Номер 433, страница 119 - гдз по алгебре 9 класс учебник Макарычев, Миндюк

Алгебра, 9 класс Учебник, авторы: Макарычев Юрий Николаевич, Миндюк Нора Григорьевна, Нешков Константин Иванович, Суворова Светлана Борисовна, издательство Просвещение, Москва, 2014 - 2024

Авторы: Макарычев Ю. Н., Миндюк Н. Г., Нешков К. И., Суворова С. Б.

Тип: Учебник

Издательство: Просвещение

Год издания: 2014 - 2024

ISBN: 978-5-09-0779-15

Допущено Министерством просвещения Российской Федерации

Популярные ГДЗ в 9 классе

Глава 3. Уравнения и неравенства с двумя переменными. Параграф 7. Уравнения с двумя переменными и их системы. 19. Решение систем уравнений второй степени - номер 433, страница 119.

№433 (с. 119)
Условие. №433 (с. 119)
скриншот условия
Алгебра, 9 класс Учебник, авторы: Макарычев Юрий Николаевич, Миндюк Нора Григорьевна, Нешков Константин Иванович, Суворова Светлана Борисовна, издательство Просвещение, Москва, 2014 - 2024, страница 119, номер 433, Условие

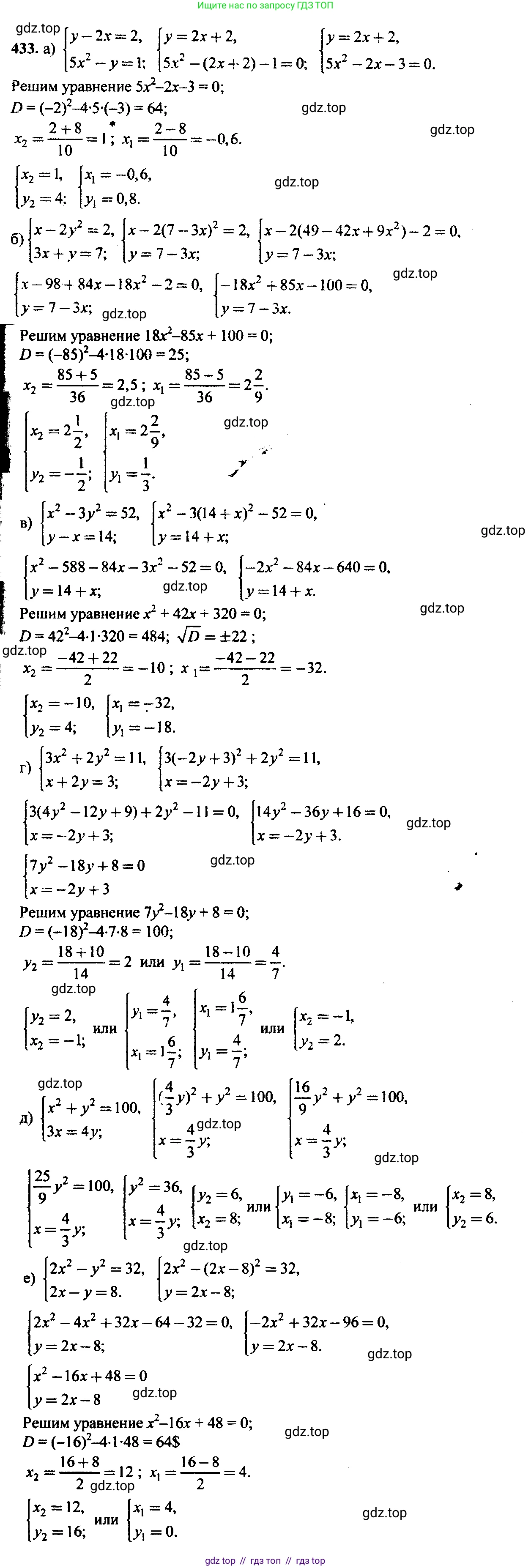
433. Решите систему уравнений:

