Номер 1.209, страница 72 - гдз по алгебре 10 класс учебник Арефьева, Пирютко
Авторы: Арефьева И. Г., Пирютко О. Н.
Тип: Учебник
Издательство: Народная асвета
Год издания: 2019 - 2026
Цвет обложки: голубой с графиком
Допущено Министерством образования Республики Беларусь
Популярные ГДЗ в 10 классе
Глава 1. Тригонометрия. Параграф 5. Функции у=sin(x) и y=cos(x). Их свойства и графики - номер 1.209, страница 72.
№1.209 (с. 72)
Условие. №1.209 (с. 72)
скриншот условия
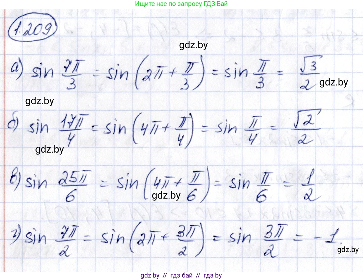
1.209. Используя свойство периодичности функции $f(x) = \sin x$, найдите:
а) $\sin \frac{7\pi}{3}$;
б) $\sin \frac{17\pi}{4}$;
в) $\sin \frac{25\pi}{6}$;
г) $\sin \frac{7\pi}{2}$.
Решение. №1.209 (с. 72)
Решение 2. №1.209 (с. 72)
Основное свойство, которое мы будем использовать — периодичность функции синус. Её основной период равен $2\pi$, что означает $\sin(x + 2\pi k) = \sin x$ для любого целого числа $k$. Это позволяет нам упрощать аргументы тригонометрических функций, отбрасывая целое число полных оборотов ($2\pi$).
а) Чтобы найти значение $\sin\frac{7\pi}{3}$, представим аргумент функции, выделив целую часть из неправильной дроби $\frac{7}{3}$:
$\frac{7\pi}{3} = (\mathbf{2} + \frac{1}{3})\pi = \mathbf{2}\pi + \frac{\pi}{3}$
Теперь мы можем применить свойство периодичности, отбросив $2\pi$ (здесь $k=1$):
$\sin\frac{7\pi}{3} = \sin(\mathbf{2}\pi + \frac{\pi}{3}) = \sin\frac{\pi}{3} = \frac{\sqrt{3}}{2}$
Ответ: $\frac{\sqrt{3}}{2}$.
б) Аналогично найдем значение $\sin\frac{17\pi}{4}$. Выделим целую часть из дроби $\frac{17}{4}$:
$\frac{17\pi}{4} = (\mathbf{4} + \frac{1}{4})\pi = \mathbf{4}\pi + \frac{\pi}{4}$
Поскольку $4\pi = 2 \cdot 2\pi$, мы можем применить свойство периодичности ($k=2$):
$\sin\frac{17\pi}{4} = \sin(\mathbf{4}\pi + \frac{\pi}{4}) = \sin\frac{\pi}{4} = \frac{\sqrt{2}}{2}$
Ответ: $\frac{\sqrt{2}}{2}$.
в) Найдем значение $\sin\frac{25\pi}{6}$. Выделим целую часть из дроби $\frac{25}{6}$:
$\frac{25\pi}{6} = (\mathbf{4} + \frac{1}{6})\pi = \mathbf{4}\pi + \frac{\pi}{6}$
Используя свойство периодичности ($4\pi = 2 \cdot 2\pi$, то есть $k=2$):
$\sin\frac{25\pi}{6} = \sin(\mathbf{4}\pi + \frac{\pi}{6}) = \sin\frac{\pi}{6} = \frac{1}{2}$
Ответ: $\frac{1}{2}$.
г) Найдем значение $\sin\frac{7\pi}{2}$. Выделим целую часть из дроби $\frac{7}{2}$:
$\frac{7\pi}{2} = (\mathbf{3} + \frac{1}{2})\pi = \mathbf{3}\pi + \frac{\pi}{2}$
Для применения свойства периодичности представим $3\pi$ как $2\pi + \pi$:
$\sin\frac{7\pi}{2} = \sin(\mathbf{3}\pi + \frac{\pi}{2}) = \sin(2\pi + \pi + \frac{\pi}{2})$
Отбросив период $2\pi$, получаем:
$\sin(\pi + \frac{\pi}{2})$
Далее, используя формулу приведения $\sin(\pi+\alpha)=-\sin\alpha$, находим:
$\sin(\pi + \frac{\pi}{2}) = -\sin\frac{\pi}{2} = -1$
Ответ: $-1$.
Другие задания:
Помогло решение? Оставьте отзыв в комментариях ниже.
Присоединяйтесь к Телеграм-группе @gdz_by_belarus
ПрисоединитьсяМы подготовили для вас ответ c подробным объяснением домашего задания по алгебре за 10 класс, для упражнения номер 1.209 расположенного на странице 72 к учебнику 2019 года издания для учащихся школ и гимназий.
Теперь на нашем сайте ГДЗ.ТОП вы всегда легко и бесплатно найдёте условие с правильным ответом на вопрос «Как решить ДЗ» и «Как сделать» задание по алгебре к упражнению №1.209 (с. 72), авторов: Арефьева (Ирина Глебовна), Пирютко (Ольга Николаевна), учебного пособия издательства Народная асвета.