Номер 437, страница 120 - гдз по алгебре 9 класс учебник Макарычев, Миндюк

Алгебра, 9 класс Учебник, авторы: Макарычев Юрий Николаевич, Миндюк Нора Григорьевна, Нешков Константин Иванович, Суворова Светлана Борисовна, издательство Просвещение, Москва, 2014 - 2024

Авторы: Макарычев Ю. Н., Миндюк Н. Г., Нешков К. И., Суворова С. Б.

Тип: Учебник

Издательство: Просвещение

Год издания: 2014 - 2024

ISBN: 978-5-09-0779-15

Допущено Министерством просвещения Российской Федерации

Популярные ГДЗ в 9 классе

Глава 3. Уравнения и неравенства с двумя переменными. Параграф 7. Уравнения с двумя переменными и их системы. 19. Решение систем уравнений второй степени - номер 437, страница 120.

№437 (с. 120)
Условие. №437 (с. 120)
скриншот условия
Алгебра, 9 класс Учебник, авторы: Макарычев Юрий Николаевич, Миндюк Нора Григорьевна, Нешков Константин Иванович, Суворова Светлана Борисовна, издательство Просвещение, Москва, 2014 - 2024, страница 120, номер 437, Условие

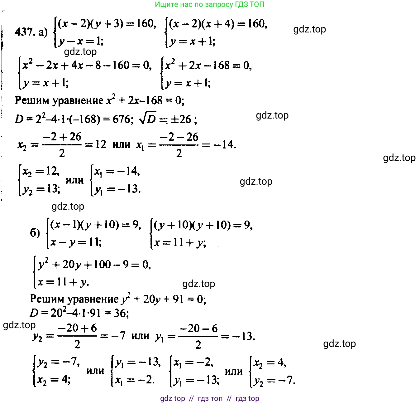
437. Решите систему уравнений:

a) $\begin{cases} (x - 2)(y + 3) = 160, \\ y - x = 1; \end{cases}$

б) $\begin{cases} (x - 1)(y + 10) = 9, \\ x - y = 11. \end{cases}$

Решение 1. №437 (с. 120)
Алгебра, 9 класс Учебник, авторы: Макарычев Юрий Николаевич, Миндюк Нора Григорьевна, Нешков Константин Иванович, Суворова Светлана Борисовна, издательство Просвещение, Москва, 2014 - 2024, страница 120, номер 437, Решение 1
Алгебра, 9 класс Учебник, авторы: Макарычев Юрий Николаевич, Миндюк Нора Григорьевна, Нешков Константин Иванович, Суворова Светлана Борисовна, издательство Просвещение, Москва, 2014 - 2024, страница 120, номер 437, Решение 1 (продолжение 2)
Решение 2. №437 (с. 120)
Алгебра, 9 класс Учебник, авторы: Макарычев Юрий Николаевич, Миндюк Нора Григорьевна, Нешков Константин Иванович, Суворова Светлана Борисовна, издательство Просвещение, Москва, 2014 - 2024, страница 120, номер 437, Решение 2
Решение 3. №437 (с. 120)
Алгебра, 9 класс Учебник, авторы: Макарычев Юрий Николаевич, Миндюк Нора Григорьевна, Нешков Константин Иванович, Суворова Светлана Борисовна, издательство Просвещение, Москва, 2014 - 2024, страница 120, номер 437, Решение 3
Решение 4. №437 (с. 120)
Алгебра, 9 класс Учебник, авторы: Макарычев Юрий Николаевич, Миндюк Нора Григорьевна, Нешков Константин Иванович, Суворова Светлана Борисовна, издательство Просвещение, Москва, 2014 - 2024, страница 120, номер 437, Решение 4
Решение 5. №437 (с. 120)
Алгебра, 9 класс Учебник, авторы: Макарычев Юрий Николаевич, Миндюк Нора Григорьевна, Нешков Константин Иванович, Суворова Светлана Борисовна, издательство Просвещение, Москва, 2014 - 2024, страница 120, номер 437, Решение 5
Решение 6. №437 (с. 120)
Алгебра, 9 класс Учебник, авторы: Макарычев Юрий Николаевич, Миндюк Нора Григорьевна, Нешков Константин Иванович, Суворова Светлана Борисовна, издательство Просвещение, Москва, 2014 - 2024, страница 120, номер 437, Решение 6
Решение 7. №437 (с. 120)
Алгебра, 9 класс Учебник, авторы: Макарычев Юрий Николаевич, Миндюк Нора Григорьевна, Нешков Константин Иванович, Суворова Светлана Борисовна, издательство Просвещение, Москва, 2014 - 2024, страница 120, номер 437, Решение 7
Решение 8. №437 (с. 120)

