Номер 444, страница 121 - гдз по алгебре 9 класс учебник Макарычев, Миндюк

Алгебра, 9 класс Учебник, авторы: Макарычев Юрий Николаевич, Миндюк Нора Григорьевна, Нешков Константин Иванович, Суворова Светлана Борисовна, издательство Просвещение, Москва, 2014 - 2024

Авторы: Макарычев Ю. Н., Миндюк Н. Г., Нешков К. И., Суворова С. Б.

Тип: Учебник

Издательство: Просвещение

Год издания: 2014 - 2024

ISBN: 978-5-09-0779-15

Допущено Министерством просвещения Российской Федерации

Популярные ГДЗ в 9 классе

Глава 3. Уравнения и неравенства с двумя переменными. Параграф 7. Уравнения с двумя переменными и их системы. 19. Решение систем уравнений второй степени - номер 444, страница 121.

№444 (с. 121)
Условие. №444 (с. 121)
скриншот условия
Алгебра, 9 класс Учебник, авторы: Макарычев Юрий Николаевич, Миндюк Нора Григорьевна, Нешков Константин Иванович, Суворова Светлана Борисовна, издательство Просвещение, Москва, 2014 - 2024, страница 121, номер 444, Условие

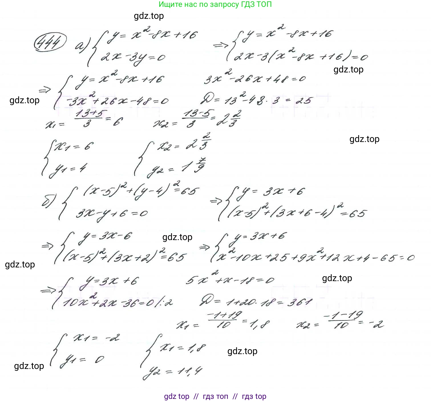
444. Не выполняя построения:

а) определите, пересекает ли парабола $y = x^2 - 8x + 16$ прямую $2x - 3y = 0$ и если да, то в каких точках;

б) найдите, в каких точках пересекаются окружность $(x - 5)^2 + (y - 4)^2 = 65$ и прямая $3x - y + 6 = 0$.

Решение 1. №444 (с. 121)
Алгебра, 9 класс Учебник, авторы: Макарычев Юрий Николаевич, Миндюк Нора Григорьевна, Нешков Константин Иванович, Суворова Светлана Борисовна, издательство Просвещение, Москва, 2014 - 2024, страница 121, номер 444, Решение 1
Алгебра, 9 класс Учебник, авторы: Макарычев Юрий Николаевич, Миндюк Нора Григорьевна, Нешков Константин Иванович, Суворова Светлана Борисовна, издательство Просвещение, Москва, 2014 - 2024, страница 121, номер 444, Решение 1 (продолжение 2)
Решение 2. №444 (с. 121)
Алгебра, 9 класс Учебник, авторы: Макарычев Юрий Николаевич, Миндюк Нора Григорьевна, Нешков Константин Иванович, Суворова Светлана Борисовна, издательство Просвещение, Москва, 2014 - 2024, страница 121, номер 444, Решение 2
Решение 3. №444 (с. 121)
Алгебра, 9 класс Учебник, авторы: Макарычев Юрий Николаевич, Миндюк Нора Григорьевна, Нешков Константин Иванович, Суворова Светлана Борисовна, издательство Просвещение, Москва, 2014 - 2024, страница 121, номер 444, Решение 3
Решение 4. №444 (с. 121)
Алгебра, 9 класс Учебник, авторы: Макарычев Юрий Николаевич, Миндюк Нора Григорьевна, Нешков Константин Иванович, Суворова Светлана Борисовна, издательство Просвещение, Москва, 2014 - 2024, страница 121, номер 444, Решение 4
Решение 5. №444 (с. 121)
Алгебра, 9 класс Учебник, авторы: Макарычев Юрий Николаевич, Миндюк Нора Григорьевна, Нешков Константин Иванович, Суворова Светлана Борисовна, издательство Просвещение, Москва, 2014 - 2024, страница 121, номер 444, Решение 5
Решение 6. №444 (с. 121)
Алгебра, 9 класс Учебник, авторы: Макарычев Юрий Николаевич, Миндюк Нора Григорьевна, Нешков Константин Иванович, Суворова Светлана Борисовна, издательство Просвещение, Москва, 2014 - 2024, страница 121, номер 444, Решение 6
Решение 7. №444 (с. 121)
Алгебра, 9 класс Учебник, авторы: Макарычев Юрий Николаевич, Миндюк Нора Григорьевна, Нешков Константин Иванович, Суворова Светлана Борисовна, издательство Просвещение, Москва, 2014 - 2024, страница 121, номер 444, Решение 7
Решение 8. №444 (с. 121)

а) Чтобы определить, пересекается ли парабола $y = x^2 - 8x + 16$ с прямой $2x - 3y = 0$, и найти точки пересечения, необходимо решить систему уравнений:

$ \begin{cases} y = x^2 - 8x + 16 \\ 2x - 3y = 0 \end{cases} $

Из второго уравнения выразим $y$:

$3y = 2x \implies y = \frac{2}{3}x$

Подставим это выражение для $y$ в уравнение параболы:

$\frac{2}{3}x = x^2 - 8x + 16$

Умножим обе части уравнения на 3 и приведем его к стандартному квадратному виду $ax^2 + bx + c = 0$:

$2x = 3(x^2 - 8x + 16)$

$2x = 3x^2 - 24x + 48$

$3x^2 - 26x + 48 = 0$

Теперь найдем дискриминант $D = b^2 - 4ac$, чтобы определить количество решений:

$D = (-26)^2 - 4 \cdot 3 \cdot 48 = 676 - 576 = 100$

Так как $D > 0$, уравнение имеет два различных действительных корня, следовательно, парабола и прямая пересекаются в двух точках.

Найдем значения $x$ этих точек по формуле $x = \frac{-b \pm \sqrt{D}}{2a}$:

$x = \frac{-(-26) \pm \sqrt{100}}{2 \cdot 3} = \frac{26 \pm 10}{6}$

Получаем два корня:

$x_1 = \frac{26 + 10}{6} = \frac{36}{6} = 6$

$x_2 = \frac{26 - 10}{6} = \frac{16}{6} = \frac{8}{3}$

Теперь найдем соответствующие значения $y$, подставив $x_1$ и $x_2$ в уравнение прямой $y = \frac{2}{3}x$:

При $x_1 = 6$: $y_1 = \frac{2}{3} \cdot 6 = 4$. Первая точка пересечения: $(6, 4)$.

При $x_2 = \frac{8}{3}$: $y_2 = \frac{2}{3} \cdot \frac{8}{3} = \frac{16}{9}$. Вторая точка пересечения: $(\frac{8}{3}, \frac{16}{9})$.

Ответ: Да, парабола и прямая пересекаются в точках $(6, 4)$ и $(\frac{8}{3}, \frac{16}{9})$.

б) Чтобы найти точки пересечения окружности $(x - 5)^2 + (y - 4)^2 = 65$ и прямой $3x - y + 6 = 0$, решим систему этих уравнений.

$ \begin{cases} (x - 5)^2 + (y - 4)^2 = 65 \\ 3x - y + 6 = 0 \end{cases} $

Из уравнения прямой выразим $y$ через $x$:

$y = 3x + 6$

Подставим это выражение в уравнение окружности:

$(x - 5)^2 + ((3x + 6) - 4)^2 = 65$

$(x - 5)^2 + (3x + 2)^2 = 65$

Раскроем скобки и приведем подобные слагаемые:

$(x^2 - 10x + 25) + (9x^2 + 12x + 4) = 65$

$10x^2 + 2x + 29 = 65$

$10x^2 + 2x - 36 = 0$

Разделим уравнение на 2 для упрощения:

$5x^2 + x - 18 = 0$

Найдем корни этого квадратного уравнения с помощью дискриминанта $D = b^2 - 4ac$:

$D = 1^2 - 4 \cdot 5 \cdot (-18) = 1 + 360 = 361$

Так как $\sqrt{361} = 19$, найдем значения $x$ по формуле $x = \frac{-b \pm \sqrt{D}}{2a}$:

$x = \frac{-1 \pm 19}{2 \cdot 5} = \frac{-1 \pm 19}{10}$

Получаем два значения для $x$:

$x_1 = \frac{-1 + 19}{10} = \frac{18}{10} = \frac{9}{5}$

$x_2 = \frac{-1 - 19}{10} = \frac{-20}{10} = -2$

Теперь найдем соответствующие значения $y$, используя уравнение $y = 3x + 6$:

При $x_1 = \frac{9}{5}$: $y_1 = 3 \cdot \frac{9}{5} + 6 = \frac{27}{5} + \frac{30}{5} = \frac{57}{5}$. Первая точка пересечения: $(\frac{9}{5}, \frac{57}{5})$.

При $x_2 = -2$: $y_2 = 3 \cdot (-2) + 6 = 0$. Вторая точка пересечения: $(-2, 0)$.

Ответ: Окружность и прямая пересекаются в точках $(\frac{9}{5}, \frac{57}{5})$ и $(-2, 0)$.

Помогло решение? Оставьте отзыв в комментариях ниже.

Присоединяйтесь к Телеграм-группе @top_gdz

Присоединиться

Мы подготовили для вас ответ c подробным объяснением домашего задания по алгебре за 9 класс, для упражнения номер 444 расположенного на странице 121 к учебнику 2014 - 2024 года издания для учащихся школ и гимназий.

Теперь на нашем сайте ГДЗ.ТОП вы всегда легко и бесплатно найдёте условие с правильным ответом на вопрос «Как решить ДЗ» и «Как сделать» задание по алгебре к упражнению №444 (с. 121), авторов: Макарычев (Юрий Николаевич), Миндюк (Нора Григорьевна), Нешков (Константин Иванович), Суворова (Светлана Борисовна), ФГОС (старый) учебного пособия издательства Просвещение.