Номер 90, страница 273 - гдз по алгебре 9 класс учебник Арефьева, Пирютко

Алгебра, 9 класс Учебник, авторы: Арефьева Ирина Глебовна, Пирютко Ольга Николаевна, издательство Народная асвета, Минск, 2019, голубого цвета

Авторы: Арефьева И. Г., Пирютко О. Н.

Тип: Учебник

Издательство: Народная асвета

Год издания: 2019 - 2026

Цвет обложки: голубой, синий с графиком

ISBN: 978-985-03-3077-2

Допущено Министерством образования Республики Беларусь

Популярные ГДЗ в 9 классе

Итоговое повторение. Выражения и их преобразования - номер 90, страница 273.

№90 (с. 273)
Условие. №90 (с. 273)
скриншот условия
Алгебра, 9 класс Учебник, авторы: Арефьева Ирина Глебовна, Пирютко Ольга Николаевна, издательство Народная асвета, Минск, 2019, голубого цвета, страница 273, номер 90, Условие

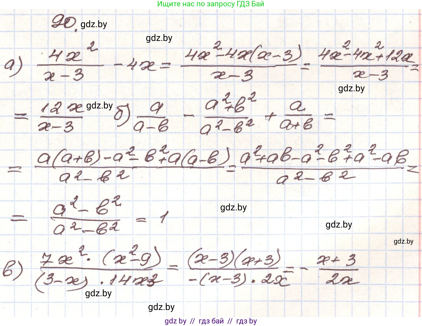
90. Выполните действия:

а) $\frac{4x^2}{x-3} - 4x;$

б) $\frac{a}{a-b} + \frac{a^2+b^2}{b^2-a^2} + \frac{a}{a+b};$

В) $\frac{7x^2}{3-x} \cdot \frac{x^2-9}{14x^3}.$

Решение. №90 (с. 273)
Алгебра, 9 класс Учебник, авторы: Арефьева Ирина Глебовна, Пирютко Ольга Николаевна, издательство Народная асвета, Минск, 2019, голубого цвета, страница 273, номер 90, Решение
Решение 2. №90 (с. 273)

а) Чтобы выполнить вычитание, приведем оба члена к общему знаменателю $x-3$.

$\frac{4x^2}{x-3} - 4x = \frac{4x^2}{x-3} - \frac{4x(x-3)}{x-3}$

Запишем все под одной дробной чертой и раскроем скобки в числителе:

$\frac{4x^2 - 4x(x-3)}{x-3} = \frac{4x^2 - (4x^2 - 12x)}{x-3} = \frac{4x^2 - 4x^2 + 12x}{x-3}$

Упростим числитель:

$\frac{12x}{x-3}$

Полученная дробь является неправильной, так как степень многочлена в числителе ($1$) равна степени многочлена в знаменателе ($1$). Выделим целую часть:

$\frac{12x}{x-3} = \frac{12(x-3) + 36}{x-3} = \frac{12(x-3)}{x-3} + \frac{36}{x-3} = 12 + \frac{36}{x-3}$

Ответ: $12 + \frac{36}{x-3}$

б) Для сложения дробей приведем их к общему знаменателю. Сначала преобразуем знаменатель второй дроби.

Заметим, что $b^2 - a^2 = -(a^2 - b^2) = -(a-b)(a+b)$.

Исходное выражение можно переписать так:

$\frac{a}{a-b} + \frac{a^2+b^2}{b^2-a^2} + \frac{a}{a+b} = \frac{a}{a-b} - \frac{a^2+b^2}{a^2-b^2} + \frac{a}{a+b}$

Общий знаменатель для дробей: $a^2-b^2 = (a-b)(a+b)$. Приведем дроби к этому знаменателю:

$\frac{a(a+b)}{(a-b)(a+b)} - \frac{a^2+b^2}{(a-b)(a+b)} + \frac{a(a-b)}{(a-b)(a+b)}$

Теперь сложим и вычтем числители:

$\frac{a(a+b) - (a^2+b^2) + a(a-b)}{(a-b)(a+b)} = \frac{(a^2+ab) - a^2 - b^2 + (a^2-ab)}{(a-b)(a+b)}$

Упростим выражение в числителе, сократив подобные члены:

$\frac{a^2+ab - a^2 - b^2 + a^2-ab}{a^2-b^2} = \frac{a^2-b^2}{a^2-b^2}$

Сократим дробь:

$\frac{a^2-b^2}{a^2-b^2} = 1$

Ответ: $1$

в) Чтобы выполнить умножение дробей, разложим числитель и знаменатель каждой дроби на множители.

$\frac{7x^2}{3-x} \cdot \frac{x^2-9}{14x^3}$

Разложим на множители $x^2-9$ по формуле разности квадратов: $x^2-9 = (x-3)(x+3)$.

Вынесем знак минус в знаменателе первой дроби: $3-x = -(x-3)$.

Подставим разложения в исходное выражение:

$\frac{7x^2}{-(x-3)} \cdot \frac{(x-3)(x+3)}{14x^3}$

Запишем все под одной дробной чертой и сократим общие множители ($7$, $x^2$ и $(x-3)$):

$-\frac{7x^2(x-3)(x+3)}{(x-3)14x^3} = -\frac{\cancel{7}\cancel{x^2}\cancel{(x-3)}(x+3)}{\cancel{(x-3)}\cancel{14}_2\cancel{x^3}_x} = -\frac{x+3}{2x}$

Полученная дробь является неправильной. Выделим целую часть:

$-\frac{x+3}{2x} = -(\frac{x}{2x} + \frac{3}{2x}) = -(\frac{1}{2} + \frac{3}{2x}) = -\frac{1}{2} - \frac{3}{2x}$

Ответ: $-\frac{1}{2} - \frac{3}{2x}$

Помогло решение? Оставьте отзыв в комментариях ниже.

Присоединяйтесь к Телеграм-группе @gdz_by_belarus

Присоединиться

Мы подготовили для вас ответ c подробным объяснением домашего задания по алгебре за 9 класс, для упражнения номер 90 расположенного на странице 273 к учебнику 2019 года издания для учащихся школ и гимназий.

Теперь на нашем сайте ГДЗ.ТОП вы всегда легко и бесплатно найдёте условие с правильным ответом на вопрос «Как решить ДЗ» и «Как сделать» задание по алгебре к упражнению №90 (с. 273), авторов: Арефьева (Ирина Глебовна), Пирютко (Ольга Николаевна), учебного пособия издательства Народная асвета.