Номер 432, страница 119 - гдз по алгебре 9 класс учебник Макарычев, Миндюк

Алгебра, 9 класс Учебник, авторы: Макарычев Юрий Николаевич, Миндюк Нора Григорьевна, Нешков Константин Иванович, Суворова Светлана Борисовна, издательство Просвещение, Москва, 2014 - 2024

Авторы: Макарычев Ю. Н., Миндюк Н. Г., Нешков К. И., Суворова С. Б.

Тип: Учебник

Издательство: Просвещение

Год издания: 2014 - 2024

ISBN: 978-5-09-0779-15

Допущено Министерством просвещения Российской Федерации

Популярные ГДЗ в 9 классе

Глава 3. Уравнения и неравенства с двумя переменными. Параграф 7. Уравнения с двумя переменными и их системы. 19. Решение систем уравнений второй степени - номер 432, страница 119.

№432 (с. 119)
Условие. №432 (с. 119)
скриншот условия
Алгебра, 9 класс Учебник, авторы: Макарычев Юрий Николаевич, Миндюк Нора Григорьевна, Нешков Константин Иванович, Суворова Светлана Борисовна, издательство Просвещение, Москва, 2014 - 2024, страница 119, номер 432, Условие

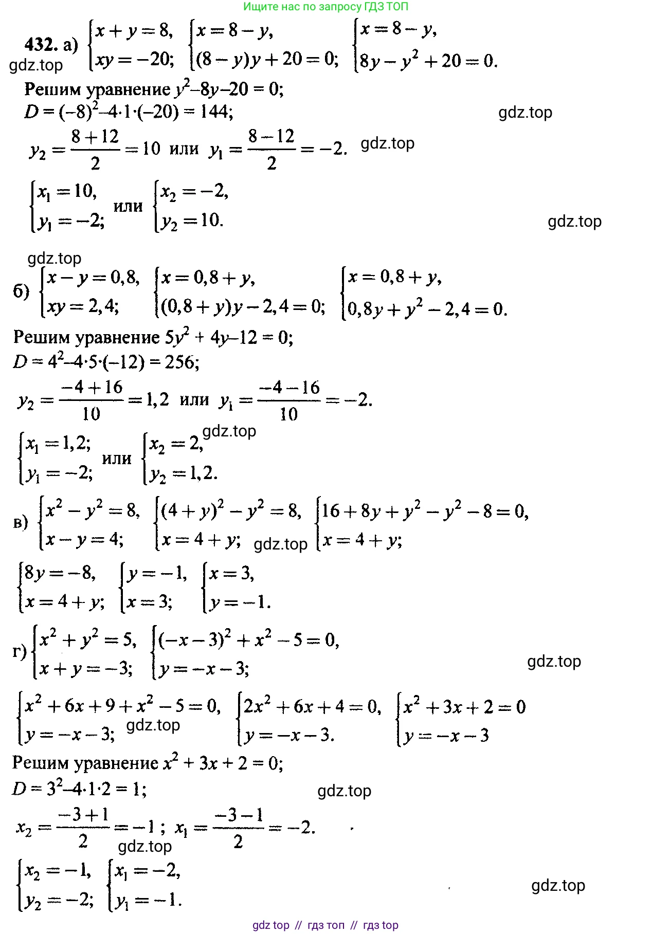
432. Решите систему уравнений:

