Номер 431, страница 119 - гдз по алгебре 9 класс учебник Макарычев, Миндюк

Алгебра, 9 класс Учебник, авторы: Макарычев Юрий Николаевич, Миндюк Нора Григорьевна, Нешков Константин Иванович, Суворова Светлана Борисовна, издательство Просвещение, Москва, 2014 - 2024

Авторы: Макарычев Ю. Н., Миндюк Н. Г., Нешков К. И., Суворова С. Б.

Тип: Учебник

Издательство: Просвещение

Год издания: 2014 - 2024

ISBN: 978-5-09-0779-15

Допущено Министерством просвещения Российской Федерации

Популярные ГДЗ в 9 классе

Глава 3. Уравнения и неравенства с двумя переменными. Параграф 7. Уравнения с двумя переменными и их системы. 19. Решение систем уравнений второй степени - номер 431, страница 119.

№431 (с. 119)
Условие. №431 (с. 119)
скриншот условия
Алгебра, 9 класс Учебник, авторы: Макарычев Юрий Николаевич, Миндюк Нора Григорьевна, Нешков Константин Иванович, Суворова Светлана Борисовна, издательство Просвещение, Москва, 2014 - 2024, страница 119, номер 431, Условие

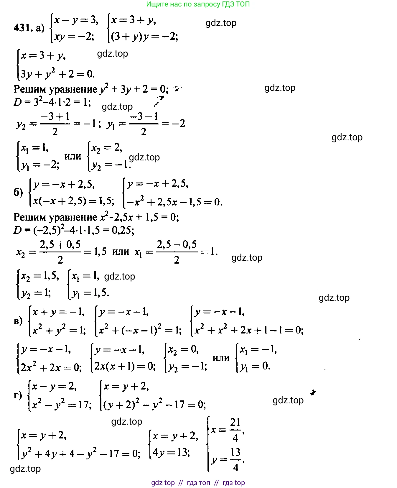
431. Решите систему уравнений:

a) $\begin{cases} x - y = 3, \\ xy = -2; \end{cases}$

б) $\begin{cases} x + y = 2,5, \\ xy = 1,5; \end{cases}$

в) $\begin{cases} x + y = -1, \\ x^2 + y^2 = 1; \end{cases}$

г) $\begin{cases} x - y = 2, \\ x^2 - y^2 = 17. \end{cases}$

Решение 1. №431 (с. 119)
Алгебра, 9 класс Учебник, авторы: Макарычев Юрий Николаевич, Миндюк Нора Григорьевна, Нешков Константин Иванович, Суворова Светлана Борисовна, издательство Просвещение, Москва, 2014 - 2024, страница 119, номер 431, Решение 1
Алгебра, 9 класс Учебник, авторы: Макарычев Юрий Николаевич, Миндюк Нора Григорьевна, Нешков Константин Иванович, Суворова Светлана Борисовна, издательство Просвещение, Москва, 2014 - 2024, страница 119, номер 431, Решение 1 (продолжение 2)
Решение 2. №431 (с. 119)
Алгебра, 9 класс Учебник, авторы: Макарычев Юрий Николаевич, Миндюк Нора Григорьевна, Нешков Константин Иванович, Суворова Светлана Борисовна, издательство Просвещение, Москва, 2014 - 2024, страница 119, номер 431, Решение 2
Алгебра, 9 класс Учебник, авторы: Макарычев Юрий Николаевич, Миндюк Нора Григорьевна, Нешков Константин Иванович, Суворова Светлана Борисовна, издательство Просвещение, Москва, 2014 - 2024, страница 119, номер 431, Решение 2 (продолжение 2)
Решение 3. №431 (с. 119)
Алгебра, 9 класс Учебник, авторы: Макарычев Юрий Николаевич, Миндюк Нора Григорьевна, Нешков Константин Иванович, Суворова Светлана Борисовна, издательство Просвещение, Москва, 2014 - 2024, страница 119, номер 431, Решение 3
Решение 4. №431 (с. 119)
Алгебра, 9 класс Учебник, авторы: Макарычев Юрий Николаевич, Миндюк Нора Григорьевна, Нешков Константин Иванович, Суворова Светлана Борисовна, издательство Просвещение, Москва, 2014 - 2024, страница 119, номер 431, Решение 4
Решение 5. №431 (с. 119)
Алгебра, 9 класс Учебник, авторы: Макарычев Юрий Николаевич, Миндюк Нора Григорьевна, Нешков Константин Иванович, Суворова Светлана Борисовна, издательство Просвещение, Москва, 2014 - 2024, страница 119, номер 431, Решение 5
Решение 6. №431 (с. 119)
Алгебра, 9 класс Учебник, авторы: Макарычев Юрий Николаевич, Миндюк Нора Григорьевна, Нешков Константин Иванович, Суворова Светлана Борисовна, издательство Просвещение, Москва, 2014 - 2024, страница 119, номер 431, Решение 6
Решение 7. №431 (с. 119)
Алгебра, 9 класс Учебник, авторы: Макарычев Юрий Николаевич, Миндюк Нора Григорьевна, Нешков Константин Иванович, Суворова Светлана Борисовна, издательство Просвещение, Москва, 2014 - 2024, страница 119, номер 431, Решение 7
Решение 8. №431 (с. 119)

