Номер 447, страница 121 - гдз по алгебре 9 класс учебник Макарычев, Миндюк

Алгебра, 9 класс Учебник, авторы: Макарычев Юрий Николаевич, Миндюк Нора Григорьевна, Нешков Константин Иванович, Суворова Светлана Борисовна, издательство Просвещение, Москва, 2014 - 2024

Авторы: Макарычев Ю. Н., Миндюк Н. Г., Нешков К. И., Суворова С. Б.

Тип: Учебник

Издательство: Просвещение

Год издания: 2014 - 2024

ISBN: 978-5-09-0779-15

Допущено Министерством просвещения Российской Федерации

Популярные ГДЗ в 9 классе

Глава 3. Уравнения и неравенства с двумя переменными. Параграф 7. Уравнения с двумя переменными и их системы. 19. Решение систем уравнений второй степени - номер 447, страница 121.

№447 (с. 121)
Условие. №447 (с. 121)
скриншот условия
Алгебра, 9 класс Учебник, авторы: Макарычев Юрий Николаевич, Миндюк Нора Григорьевна, Нешков Константин Иванович, Суворова Светлана Борисовна, издательство Просвещение, Москва, 2014 - 2024, страница 121, номер 447, Условие

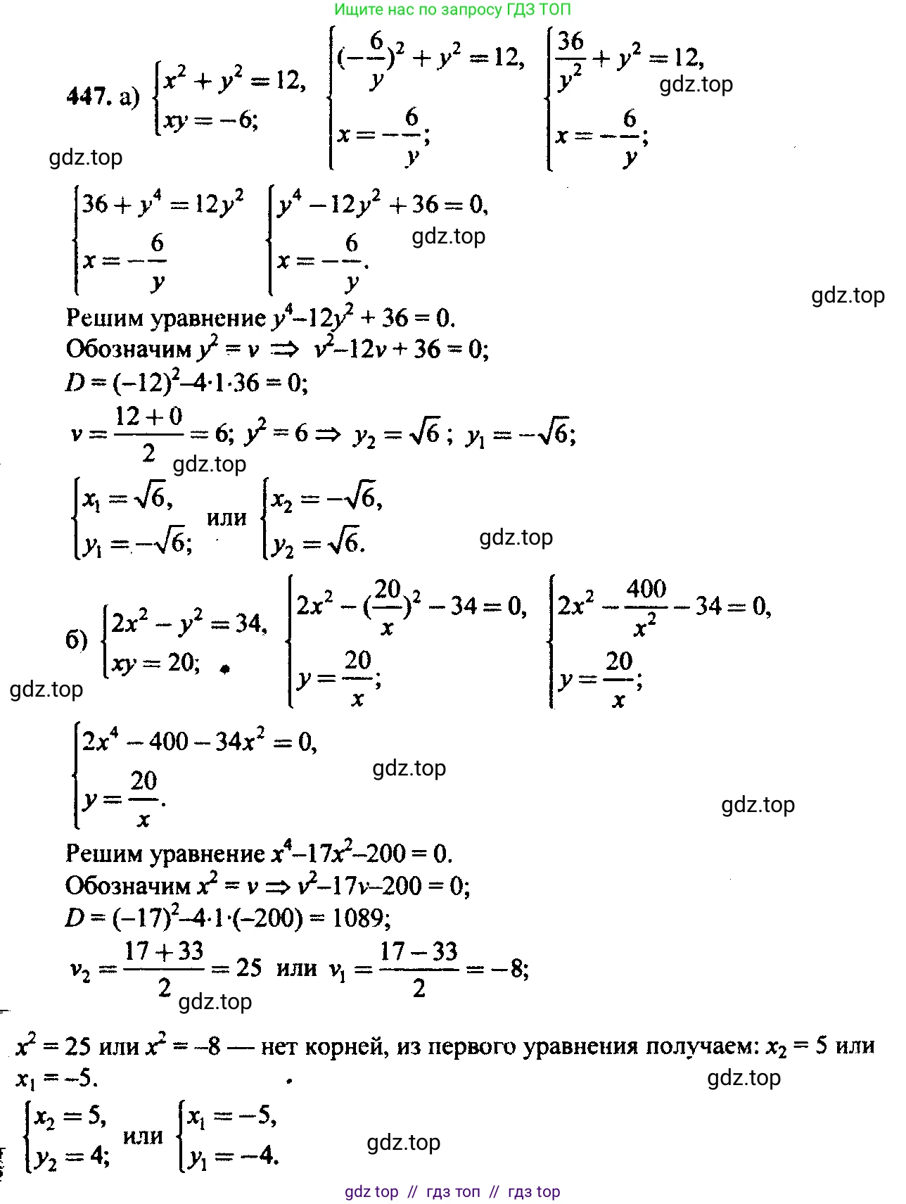
447. Решите способом подстановки систему уравнений:

a) $\begin{cases} x^2 + y^2 = 12, \\ xy = -6; \end{cases}$

б) $\begin{cases} 2x^2 - y^2 = 34, \\ xy = 20. \end{cases}$

Решение 1. №447 (с. 121)
Алгебра, 9 класс Учебник, авторы: Макарычев Юрий Николаевич, Миндюк Нора Григорьевна, Нешков Константин Иванович, Суворова Светлана Борисовна, издательство Просвещение, Москва, 2014 - 2024, страница 121, номер 447, Решение 1
Алгебра, 9 класс Учебник, авторы: Макарычев Юрий Николаевич, Миндюк Нора Григорьевна, Нешков Константин Иванович, Суворова Светлана Борисовна, издательство Просвещение, Москва, 2014 - 2024, страница 121, номер 447, Решение 1 (продолжение 2)
Решение 2. №447 (с. 121)
Алгебра, 9 класс Учебник, авторы: Макарычев Юрий Николаевич, Миндюк Нора Григорьевна, Нешков Константин Иванович, Суворова Светлана Борисовна, издательство Просвещение, Москва, 2014 - 2024, страница 121, номер 447, Решение 2
Решение 3. №447 (с. 121)
Алгебра, 9 класс Учебник, авторы: Макарычев Юрий Николаевич, Миндюк Нора Григорьевна, Нешков Константин Иванович, Суворова Светлана Борисовна, издательство Просвещение, Москва, 2014 - 2024, страница 121, номер 447, Решение 3
Решение 4. №447 (с. 121)
Алгебра, 9 класс Учебник, авторы: Макарычев Юрий Николаевич, Миндюк Нора Григорьевна, Нешков Константин Иванович, Суворова Светлана Борисовна, издательство Просвещение, Москва, 2014 - 2024, страница 121, номер 447, Решение 4
Решение 5. №447 (с. 121)
Алгебра, 9 класс Учебник, авторы: Макарычев Юрий Николаевич, Миндюк Нора Григорьевна, Нешков Константин Иванович, Суворова Светлана Борисовна, издательство Просвещение, Москва, 2014 - 2024, страница 121, номер 447, Решение 5
Решение 6. №447 (с. 121)
Алгебра, 9 класс Учебник, авторы: Макарычев Юрий Николаевич, Миндюк Нора Григорьевна, Нешков Константин Иванович, Суворова Светлана Борисовна, издательство Просвещение, Москва, 2014 - 2024, страница 121, номер 447, Решение 6
Решение 7. №447 (с. 121)
Алгебра, 9 класс Учебник, авторы: Макарычев Юрий Николаевич, Миндюк Нора Григорьевна, Нешков Константин Иванович, Суворова Светлана Борисовна, издательство Просвещение, Москва, 2014 - 2024, страница 121, номер 447, Решение 7
Решение 8. №447 (с. 121)

а)

Дана система уравнений:
$ \begin{cases} x^2 + y^2 = 12, \\ xy = -6. \end{cases} $
Для решения системы методом подстановки выразим одну переменную через другую из второго уравнения. Так как произведение $xy \neq 0$, то ни $x$, ни $y$ не равны нулю. Выразим $y$ через $x$:
$y = -\frac{6}{x}$

Теперь подставим это выражение для $y$ в первое уравнение системы:
$x^2 + (-\frac{6}{x})^2 = 12$
$x^2 + \frac{36}{x^2} = 12$

Умножим обе части уравнения на $x^2$, чтобы избавиться от знаменателя (мы уже знаем, что $x \neq 0$):
$x^4 + 36 = 12x^2$
$x^4 - 12x^2 + 36 = 0$

Это биквадратное уравнение. Сделаем замену переменной: пусть $t = x^2$, где $t \ge 0$. Уравнение примет вид:
$t^2 - 12t + 36 = 0$
Это полный квадрат разности: $(t - 6)^2 = 0$.
Отсюда $t - 6 = 0$, следовательно, $t = 6$.