а) $$\begin{cases} y - 2x = 2, \\ 5x^2 - y = 1; \end{cases}$$

б) $$\begin{cases} x - 2y^2 = 2, \\ 3x + y = 7; \end{cases}$$

в) $$\begin{cases} x^2 - 3y^2 = 52, \\ y - x = 14; \end{cases}$$

г) $$\begin{cases} 3x^2 + 2y^2 = 11, \\ x + 2y = 3; \end{cases}$$

д) $$\begin{cases} x^2 + y^2 = 100, \\ 3x = 4y; \end{cases}$$

е) $$\begin{cases} 2x^2 - y^2 = 32, \\ 2x - y = 8. \end{cases}$$

Решение 1. №433 (с. 119)
Алгебра, 9 класс Учебник, авторы: Макарычев Юрий Николаевич, Миндюк Нора Григорьевна, Нешков Константин Иванович, Суворова Светлана Борисовна, издательство Просвещение, Москва, 2014 - 2024, страница 119, номер 433, Решение 1
Алгебра, 9 класс Учебник, авторы: Макарычев Юрий Николаевич, Миндюк Нора Григорьевна, Нешков Константин Иванович, Суворова Светлана Борисовна, издательство Просвещение, Москва, 2014 - 2024, страница 119, номер 433, Решение 1 (продолжение 2)
Решение 2. №433 (с. 119)
Алгебра, 9 класс Учебник, авторы: Макарычев Юрий Николаевич, Миндюк Нора Григорьевна, Нешков Константин Иванович, Суворова Светлана Борисовна, издательство Просвещение, Москва, 2014 - 2024, страница 119, номер 433, Решение 2
Алгебра, 9 класс Учебник, авторы: Макарычев Юрий Николаевич, Миндюк Нора Григорьевна, Нешков Константин Иванович, Суворова Светлана Борисовна, издательство Просвещение, Москва, 2014 - 2024, страница 119, номер 433, Решение 2 (продолжение 2)
Решение 3. №433 (с. 119)
Алгебра, 9 класс Учебник, авторы: Макарычев Юрий Николаевич, Миндюк Нора Григорьевна, Нешков Константин Иванович, Суворова Светлана Борисовна, издательство Просвещение, Москва, 2014 - 2024, страница 119, номер 433, Решение 3
Решение 4. №433 (с. 119)
Алгебра, 9 класс Учебник, авторы: Макарычев Юрий Николаевич, Миндюк Нора Григорьевна, Нешков Константин Иванович, Суворова Светлана Борисовна, издательство Просвещение, Москва, 2014 - 2024, страница 119, номер 433, Решение 4
Решение 5. №433 (с. 119)
Алгебра, 9 класс Учебник, авторы: Макарычев Юрий Николаевич, Миндюк Нора Григорьевна, Нешков Константин Иванович, Суворова Светлана Борисовна, издательство Просвещение, Москва, 2014 - 2024, страница 119, номер 433, Решение 5
Решение 6. №433 (с. 119)
Алгебра, 9 класс Учебник, авторы: Макарычев Юрий Николаевич, Миндюк Нора Григорьевна, Нешков Константин Иванович, Суворова Светлана Борисовна, издательство Просвещение, Москва, 2014 - 2024, страница 119, номер 433, Решение 6
Решение 7. №433 (с. 119)
Алгебра, 9 класс Учебник, авторы: Макарычев Юрий Николаевич, Миндюк Нора Григорьевна, Нешков Константин Иванович, Суворова Светлана Борисовна, издательство Просвещение, Москва, 2014 - 2024, страница 119, номер 433, Решение 7 Алгебра, 9 класс Учебник, авторы: Макарычев Юрий Николаевич, Миндюк Нора Григорьевна, Нешков Константин Иванович, Суворова Светлана Борисовна, издательство Просвещение, Москва, 2014 - 2024, страница 119, номер 433, Решение 7 (продолжение 2)
Решение 8. №433 (с. 119)

а)

Дана система уравнений: $ \begin{cases} y - 2x = 2, \\ 5x^2 - y = 1; \end{cases} $

Из первого уравнения выразим $y$ через $x$: $y = 2x + 2$.

Подставим это выражение для $y$ во второе уравнение системы: $5x^2 - (2x + 2) = 1$.

Раскроем скобки и приведем подобные слагаемые, чтобы получить стандартное квадратное уравнение: $5x^2 - 2x - 2 - 1 = 0$ $5x^2 - 2x - 3 = 0$.

Решим полученное квадратное уравнение с помощью дискриминанта $D = b^2 - 4ac$: $D = (-2)^2 - 4 \cdot 5 \cdot (-3) = 4 + 60 = 64$.

Так как $D > 0$, уравнение имеет два корня: $x_1 = \frac{-b + \sqrt{D}}{2a} = \frac{2 + \sqrt{64}}{2 \cdot 5} = \frac{2 + 8}{10} = \frac{10}{10} = 1$. $x_2 = \frac{-b - \sqrt{D}}{2a} = \frac{2 - \sqrt{64}}{2 \cdot 5} = \frac{2 - 8}{10} = \frac{-6}{10} = -0.6$.