а) Дана система уравнений: $ \begin{cases} x - y = 3 \\ xy = -2 \end{cases} $. Из первого уравнения выразим $x$ через $y$: $x = 3 + y$. Подставим это выражение во второе уравнение: $(3 + y)y = -2$. Раскроем скобки и перенесем все члены в одну сторону, чтобы получить квадратное уравнение: $y^2 + 3y + 2 = 0$. Корни этого уравнения можно найти по теореме Виета: их сумма равна $-3$, а произведение равно $2$. Следовательно, $y_1 = -1$ и $y_2 = -2$. Найдем соответствующие значения $x$. При $y_1 = -1$, получаем $x_1 = 3 + (-1) = 2$. При $y_2 = -2$, получаем $x_2 = 3 + (-2) = 1$. Таким образом, решениями системы являются две пары чисел.

Ответ: $(2; -1), (1; -2)$.

б) Дана система уравнений: $ \begin{cases} x + y = 2,5 \\ xy = 1,5 \end{cases} $. Согласно обратной теореме Виета, $x$ и $y$ являются корнями квадратного уравнения $t^2 - (x+y)t + xy = 0$. Подставим в него значения из системы: $t^2 - 2,5t + 1,5 = 0$. Для удобства вычислений умножим уравнение на 2: $2t^2 - 5t + 3 = 0$. Найдем дискриминант: $D = (-5)^2 - 4 \cdot 2 \cdot 3 = 25 - 24 = 1$. Корни уравнения равны $t_1 = \frac{5 + \sqrt{1}}{2 \cdot 2} = \frac{6}{4} = 1,5$ и $t_2 = \frac{5 - \sqrt{1}}{2 \cdot 2} = \frac{4}{4} = 1$. Следовательно, пара чисел $\{x, y\}$ это $\{1; 1,5\}$.

Ответ: $(1; 1,5), (1,5; 1)$.

в) Дана система уравнений: $ \begin{cases} x + y = -1 \\ x^2 + y^2 = 1 \end{cases} $. Возведем обе части первого уравнения в квадрат: $(x+y)^2 = (-1)^2$, что эквивалентно $x^2 + 2xy + y^2 = 1$. Из второго уравнения системы мы знаем, что $x^2 + y^2 = 1$. Подставим это значение в полученное равенство: $1 + 2xy = 1$. Отсюда следует, что $2xy = 0$, то есть $xy = 0$. Теперь исходная система эквивалентна следующей: $ \begin{cases} x + y = -1 \\ xy = 0 \end{cases} $. Из второго уравнения этой системы следует, что либо $x=0$, либо $y=0$. Если $x=0$, то из первого уравнения $y=-1$. Если же $y=0$, то $x=-1$.

Ответ: $(0; -1), (-1; 0)$.

г) Дана система уравнений: $ \begin{cases} x - y = 2 \\ x^2 - y^2 = 17 \end{cases} $. Второе уравнение можно преобразовать, используя формулу разности квадратов: $x^2 - y^2 = (x-y)(x+y)$. Подставим в него значения из системы: $17 = 2 \cdot (x+y)$. Отсюда можно выразить сумму $x+y = \frac{17}{2} = 8,5$. Теперь мы имеем систему двух линейных уравнений: $ \begin{cases} x - y = 2 \\ x + y = 8,5 \end{cases} $. Сложим эти два уравнения: $(x - y) + (x + y) = 2 + 8,5$, что дает $2x = 10,5$. Отсюда $x = 5,25$. Подставим найденное значение $x$ в первое уравнение $x-y=2$: $5,25 - y = 2$. Отсюда $y = 5,25 - 2 = 3,25$.

Ответ: $(5,25; 3,25)$.

Помогло решение? Оставьте отзыв в комментариях ниже.

Присоединяйтесь к Телеграм-группе @top_gdz

Присоединиться

Мы подготовили для вас ответ c подробным объяснением домашего задания по алгебре за 9 класс, для упражнения номер 431 расположенного на странице 119 к учебнику 2014 - 2024 года издания для учащихся школ и гимназий.

Теперь на нашем сайте ГДЗ.ТОП вы всегда легко и бесплатно найдёте условие с правильным ответом на вопрос «Как решить ДЗ» и «Как сделать» задание по алгебре к упражнению №431 (с. 119), авторов: Макарычев (Юрий Николаевич), Миндюк (Нора Григорьевна), Нешков (Константин Иванович), Суворова (Светлана Борисовна), ФГОС (старый) учебного пособия издательства Просвещение.