а) Дана система уравнений:$\begin{cases}(x - 2)(y + 3) = 160, \\y - x = 1.\end{cases}$

Из второго уравнения выразим переменную $y$ через $x$:

$y = x + 1$

Подставим полученное выражение для $y$ в первое уравнение системы:

$(x - 2)((x + 1) + 3) = 160$

Упростим выражение в скобках:

$(x - 2)(x + 4) = 160$

Раскроем скобки и перенесем все члены в левую часть, чтобы получить квадратное уравнение:

$x^2 + 4x - 2x - 8 = 160$

$x^2 + 2x - 8 - 160 = 0$

$x^2 + 2x - 168 = 0$

Решим полученное квадратное уравнение с помощью дискриминанта $D = b^2 - 4ac$:

$D = 2^2 - 4 \cdot 1 \cdot (-168) = 4 + 672 = 676$

$\sqrt{D} = \sqrt{676} = 26$

Найдем корни уравнения:

$x_1 = \frac{-2 + 26}{2} = \frac{24}{2} = 12$

$x_2 = \frac{-2 - 26}{2} = \frac{-28}{2} = -14$

Теперь найдем соответствующие значения $y$ для каждого найденного $x$, используя уравнение $y = x + 1$:

Если $x_1 = 12$, то $y_1 = 12 + 1 = 13$.

Если $x_2 = -14$, то $y_2 = -14 + 1 = -13$.

Таким образом, система имеет две пары решений.

Ответ: $(12; 13)$, $(-14; -13)$.

б) Дана система уравнений:$\begin{cases}(x - 1)(y + 10) = 9, \\x - y = 11.\end{cases}$

Из второго уравнения выразим переменную $x$ через $y$:

$x = y + 11$

Подставим полученное выражение для $x$ в первое уравнение системы:

$((y + 11) - 1)(y + 10) = 9$

Упростим выражение в первой скобке:

$(y + 10)(y + 10) = 9$

$(y + 10)^2 = 9$

Извлечем квадратный корень из обеих частей уравнения:

$y + 10 = \pm\sqrt{9}$

$y + 10 = \pm 3$

Получаем два возможных значения для $y$:

1) $y_1 + 10 = 3 \implies y_1 = 3 - 10 = -7$

2) $y_2 + 10 = -3 \implies y_2 = -3 - 10 = -13$

Теперь найдем соответствующие значения $x$ для каждого найденного $y$, используя уравнение $x = y + 11$:

Если $y_1 = -7$, то $x_1 = -7 + 11 = 4$.

Если $y_2 = -13$, то $x_2 = -13 + 11 = -2$.

Таким образом, система имеет две пары решений.

Ответ: $(4; -7)$, $(-2; -13)$.

Помогло решение? Оставьте отзыв в комментариях ниже.

Присоединяйтесь к Телеграм-группе @top_gdz

Присоединиться

Мы подготовили для вас ответ c подробным объяснением домашего задания по алгебре за 9 класс, для упражнения номер 437 расположенного на странице 120 к учебнику 2014 - 2024 года издания для учащихся школ и гимназий.

Теперь на нашем сайте ГДЗ.ТОП вы всегда легко и бесплатно найдёте условие с правильным ответом на вопрос «Как решить ДЗ» и «Как сделать» задание по алгебре к упражнению №437 (с. 120), авторов: Макарычев (Юрий Николаевич), Миндюк (Нора Григорьевна), Нешков (Константин Иванович), Суворова (Светлана Борисовна), ФГОС (старый) учебного пособия издательства Просвещение.