Номер 436, страница 120 - гдз по алгебре 9 класс учебник Макарычев, Миндюк

Алгебра, 9 класс Учебник, авторы: Макарычев Юрий Николаевич, Миндюк Нора Григорьевна, Нешков Константин Иванович, Суворова Светлана Борисовна, издательство Просвещение, Москва, 2014 - 2024

Авторы: Макарычев Ю. Н., Миндюк Н. Г., Нешков К. И., Суворова С. Б.

Тип: Учебник

Издательство: Просвещение

Год издания: 2014 - 2024

ISBN: 978-5-09-0779-15

Допущено Министерством просвещения Российской Федерации

Популярные ГДЗ в 9 классе

Глава 3. Уравнения и неравенства с двумя переменными. Параграф 7. Уравнения с двумя переменными и их системы. 19. Решение систем уравнений второй степени - номер 436, страница 120.

№436 (с. 120)
Условие. №436 (с. 120)
скриншот условия
Алгебра, 9 класс Учебник, авторы: Макарычев Юрий Николаевич, Миндюк Нора Григорьевна, Нешков Константин Иванович, Суворова Светлана Борисовна, издательство Просвещение, Москва, 2014 - 2024, страница 120, номер 436, Условие

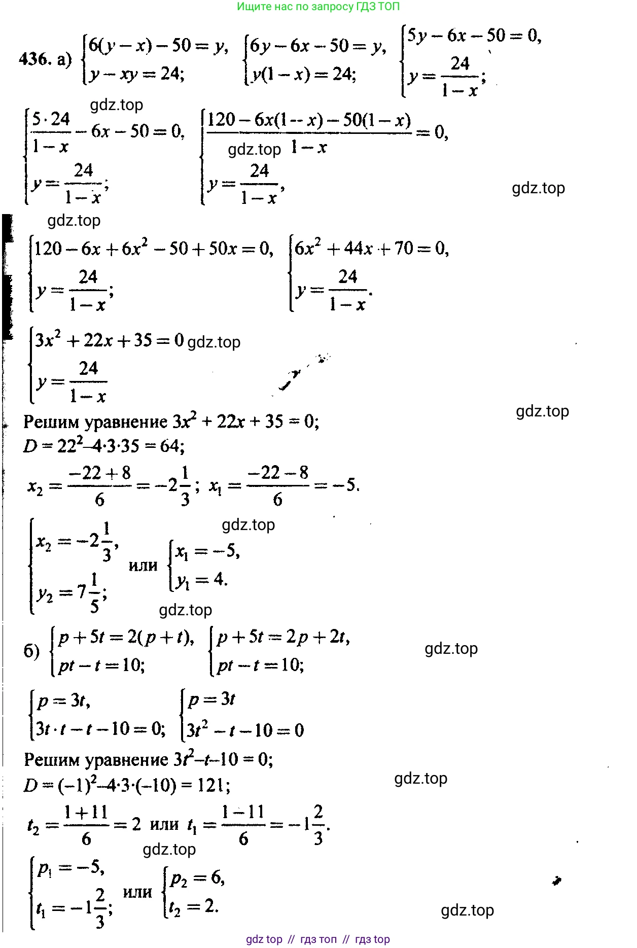
436. Решите систему уравнений:

