Номер 1.206, страница 72 - гдз по алгебре 10 класс учебник Арефьева, Пирютко

Алгебра, 10 класс Учебник, авторы: Арефьева Ирина Глебовна, Пирютко Ольга Николаевна, издательство Народная асвета, Минск, 2019, голубого цвета

Авторы: Арефьева И. Г., Пирютко О. Н.

Тип: Учебник

Издательство: Народная асвета

Год издания: 2019 - 2026

Цвет обложки: голубой с графиком

Допущено Министерством образования Республики Беларусь

Популярные ГДЗ в 10 классе

Глава 1. Тригонометрия. Параграф 5. Функции у=sin(x) и y=cos(x). Их свойства и графики - номер 1.206, страница 72.

№1.206 (с. 72)
Условие. №1.206 (с. 72)
скриншот условия
Алгебра, 10 класс Учебник, авторы: Арефьева Ирина Глебовна, Пирютко Ольга Николаевна, издательство Народная асвета, Минск, 2019, голубого цвета, страница 72, номер 1.206, Условие

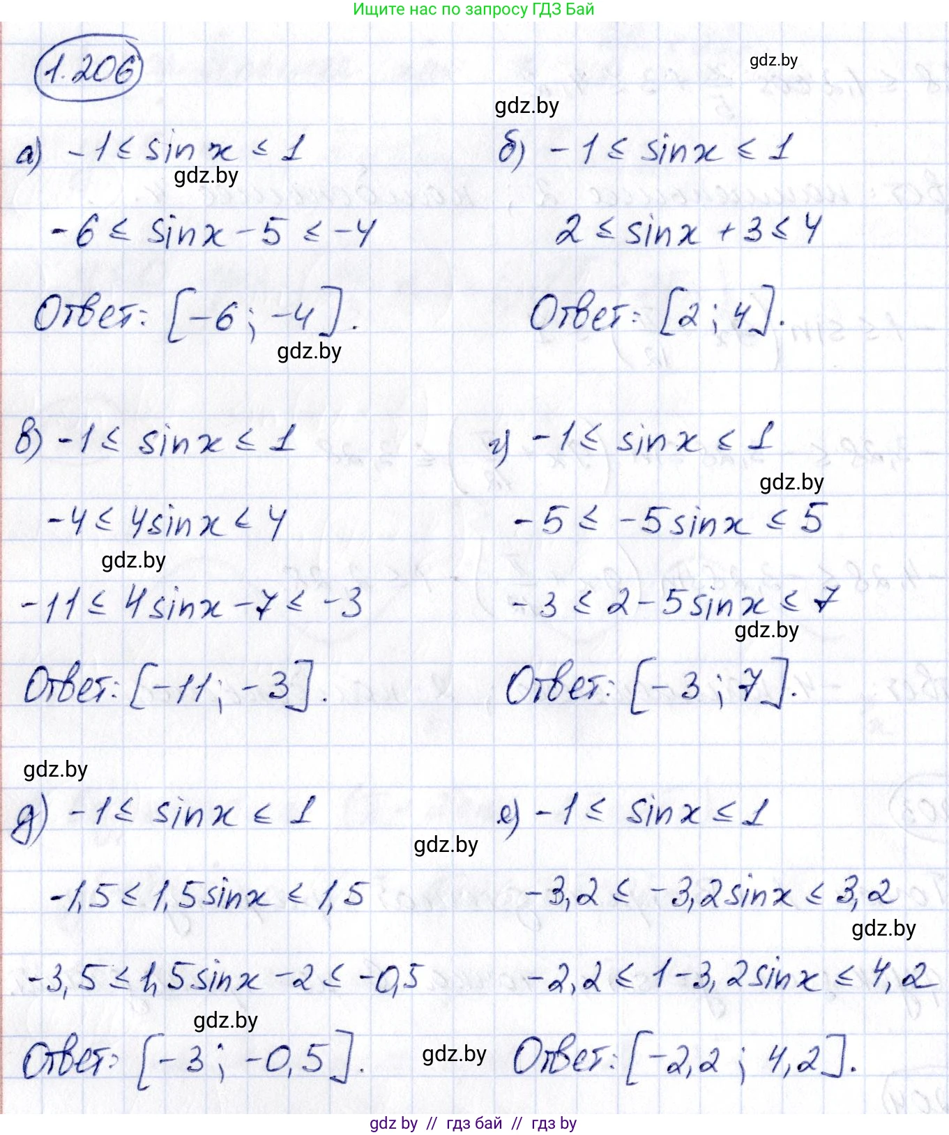
1.206. Найдите множество значений функции:

а)

$y = \sin x - 5;$

б)

$y = \sin x + 3;$

в)

$y = 4\sin x - 7;$

г)

$y = 2 - 5\sin x;$

д)

$y = 1,5\sin x - 2;$

е)

$y = 1 - 3,2\sin x.$

Решение. №1.206 (с. 72)
Алгебра, 10 класс Учебник, авторы: Арефьева Ирина Глебовна, Пирютко Ольга Николаевна, издательство Народная асвета, Минск, 2019, голубого цвета, страница 72, номер 1.206, Решение
Решение 2. №1.206 (с. 72)

Для нахождения множества значений (области значений) каждой из функций, мы будем использовать основное свойство функции синуса: ее значения всегда находятся в пределах от -1 до 1, включительно. Математически это записывается в виде двойного неравенства: $-1 \le \sin x \le 1$.