а) $\begin{cases} x + y = 8, \\ xy = -20; \end{cases}$

б) $\begin{cases} x - y = 0,8, \\ xy = 2,4; \end{cases}$

в) $\begin{cases} x^2 - y^2 = 8, \\ x - y = 4; \end{cases}$

г) $\begin{cases} x^2 + y^2 = 5, \\ x + y = -3. \end{cases}$

Решение 1. №432 (с. 119)
Алгебра, 9 класс Учебник, авторы: Макарычев Юрий Николаевич, Миндюк Нора Григорьевна, Нешков Константин Иванович, Суворова Светлана Борисовна, издательство Просвещение, Москва, 2014 - 2024, страница 119, номер 432, Решение 1
Алгебра, 9 класс Учебник, авторы: Макарычев Юрий Николаевич, Миндюк Нора Григорьевна, Нешков Константин Иванович, Суворова Светлана Борисовна, издательство Просвещение, Москва, 2014 - 2024, страница 119, номер 432, Решение 1 (продолжение 2)
Решение 2. №432 (с. 119)
Алгебра, 9 класс Учебник, авторы: Макарычев Юрий Николаевич, Миндюк Нора Григорьевна, Нешков Константин Иванович, Суворова Светлана Борисовна, издательство Просвещение, Москва, 2014 - 2024, страница 119, номер 432, Решение 2
Алгебра, 9 класс Учебник, авторы: Макарычев Юрий Николаевич, Миндюк Нора Григорьевна, Нешков Константин Иванович, Суворова Светлана Борисовна, издательство Просвещение, Москва, 2014 - 2024, страница 119, номер 432, Решение 2 (продолжение 2)
Решение 3. №432 (с. 119)
Алгебра, 9 класс Учебник, авторы: Макарычев Юрий Николаевич, Миндюк Нора Григорьевна, Нешков Константин Иванович, Суворова Светлана Борисовна, издательство Просвещение, Москва, 2014 - 2024, страница 119, номер 432, Решение 3
Решение 4. №432 (с. 119)
Алгебра, 9 класс Учебник, авторы: Макарычев Юрий Николаевич, Миндюк Нора Григорьевна, Нешков Константин Иванович, Суворова Светлана Борисовна, издательство Просвещение, Москва, 2014 - 2024, страница 119, номер 432, Решение 4
Решение 5. №432 (с. 119)
Алгебра, 9 класс Учебник, авторы: Макарычев Юрий Николаевич, Миндюк Нора Григорьевна, Нешков Константин Иванович, Суворова Светлана Борисовна, издательство Просвещение, Москва, 2014 - 2024, страница 119, номер 432, Решение 5
Решение 6. №432 (с. 119)
Алгебра, 9 класс Учебник, авторы: Макарычев Юрий Николаевич, Миндюк Нора Григорьевна, Нешков Константин Иванович, Суворова Светлана Борисовна, издательство Просвещение, Москва, 2014 - 2024, страница 119, номер 432, Решение 6
Решение 7. №432 (с. 119)
Алгебра, 9 класс Учебник, авторы: Макарычев Юрий Николаевич, Миндюк Нора Григорьевна, Нешков Константин Иванович, Суворова Светлана Борисовна, издательство Просвещение, Москва, 2014 - 2024, страница 119, номер 432, Решение 7
Решение 8. №432 (с. 119)
а)

Дана система уравнений:

$$ \begin{cases} x + y = 8 \\ xy = -20 \end{cases} $$

Согласно теореме, обратной теореме Виета, переменные $x$ и $y$ являются корнями вспомогательного квадратного уравнения $t^2 - (x+y)t + xy = 0$.

Подставим в это уравнение известные значения суммы $x+y=8$ и произведения $xy=-20$:

$$t^2 - 8t - 20 = 0$$

Решим это уравнение. Дискриминант $D = b^2 - 4ac = (-8)^2 - 4 \cdot 1 \cdot (-20) = 64 + 80 = 144$.

Корни уравнения:

$$t_1 = \frac{8 + \sqrt{144}}{2} = \frac{8 + 12}{2} = 10$$

$$t_2 = \frac{8 - \sqrt{144}}{2} = \frac{8 - 12}{2} = -2$$

Так как система симметрична относительно $x$ и $y$, то решениями являются пары $(t_1, t_2)$ и $(t_2, t_1)$.

Ответ: $(10, -2), (-2, 10)$.

б)

Дана система уравнений:

$$ \begin{cases} x - y = 0,8 \\ xy = 2,4 \end{cases} $$

Используем метод подстановки. Из первого уравнения выразим $x$:

$$x = y + 0,8$$

Подставим это выражение во второе уравнение системы:

$$(y + 0,8)y = 2,4$$

$$y^2 + 0,8y - 2,4 = 0$$

Для удобства вычислений умножим уравнение на 10:

$$10y^2 + 8y - 24 = 0$$

Разделим все члены уравнения на 2:

$$5y^2 + 4y - 12 = 0$$

Решим полученное квадратное уравнение. Дискриминант $D = b^2 - 4ac = 4^2 - 4 \cdot 5 \cdot (-12) = 16 + 240 = 256$.