a) $$ \begin{cases} 6(y - x) - 50 = y, \\ y - xy = 24; \end{cases} $$

б) $$ \begin{cases} p + 5t = 2(p + t), \\ pt - t = 10. \end{cases} $$

Решение 1. №436 (с. 120)
Алгебра, 9 класс Учебник, авторы: Макарычев Юрий Николаевич, Миндюк Нора Григорьевна, Нешков Константин Иванович, Суворова Светлана Борисовна, издательство Просвещение, Москва, 2014 - 2024, страница 120, номер 436, Решение 1
Алгебра, 9 класс Учебник, авторы: Макарычев Юрий Николаевич, Миндюк Нора Григорьевна, Нешков Константин Иванович, Суворова Светлана Борисовна, издательство Просвещение, Москва, 2014 - 2024, страница 120, номер 436, Решение 1 (продолжение 2)
Решение 2. №436 (с. 120)
Алгебра, 9 класс Учебник, авторы: Макарычев Юрий Николаевич, Миндюк Нора Григорьевна, Нешков Константин Иванович, Суворова Светлана Борисовна, издательство Просвещение, Москва, 2014 - 2024, страница 120, номер 436, Решение 2
Решение 3. №436 (с. 120)
Алгебра, 9 класс Учебник, авторы: Макарычев Юрий Николаевич, Миндюк Нора Григорьевна, Нешков Константин Иванович, Суворова Светлана Борисовна, издательство Просвещение, Москва, 2014 - 2024, страница 120, номер 436, Решение 3
Решение 4. №436 (с. 120)
Алгебра, 9 класс Учебник, авторы: Макарычев Юрий Николаевич, Миндюк Нора Григорьевна, Нешков Константин Иванович, Суворова Светлана Борисовна, издательство Просвещение, Москва, 2014 - 2024, страница 120, номер 436, Решение 4
Решение 5. №436 (с. 120)
Алгебра, 9 класс Учебник, авторы: Макарычев Юрий Николаевич, Миндюк Нора Григорьевна, Нешков Константин Иванович, Суворова Светлана Борисовна, издательство Просвещение, Москва, 2014 - 2024, страница 120, номер 436, Решение 5
Решение 6. №436 (с. 120)
Алгебра, 9 класс Учебник, авторы: Макарычев Юрий Николаевич, Миндюк Нора Григорьевна, Нешков Константин Иванович, Суворова Светлана Борисовна, издательство Просвещение, Москва, 2014 - 2024, страница 120, номер 436, Решение 6
Решение 7. №436 (с. 120)
Алгебра, 9 класс Учебник, авторы: Макарычев Юрий Николаевич, Миндюк Нора Григорьевна, Нешков Константин Иванович, Суворова Светлана Борисовна, издательство Просвещение, Москва, 2014 - 2024, страница 120, номер 436, Решение 7 Алгебра, 9 класс Учебник, авторы: Макарычев Юрий Николаевич, Миндюк Нора Григорьевна, Нешков Константин Иванович, Суворова Светлана Борисовна, издательство Просвещение, Москва, 2014 - 2024, страница 120, номер 436, Решение 7 (продолжение 2)
Решение 8. №436 (с. 120)

а)
Дана система уравнений:
$ \begin{cases} 6(y - x) - 50 = y, \\ y - xy = 24; \end{cases} $
Сначала упростим первое уравнение:
$6y - 6x - 50 = y$
$6y - y - 6x = 50$
$5y - 6x = 50$
Теперь преобразуем второе уравнение, вынеся $y$ за скобки:
$y(1 - x) = 24$
Из этого уравнения выразим $y$ через $x$ (при условии, что $x \neq 1$):
$y = \frac{24}{1 - x}$
Теперь подставим это выражение для $y$ в преобразованное первое уравнение $5y - 6x = 50$:
$5 \left( \frac{24}{1 - x} \right) - 6x = 50$
$\frac{120}{1 - x} - 6x = 50$
Умножим обе части уравнения на $(1 - x)$, чтобы избавиться от знаменателя:
$120 - 6x(1 - x) = 50(1 - x)$
$120 - 6x + 6x^2 = 50 - 50x$
Перенесем все члены в левую часть и приведем подобные:
$6x^2 - 6x + 50x + 120 - 50 = 0$
$6x^2 + 44x + 70 = 0$
Для упрощения разделим все уравнение на 2:
$3x^2 + 22x + 35 = 0$
Мы получили квадратное уравнение. Решим его, найдя дискриминант $D = b^2 - 4ac$:
$D = 22^2 - 4 \cdot 3 \cdot 35 = 484 - 420 = 64$
Так как $D > 0$, уравнение имеет два корня. Найдем их:
$x_1 = \frac{-b + \sqrt{D}}{2a} = \frac{-22 + \sqrt{64}}{2 \cdot 3} = \frac{-22 + 8}{6} = \frac{-14}{6} = -\frac{7}{3}$
$x_2 = \frac{-b - \sqrt{D}}{2a} = \frac{-22 - \sqrt{64}}{2 \cdot 3} = \frac{-22 - 8}{6} = \frac{-30}{6} = -5$
Теперь для каждого найденного значения $x$ найдем соответствующее значение $y$, используя формулу $y = \frac{24}{1 - x}$:
При $x_1 = -\frac{7}{3}$:
$y_1 = \frac{24}{1 - (-\frac{7}{3})} = \frac{24}{1 + \frac{7}{3}} = \frac{24}{\frac{3+7}{3}} = \frac{24}{\frac{10}{3}} = \frac{24 \cdot 3}{10} = \frac{72}{10} = \frac{36}{5}$
При $x_2 = -5$:
$y_2 = \frac{24}{1 - (-5)} = \frac{24}{1 + 5} = \frac{24}{6} = 4$
Таким образом, система имеет два решения.
Ответ: $(-\frac{7}{3}, \frac{36}{5})$; $(-5, 4)$.

