $a = 7$, $b = -2$, $c = 1$.

Вычисляем дискриминант:

$D = (-2)^2 - 4 \cdot 7 \cdot 1 = 4 - 28 = -24$

Так как $D < 0$, уравнение не имеет действительных корней.

Ответ: нет действительных корней.

Помогло решение? Оставьте отзыв в комментариях ниже.

Присоединяйтесь к Телеграм-группе @gdz_by_belarus

Присоединиться

Мы подготовили для вас ответ c подробным объяснением домашего задания по алгебре за 9 класс, для упражнения номер 284 расположенного на странице 297 к учебнику 2019 года издания для учащихся школ и гимназий.

Теперь на нашем сайте ГДЗ.ТОП вы всегда легко и бесплатно найдёте условие с правильным ответом на вопрос «Как решить ДЗ» и «Как сделать» задание по алгебре к упражнению №284 (с. 297), авторов: Арефьева (Ирина Глебовна), Пирютко (Ольга Николаевна), учебного пособия издательства Народная асвета.