а) $y = \sin x - 5$

Исходя из неравенства $-1 \le \sin x \le 1$, вычтем 5 из каждой его части:

$-1 - 5 \le \sin x - 5 \le 1 - 5$

$-6 \le y \le -4$

Таким образом, множество значений функции — это отрезок $[-6; -4]$.

Ответ: $E(y) = [-6; -4]$.

б) $y = \sin x + 3$

К каждой части неравенства $-1 \le \sin x \le 1$ прибавим 3:

$-1 + 3 \le \sin x + 3 \le 1 + 3$

$2 \le y \le 4$

Таким образом, множество значений функции — это отрезок $[2; 4]$.

Ответ: $E(y) = [2; 4]$.

в) $y = 4\sin x - 7$

Сначала умножим неравенство $-1 \le \sin x \le 1$ на 4:

$4 \cdot (-1) \le 4\sin x \le 4 \cdot 1$

$-4 \le 4\sin x \le 4$

Теперь вычтем 7 из каждой части:

$-4 - 7 \le 4\sin x - 7 \le 4 - 7$

$-11 \le y \le -3$

Таким образом, множество значений функции — это отрезок $[-11; -3]$.

Ответ: $E(y) = [-11; -3]$.

г) $y = 2 - 5\sin x$

Умножим неравенство $-1 \le \sin x \le 1$ на -5. При умножении на отрицательное число знаки неравенства меняются на противоположные:

$(-1) \cdot (-5) \ge -5\sin x \ge 1 \cdot (-5)$

$5 \ge -5\sin x \ge -5$

Для удобства перепишем неравенство в стандартном виде (от меньшего к большему):

$-5 \le -5\sin x \le 5$

Теперь прибавим 2 к каждой части:

$2 - 5 \le 2 - 5\sin x \le 2 + 5$

$-3 \le y \le 7$

Таким образом, множество значений функции — это отрезок $[-3; 7]$.

Ответ: $E(y) = [-3; 7]$.

д) $y = 1,5\sin x - 2$

Умножим неравенство $-1 \le \sin x \le 1$ на 1,5:

$-1,5 \le 1,5\sin x \le 1,5$

Вычтем 2 из каждой части:

$-1,5 - 2 \le 1,5\sin x - 2 \le 1,5 - 2$

$-3,5 \le y \le -0,5$

Преобразуем десятичные дроби в смешанные числа, выделив целую часть:

$-3,5 = -3\frac{5}{10} = -3\frac{1}{2}$

$-0,5 = -\frac{5}{10} = -\frac{1}{2}$

Таким образом, множество значений функции — это отрезок $[-3\frac{1}{2}; -\frac{1}{2}]$.

Ответ: $E(y) = [-3\frac{1}{2}; -\frac{1}{2}]$.

е) $y = 1 - 3,2\sin x$

Умножим неравенство $-1 \le \sin x \le 1$ на -3,2, не забывая поменять знаки неравенства:

$(-1) \cdot (-3,2) \ge -3,2\sin x \ge 1 \cdot (-3,2)$

$3,2 \ge -3,2\sin x \ge -3,2$

Перепишем в стандартном виде:

$-3,2 \le -3,2\sin x \le 3,2$

Прибавим 1 к каждой части:

$1 - 3,2 \le 1 - 3,2\sin x \le 1 + 3,2$

$-2,2 \le y \le 4,2$

Преобразуем десятичные дроби в смешанные числа:

$-2,2 = -2\frac{2}{10} = -2\frac{1}{5}$

$4,2 = 4\frac{2}{10} = 4\frac{1}{5}$

Таким образом, множество значений функции — это отрезок $[-2\frac{1}{5}; 4\frac{1}{5}]$.

Ответ: $E(y) = [-2\frac{1}{5}; 4\frac{1}{5}]$.

Помогло решение? Оставьте отзыв в комментариях ниже.

Присоединяйтесь к Телеграм-группе @gdz_by_belarus

Присоединиться

Мы подготовили для вас ответ c подробным объяснением домашего задания по алгебре за 10 класс, для упражнения номер 1.206 расположенного на странице 72 к учебнику 2019 года издания для учащихся школ и гимназий.

Теперь на нашем сайте ГДЗ.ТОП вы всегда легко и бесплатно найдёте условие с правильным ответом на вопрос «Как решить ДЗ» и «Как сделать» задание по алгебре к упражнению №1.206 (с. 72), авторов: Арефьева (Ирина Глебовна), Пирютко (Ольга Николаевна), учебного пособия издательства Народная асвета.