Вернемся к переменной $x$:
$x^2 = 6$
Отсюда получаем два значения для $x$: $x_1 = \sqrt{6}$ и $x_2 = -\sqrt{6}$.

Теперь найдем соответствующие значения $y$ для каждого $x$, используя формулу $y = -\frac{6}{x}$:
1. Если $x_1 = \sqrt{6}$, то $y_1 = -\frac{6}{\sqrt{6}} = -\frac{6\sqrt{6}}{6} = -\sqrt{6}$.
2. Если $x_2 = -\sqrt{6}$, то $y_2 = -\frac{6}{-\sqrt{6}} = \frac{6}{\sqrt{6}} = \sqrt{6}$.

Таким образом, система имеет два решения.

Ответ: $(\sqrt{6}, -\sqrt{6})$, $(-\sqrt{6}, \sqrt{6})$.

б)

Дана система уравнений:
$ \begin{cases} 2x^2 - y^2 = 34, \\ xy = 20. \end{cases} $
Выразим $y$ через $x$ из второго уравнения. Так как $xy \neq 0$, то $x \neq 0$.
$y = \frac{20}{x}$

Подставим это выражение в первое уравнение:
$2x^2 - (\frac{20}{x})^2 = 34$
$2x^2 - \frac{400}{x^2} = 34$

Умножим обе части уравнения на $x^2$ (где $x \neq 0$):
$2x^4 - 400 = 34x^2$
$2x^4 - 34x^2 - 400 = 0$
Разделим уравнение на 2 для упрощения:
$x^4 - 17x^2 - 200 = 0$

Сделаем замену переменной: пусть $t = x^2$, где $t \ge 0$.
$t^2 - 17t - 200 = 0$
Решим это квадратное уравнение относительно $t$ с помощью дискриминанта:
$D = b^2 - 4ac = (-17)^2 - 4 \cdot 1 \cdot (-200) = 289 + 800 = 1089 = 33^2$
$t = \frac{-b \pm \sqrt{D}}{2a} = \frac{17 \pm 33}{2}$
Получаем два корня для $t$:
$t_1 = \frac{17 + 33}{2} = \frac{50}{2} = 25$
$t_2 = \frac{17 - 33}{2} = \frac{-16}{2} = -8$

Так как $t = x^2$, то $t$ не может быть отрицательным. Поэтому корень $t_2 = -8$ не подходит. Остается $t_1 = 25$.

Вернемся к переменной $x$:
$x^2 = 25$
Отсюда $x_1 = 5$ и $x_2 = -5$.

Найдем соответствующие значения $y$ по формуле $y = \frac{20}{x}$:
1. Если $x_1 = 5$, то $y_1 = \frac{20}{5} = 4$.
2. Если $x_2 = -5$, то $y_2 = \frac{20}{-5} = -4$.

Таким образом, система имеет два решения.

Ответ: $(5, 4)$, $(-5, -4)$.

Помогло решение? Оставьте отзыв в комментариях ниже.

Присоединяйтесь к Телеграм-группе @top_gdz

Присоединиться

Мы подготовили для вас ответ c подробным объяснением домашего задания по алгебре за 9 класс, для упражнения номер 447 расположенного на странице 121 к учебнику 2014 - 2024 года издания для учащихся школ и гимназий.

Теперь на нашем сайте ГДЗ.ТОП вы всегда легко и бесплатно найдёте условие с правильным ответом на вопрос «Как решить ДЗ» и «Как сделать» задание по алгебре к упражнению №447 (с. 121), авторов: Макарычев (Юрий Николаевич), Миндюк (Нора Григорьевна), Нешков (Константин Иванович), Суворова (Светлана Борисовна), ФГОС (старый) учебного пособия издательства Просвещение.