Корни уравнения для $y$:

$$y_1 = \frac{-4 + \sqrt{256}}{2 \cdot 5} = \frac{-4 + 16}{10} = \frac{12}{10} = 1,2$$

$$y_2 = \frac{-4 - \sqrt{256}}{2 \cdot 5} = \frac{-4 - 16}{10} = \frac{-20}{10} = -2$$

Теперь найдем соответствующие значения $x$ для каждого $y$ из выражения $x = y + 0,8$:

При $y_1 = 1,2$, $x_1 = 1,2 + 0,8 = 2$.

При $y_2 = -2$, $x_2 = -2 + 0,8 = -1,2$.

Ответ: $(2; 1,2), (-1,2; -2)$.

в)

Дана система уравнений:

$$ \begin{cases} x^2 - y^2 = 8 \\ x - y = 4 \end{cases} $$

В первом уравнении используем формулу разности квадратов $a^2 - b^2 = (a-b)(a+b)$:

$$(x - y)(x + y) = 8$$

Из второго уравнения системы мы знаем, что $x - y = 4$. Подставим это значение в преобразованное первое уравнение:

$$4(x + y) = 8$$

Отсюда находим $x+y$:

$$x + y = 2$$

Теперь мы имеем простую систему линейных уравнений:

$$ \begin{cases} x + y = 2 \\ x - y = 4 \end{cases} $$

Сложим эти два уравнения, чтобы найти $x$:

$$(x+y) + (x-y) = 2 + 4$$

$$2x = 6$$

$$x = 3$$

Подставим найденное значение $x=3$ в уравнение $x+y=2$:

$$3 + y = 2$$

$$y = 2 - 3 = -1$$

Ответ: $(3, -1)$.

г)

Дана система уравнений:

$$ \begin{cases} x^2 + y^2 = 5 \\ x + y = -3 \end{cases} $$

Возведем второе уравнение в квадрат:

$$(x+y)^2 = (-3)^2$$

$$x^2 + 2xy + y^2 = 9$$

Мы знаем из первого уравнения, что $x^2 + y^2 = 5$. Подставим это значение в полученное уравнение:

$$5 + 2xy = 9$$

$$2xy = 9 - 5$$

$$2xy = 4$$

$$xy = 2$$

Теперь исходную систему можно заменить эквивалентной системой:

$$ \begin{cases} x + y = -3 \\ xy = 2 \end{cases} $$

По теореме, обратной теореме Виета, $x$ и $y$ являются корнями квадратного уравнения $t^2 - (-3)t + 2 = 0$, то есть:

$$t^2 + 3t + 2 = 0$$

Это приведенное квадратное уравнение, корни которого легко найти подбором: произведение корней равно 2, а сумма равна -3. Этим условиям удовлетворяют числа -1 и -2.

Итак, $t_1 = -1$, $t_2 = -2$.

Решениями системы являются пары $(t_1, t_2)$ и $(t_2, t_1)$.

Ответ: $(-1, -2), (-2, -1)$.

Помогло решение? Оставьте отзыв в комментариях ниже.

Присоединяйтесь к Телеграм-группе @top_gdz

Присоединиться

Мы подготовили для вас ответ c подробным объяснением домашего задания по алгебре за 9 класс, для упражнения номер 432 расположенного на странице 119 к учебнику 2014 - 2024 года издания для учащихся школ и гимназий.

Теперь на нашем сайте ГДЗ.ТОП вы всегда легко и бесплатно найдёте условие с правильным ответом на вопрос «Как решить ДЗ» и «Как сделать» задание по алгебре к упражнению №432 (с. 119), авторов: Макарычев (Юрий Николаевич), Миндюк (Нора Григорьевна), Нешков (Константин Иванович), Суворова (Светлана Борисовна), ФГОС (старый) учебного пособия издательства Просвещение.