Номер 1.213, страница 72 - гдз по алгебре 10 класс учебник Арефьева, Пирютко

Алгебра, 10 класс Учебник, авторы: Арефьева Ирина Глебовна, Пирютко Ольга Николаевна, издательство Народная асвета, Минск, 2019, голубого цвета

Авторы: Арефьева И. Г., Пирютко О. Н.

Тип: Учебник

Издательство: Народная асвета

Год издания: 2019 - 2026

Цвет обложки: голубой с графиком

Допущено Министерством образования Республики Беларусь

Популярные ГДЗ в 10 классе

Глава 1. Тригонометрия. Параграф 5. Функции у=sin(x) и y=cos(x). Их свойства и графики - номер 1.213, страница 72.

№1.213 (с. 72)
Условие. №1.213 (с. 72)
скриншот условия
Алгебра, 10 класс Учебник, авторы: Арефьева Ирина Глебовна, Пирютко Ольга Николаевна, издательство Народная асвета, Минск, 2019, голубого цвета, страница 72, номер 1.213, Условие

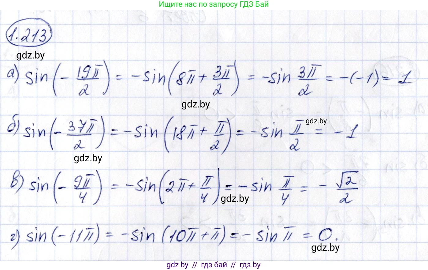
1.213. Используя свойства функции $f(x) = \sin x$, найдите:

а) $f\left(-\frac{19\pi}{2}\right)$;

б) $f\left(-\frac{37\pi}{2}\right)$;

в) $f\left(-\frac{9\pi}{4}\right)$;

г) $f(-11\pi)$.

Решение. №1.213 (с. 72)
Алгебра, 10 класс Учебник, авторы: Арефьева Ирина Глебовна, Пирютко Ольга Николаевна, издательство Народная асвета, Минск, 2019, голубого цвета, страница 72, номер 1.213, Решение
Решение 2. №1.213 (с. 72)

В данной задаче мы будем использовать следующие свойства функции $f(x) = \sin x$:

  • Нечетность: $\sin(-x) = -\sin(x)$. Это означает, что синус от отрицательного аргумента равен минус синусу от положительного аргумента.
  • Периодичность: $\sin(x + 2\pi k) = \sin(x)$, где $k$ — любое целое число. Наименьший положительный период функции синус равен $2\pi$. Это свойство позволяет нам упрощать большие аргументы, отбрасывая целое число полных оборотов ($2\pi$).

а) Для $f(-\frac{19\pi}{2})$ имеем:
$f(-\frac{19\pi}{2}) = \sin(-\frac{19\pi}{2})$
Используя свойство нечетности функции синус:
$\sin(-\frac{19\pi}{2}) = -\sin(\frac{19\pi}{2})$
Представим неправильную дробь $\frac{19}{2}$ в виде смешанного числа, выделив целую часть: 9.
$\frac{19\pi}{2} = (9 + \frac{1}{2})\pi = 9\pi + \frac{\pi}{2}$
Таким образом, получаем:
$-\sin(\frac{19\pi}{2}) = -\sin(9\pi + \frac{\pi}{2})$
Используя периодичность функции синус, отбросим целое число полных периодов $2\pi$. Представим $9\pi$ как $8\pi + \pi$:
$-\sin(9\pi + \frac{\pi}{2}) = -\sin(8\pi + \pi + \frac{\pi}{2}) = -\sin(\pi + \frac{\pi}{2})$
Применим формулу приведения $\sin(\pi + \alpha) = -\sin(\alpha)$:
$-\sin(\pi + \frac{\pi}{2}) = -(-\sin(\frac{\pi}{2})) = \sin(\frac{\pi}{2}) = 1$
Ответ: 1

б) Для $f(-\frac{37\pi}{2})$ имеем:
$f(-\frac{37\pi}{2}) = \sin(-\frac{37\pi}{2})$
По свойству нечетности:
$\sin(-\frac{37\pi}{2}) = -\sin(\frac{37\pi}{2})$
Выделим целую часть из неправильной дроби $\frac{37}{2}$, которая равна 18:
$\frac{37\pi}{2} = (18 + \frac{1}{2})\pi = 18\pi + \frac{\pi}{2}$
Тогда:
$-\sin(\frac{37\pi}{2}) = -\sin(18\pi + \frac{\pi}{2})$
Так как период функции синус равен $2\pi$, и $18\pi = 9 \cdot 2\pi$, мы можем отбросить $18\pi$ как целое число периодов:
$-\sin(18\pi + \frac{\pi}{2}) = -\sin(\frac{\pi}{2}) = -1$
Ответ: -1

в) Для $f(-\frac{9\pi}{4})$ имеем:
$f(-\frac{9\pi}{4}) = \sin(-\frac{9\pi}{4})$
Используя свойство нечетности:
$\sin(-\frac{9\pi}{4}) = -\sin(\frac{9\pi}{4})$
Выделим целую часть из неправильной дроби $\frac{9}{4}$, которая равна 2:
$\frac{9\pi}{4} = (2 + \frac{1}{4})\pi = 2\pi + \frac{\pi}{4}$
Тогда:
$-\sin(\frac{9\pi}{4}) = -\sin(2\pi + \frac{\pi}{4})$
Используя периодичность функции синус (период $2\pi$):
$-\sin(2\pi + \frac{\pi}{4}) = -\sin(\frac{\pi}{4}) = -\frac{\sqrt{2}}{2}$
Ответ: $-\frac{\sqrt{2}}{2}$

г) Для $f(-11\pi)$ имеем:
$f(-11\pi) = \sin(-11\pi)$
По свойству нечетности:
$\sin(-11\pi) = -\sin(11\pi)$
Используем периодичность. Представим $11\pi$ как $10\pi + \pi$:
$-\sin(11\pi) = -\sin(10\pi + \pi)$
Так как $10\pi = 5 \cdot 2\pi$ — это целое число периодов, мы можем его отбросить:
$-\sin(10\pi + \pi) = -\sin(\pi) = 0$
Ответ: 0

Помогло решение? Оставьте отзыв в комментариях ниже.

Присоединяйтесь к Телеграм-группе @gdz_by_belarus

Присоединиться

Мы подготовили для вас ответ c подробным объяснением домашего задания по алгебре за 10 класс, для упражнения номер 1.213 расположенного на странице 72 к учебнику 2019 года издания для учащихся школ и гимназий.

Теперь на нашем сайте ГДЗ.ТОП вы всегда легко и бесплатно найдёте условие с правильным ответом на вопрос «Как решить ДЗ» и «Как сделать» задание по алгебре к упражнению №1.213 (с. 72), авторов: Арефьева (Ирина Глебовна), Пирютко (Ольга Николаевна), учебного пособия издательства Народная асвета.