Теперь найдем соответствующие значения $y$, подставив найденные значения $x$ в выражение $y = 2x + 2$:

При $x_1 = 1$: $y_1 = 2(1) + 2 = 4$. Первое решение: $(1; 4)$.

При $x_2 = -0.6$: $y_2 = 2(-0.6) + 2 = -1.2 + 2 = 0.8$. Второе решение: $(-0.6; 0.8)$.

Ответ: $(1; 4)$, $(-0.6; 0.8)$.

б)

Дана система уравнений: $ \begin{cases} x - 2y^2 = 2, \\ 3x + y = 7; \end{cases} $

Из второго уравнения выразим $y$ через $x$: $y = 7 - 3x$.

Подставим это выражение в первое уравнение: $x - 2(7 - 3x)^2 = 2$.

Раскроем скобки и упростим: $x - 2(49 - 42x + 9x^2) = 2$ $x - 98 + 84x - 18x^2 = 2$ $-18x^2 + 85x - 98 - 2 = 0$ $-18x^2 + 85x - 100 = 0$.

Умножим уравнение на $-1$, чтобы коэффициент при $x^2$ был положительным: $18x^2 - 85x + 100 = 0$.

Решим квадратное уравнение. Вычислим дискриминант: $D = (-85)^2 - 4 \cdot 18 \cdot 100 = 7225 - 7200 = 25$.

Найдем корни: $x_1 = \frac{85 + \sqrt{25}}{2 \cdot 18} = \frac{85 + 5}{36} = \frac{90}{36} = \frac{5}{2} = 2.5$. $x_2 = \frac{85 - \sqrt{25}}{2 \cdot 18} = \frac{85 - 5}{36} = \frac{80}{36} = \frac{20}{9}$.

Найдем соответствующие значения $y$ из $y = 7 - 3x$:

При $x_1 = 2.5$: $y_1 = 7 - 3(2.5) = 7 - 7.5 = -0.5$. Первое решение: $(2.5; -0.5)$.

При $x_2 = \frac{20}{9}$: $y_2 = 7 - 3(\frac{20}{9}) = 7 - \frac{20}{3} = \frac{21}{3} - \frac{20}{3} = \frac{1}{3}$. Второе решение: $(\frac{20}{9}; \frac{1}{3})$.

Ответ: $(2.5; -0.5)$, $(\frac{20}{9}; \frac{1}{3})$.

в)

Дана система уравнений: $ \begin{cases} x^2 - 3y^2 = 52, \\ y - x = 14; \end{cases} $

Из второго уравнения выразим $y$ через $x$: $y = x + 14$.

Подставим это выражение в первое уравнение: $x^2 - 3(x + 14)^2 = 52$.

Раскроем скобки и упростим: $x^2 - 3(x^2 + 28x + 196) = 52$ $x^2 - 3x^2 - 84x - 588 = 52$ $-2x^2 - 84x - 588 - 52 = 0$ $-2x^2 - 84x - 640 = 0$.

Разделим уравнение на $-2$: $x^2 + 42x + 320 = 0$.

Решим квадратное уравнение. Вычислим дискриминант: $D = 42^2 - 4 \cdot 1 \cdot 320 = 1764 - 1280 = 484$.

Найдем корни: $x_1 = \frac{-42 + \sqrt{484}}{2} = \frac{-42 + 22}{2} = \frac{-20}{2} = -10$. $x_2 = \frac{-42 - \sqrt{484}}{2} = \frac{-42 - 22}{2} = \frac{-64}{2} = -32$.

Найдем соответствующие значения $y$ из $y = x + 14$:

При $x_1 = -10$: $y_1 = -10 + 14 = 4$. Первое решение: $(-10; 4)$.

При $x_2 = -32$: $y_2 = -32 + 14 = -18$. Второе решение: $(-32; -18)$.

Ответ: $(-10; 4)$, $(-32; -18)$.

г)

Дана система уравнений: $ \begin{cases} 3x^2 + 2y^2 = 11, \\ x + 2y = 3; \end{cases} $

Из второго уравнения выразим $x$ через $y$: $x = 3 - 2y$.

Подставим это выражение в первое уравнение: $3(3 - 2y)^2 + 2y^2 = 11$.

Раскроем скобки и упростим: $3(9 - 12y + 4y^2) + 2y^2 = 11$ $27 - 36y + 12y^2 + 2y^2 = 11$ $14y^2 - 36y + 27 - 11 = 0$ $14y^2 - 36y + 16 = 0$.

Разделим уравнение на $2$: $7y^2 - 18y + 8 = 0$.