б)
Дана система уравнений:
$ \begin{cases} p + 5t = 2(p + t), \\ pt - t = 10. \end{cases} $
Упростим первое уравнение, раскрыв скобки:
$p + 5t = 2p + 2t$
Перенесем члены с $p$ в одну сторону, а с $t$ в другую:
$5t - 2t = 2p - p$
$3t = p$
Теперь у нас есть простое выражение для $p$. Подставим его во второе уравнение системы:
$(3t)t - t = 10$
$3t^2 - t = 10$
Перенесем все в левую часть, чтобы получить стандартное квадратное уравнение:
$3t^2 - t - 10 = 0$
Решим это уравнение относительно $t$, найдя дискриминант $D = b^2 - 4ac$:
$D = (-1)^2 - 4 \cdot 3 \cdot (-10) = 1 + 120 = 121$
Так как $D > 0$, уравнение имеет два корня. Найдем их:
$t_1 = \frac{-b + \sqrt{D}}{2a} = \frac{-(-1) + \sqrt{121}}{2 \cdot 3} = \frac{1 + 11}{6} = \frac{12}{6} = 2$
$t_2 = \frac{-b - \sqrt{D}}{2a} = \frac{-(-1) - \sqrt{121}}{2 \cdot 3} = \frac{1 - 11}{6} = \frac{-10}{6} = -\frac{5}{3}$
Теперь для каждого найденного значения $t$ найдем соответствующее значение $p$, используя соотношение $p = 3t$:
При $t_1 = 2$:
$p_1 = 3 \cdot 2 = 6$
При $t_2 = -\frac{5}{3}$:
$p_2 = 3 \cdot (-\frac{5}{3}) = -5$
Таким образом, система имеет два решения.
Ответ: $(6, 2)$; $(-5, -\frac{5}{3})$.

Помогло решение? Оставьте отзыв в комментариях ниже.

Присоединяйтесь к Телеграм-группе @top_gdz

Присоединиться

Мы подготовили для вас ответ c подробным объяснением домашего задания по алгебре за 9 класс, для упражнения номер 436 расположенного на странице 120 к учебнику 2014 - 2024 года издания для учащихся школ и гимназий.

Теперь на нашем сайте ГДЗ.ТОП вы всегда легко и бесплатно найдёте условие с правильным ответом на вопрос «Как решить ДЗ» и «Как сделать» задание по алгебре к упражнению №436 (с. 120), авторов: Макарычев (Юрий Николаевич), Миндюк (Нора Григорьевна), Нешков (Константин Иванович), Суворова (Светлана Борисовна), ФГОС (старый) учебного пособия издательства Просвещение.