Номер 93, страница 274 - гдз по алгебре 9 класс учебник Арефьева, Пирютко

Алгебра, 9 класс Учебник, авторы: Арефьева Ирина Глебовна, Пирютко Ольга Николаевна, издательство Народная асвета, Минск, 2019, голубого цвета

Авторы: Арефьева И. Г., Пирютко О. Н.

Тип: Учебник

Издательство: Народная асвета

Год издания: 2019 - 2026

Цвет обложки: голубой, синий с графиком

ISBN: 978-985-03-3077-2

Допущено Министерством образования Республики Беларусь

Популярные ГДЗ в 9 классе

Итоговое повторение. Выражения и их преобразования - номер 93, страница 274.

№93 (с. 274)
Условие. №93 (с. 274)
скриншот условия
Алгебра, 9 класс Учебник, авторы: Арефьева Ирина Глебовна, Пирютко Ольга Николаевна, издательство Народная асвета, Минск, 2019, голубого цвета, страница 274, номер 93, Условие

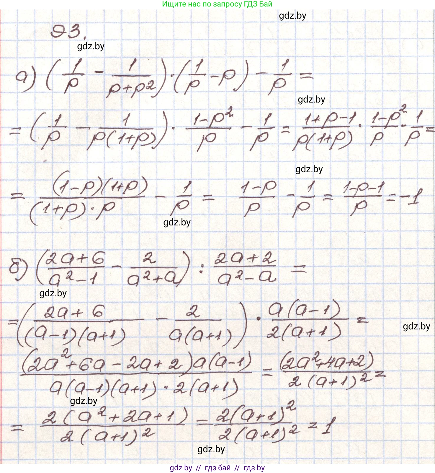
93. Докажите, что при всех действительных значениях переменных значение выражения не зависит от значений переменных:

а) $(\frac{1}{p} - \frac{1}{p + p^2}) \cdot (\frac{1}{p} - p) - \frac{1}{p}$;

б) $(\frac{2a + 6}{a^2 - 1} - \frac{2}{a^2 + a}) : \frac{2a + 2}{a^2 - a}$.

Решение. №93 (с. 274)
Алгебра, 9 класс Учебник, авторы: Арефьева Ирина Глебовна, Пирютко Ольга Николаевна, издательство Народная асвета, Минск, 2019, голубого цвета, страница 274, номер 93, Решение
Решение 2. №93 (с. 274)

Для доказательства того, что значение выражения не зависит от переменной, необходимо упростить его и показать, что в результате получается константа (число).

а) Упростим выражение $(\frac{1}{p} - \frac{1}{p+p^2}) \cdot (\frac{1}{p} - p) - \frac{1}{p}$ по действиям.

1. Выполним вычитание в первой скобке. Для этого разложим знаменатель $p+p^2$ на множители и приведем дроби к общему знаменателю.

$\frac{1}{p} - \frac{1}{p+p^2} = \frac{1}{p} - \frac{1}{p(1+p)} = \frac{1 \cdot (1+p)}{p(1+p)} - \frac{1}{p(1+p)} = \frac{1+p-1}{p(1+p)} = \frac{p}{p(1+p)} = \frac{1}{1+p}$

2. Упростим выражение во второй скобке, приведя его к общему знаменателю $p$.

$\frac{1}{p} - p = \frac{1}{p} - \frac{p \cdot p}{p} = \frac{1-p^2}{p}$

Используя формулу разности квадратов $a^2-b^2=(a-b)(a+b)$, получаем:

$\frac{(1-p)(1+p)}{p}$

3. Теперь перемножим результаты первых двух действий.

$(\frac{1}{1+p}) \cdot (\frac{(1-p)(1+p)}{p}) = \frac{(1-p)(1+p)}{p(1+p)}$

Сокращаем дробь на $(1+p)$:

$\frac{1-p}{p}$

4. Выполним последнее действие — вычитание.

$\frac{1-p}{p} - \frac{1}{p} = \frac{1-p-1}{p} = \frac{-p}{p} = -1$

В результате упрощения мы получили число -1. Это доказывает, что значение исходного выражения не зависит от значений переменной $p$ (для области допустимых значений $p \neq 0, p \neq -1$).

а) Ответ: -1


б) Упростим выражение $(\frac{2a+6}{a^2-1} - \frac{2}{a^2+a}) : \frac{2a+2}{a^2-a}$ по действиям.

1. Выполним вычитание в скобках. Для этого разложим знаменатели и числители на множители.

$\frac{2a+6}{a^2-1} - \frac{2}{a^2+a} = \frac{2(a+3)}{(a-1)(a+1)} - \frac{2}{a(a+1)}$

Общий знаменатель равен $a(a-1)(a+1)$. Приведем дроби к нему:

$\frac{2(a+3) \cdot a}{a(a-1)(a+1)} - \frac{2 \cdot (a-1)}{a(a-1)(a+1)} = \frac{2a(a+3) - 2(a-1)}{a(a-1)(a+1)}$

Раскроем скобки в числителе и упростим его:

$\frac{2a^2+6a - 2a+2}{a(a-1)(a+1)} = \frac{2a^2+4a+2}{a(a-1)(a+1)}$

В числителе вынесем общий множитель 2 и применим формулу квадрата суммы $x^2+2xy+y^2=(x+y)^2$:

$2(a^2+2a+1) = 2(a+1)^2$

Получаем дробь:

$\frac{2(a+1)^2}{a(a-1)(a+1)}$

Сократим дробь на $(a+1)$:

$\frac{2(a+1)}{a(a-1)}$

2. Упростим делитель $\frac{2a+2}{a^2-a}$. Разложим числитель и знаменатель на множители:

$\frac{2(a+1)}{a(a-1)}$

3. Выполним деление. Деление на дробь эквивалентно умножению на обратную дробь.

$(\frac{2(a+1)}{a(a-1)}) : (\frac{2(a+1)}{a(a-1)}) = \frac{2(a+1)}{a(a-1)} \cdot \frac{a(a-1)}{2(a+1)} = 1$

В результате упрощения мы получили число 1. Это доказывает, что значение исходного выражения не зависит от значений переменной $a$ (для области допустимых значений $a \notin \{0, 1, -1\}$).

б) Ответ: 1

Помогло решение? Оставьте отзыв в комментариях ниже.

Присоединяйтесь к Телеграм-группе @gdz_by_belarus

Присоединиться

Мы подготовили для вас ответ c подробным объяснением домашего задания по алгебре за 9 класс, для упражнения номер 93 расположенного на странице 274 к учебнику 2019 года издания для учащихся школ и гимназий.

Теперь на нашем сайте ГДЗ.ТОП вы всегда легко и бесплатно найдёте условие с правильным ответом на вопрос «Как решить ДЗ» и «Как сделать» задание по алгебре к упражнению №93 (с. 274), авторов: Арефьева (Ирина Глебовна), Пирютко (Ольга Николаевна), учебного пособия издательства Народная асвета.