Решим квадратное уравнение относительно $y$. Вычислим дискриминант: $D = (-18)^2 - 4 \cdot 7 \cdot 8 = 324 - 224 = 100$.

Найдем корни: $y_1 = \frac{18 + \sqrt{100}}{2 \cdot 7} = \frac{18 + 10}{14} = \frac{28}{14} = 2$. $y_2 = \frac{18 - \sqrt{100}}{2 \cdot 7} = \frac{18 - 10}{14} = \frac{8}{14} = \frac{4}{7}$.

Найдем соответствующие значения $x$ из $x = 3 - 2y$:

При $y_1 = 2$: $x_1 = 3 - 2(2) = 3 - 4 = -1$. Первое решение: $(-1; 2)$.

При $y_2 = \frac{4}{7}$: $x_2 = 3 - 2(\frac{4}{7}) = 3 - \frac{8}{7} = \frac{21 - 8}{7} = \frac{13}{7}$. Второе решение: $(\frac{13}{7}; \frac{4}{7})$.

Ответ: $(-1; 2)$, $(\frac{13}{7}; \frac{4}{7})$.

д)

Дана система уравнений: $ \begin{cases} x^2 + y^2 = 100, \\ 3x = 4y; \end{cases} $

Из второго уравнения выразим $x$ через $y$: $x = \frac{4}{3}y$.

Подставим это выражение в первое уравнение: $(\frac{4}{3}y)^2 + y^2 = 100$.

Упростим уравнение: $\frac{16}{9}y^2 + y^2 = 100$ $\frac{16y^2 + 9y^2}{9} = 100$ $\frac{25y^2}{9} = 100$.

Решим уравнение относительно $y$: $25y^2 = 900$ $y^2 = \frac{900}{25} = 36$ $y = \pm\sqrt{36}$. $y_1 = 6$, $y_2 = -6$.

Найдем соответствующие значения $x$ из $x = \frac{4}{3}y$:

При $y_1 = 6$: $x_1 = \frac{4}{3}(6) = 4 \cdot 2 = 8$. Первое решение: $(8; 6)$.

При $y_2 = -6$: $x_2 = \frac{4}{3}(-6) = 4 \cdot (-2) = -8$. Второе решение: $(-8; -6)$.

Ответ: $(8; 6)$, $(-8; -6)$.

е)

Дана система уравнений: $ \begin{cases} 2x^2 - y^2 = 32, \\ 2x - y = 8; \end{cases} $

Из второго уравнения выразим $y$ через $x$: $y = 2x - 8$.

Подставим это выражение в первое уравнение: $2x^2 - (2x - 8)^2 = 32$.

Раскроем скобки и упростим: $2x^2 - (4x^2 - 32x + 64) = 32$ $2x^2 - 4x^2 + 32x - 64 = 32$ $-2x^2 + 32x - 64 - 32 = 0$ $-2x^2 + 32x - 96 = 0$.

Разделим уравнение на $-2$: $x^2 - 16x + 48 = 0$.

Решим квадратное уравнение. Вычислим дискриминант: $D = (-16)^2 - 4 \cdot 1 \cdot 48 = 256 - 192 = 64$.

Найдем корни: $x_1 = \frac{16 + \sqrt{64}}{2} = \frac{16 + 8}{2} = \frac{24}{2} = 12$. $x_2 = \frac{16 - \sqrt{64}}{2} = \frac{16 - 8}{2} = \frac{8}{2} = 4$.

Найдем соответствующие значения $y$ из $y = 2x - 8$:

При $x_1 = 12$: $y_1 = 2(12) - 8 = 24 - 8 = 16$. Первое решение: $(12; 16)$.

При $x_2 = 4$: $y_2 = 2(4) - 8 = 8 - 8 = 0$. Второе решение: $(4; 0)$.

Ответ: $(12; 16)$, $(4; 0)$.

Помогло решение? Оставьте отзыв в комментариях ниже.

Присоединяйтесь к Телеграм-группе @top_gdz

Присоединиться

Мы подготовили для вас ответ c подробным объяснением домашего задания по алгебре за 9 класс, для упражнения номер 433 расположенного на странице 119 к учебнику 2014 - 2024 года издания для учащихся школ и гимназий.

Теперь на нашем сайте ГДЗ.ТОП вы всегда легко и бесплатно найдёте условие с правильным ответом на вопрос «Как решить ДЗ» и «Как сделать» задание по алгебре к упражнению №433 (с. 119), авторов: Макарычев (Юрий Николаевич), Миндюк (Нора Григорьевна), Нешков (Константин Иванович), Суворова (Светлана Борисовна), ФГОС (старый) учебного пособия издательства Просвещение.