Номер 1.342, страница 113 - гдз по алгебре 10 класс учебник Арефьева, Пирютко
Авторы: Арефьева И. Г., Пирютко О. Н.
Тип: Учебник
Издательство: Народная асвета
Год издания: 2019 - 2026
Цвет обложки: голубой с графиком
Допущено Министерством образования Республики Беларусь
Популярные ГДЗ в 10 классе
Глава 1. Тригонометрия. Параграф 8. Тригонометрические уравнения - номер 1.342, страница 113.
№1.342 (с. 113)
Условие. №1.342 (с. 113)
скриншот условия
1.342. Найдите корни уравнения:
а) $\sin\left(x + \frac{\pi}{3}\right) = -1;$
б) $\cos\left(x - \frac{\pi}{9}\right) = 1;$
в) $\sin\left(x + \frac{\pi}{10}\right) = \frac{2}{7};$
г) $\cos\left(\frac{x}{5} + \frac{\pi}{8}\right) = -\frac{\sqrt{2}}{2};$
д) $\sin\left(2x + \frac{\pi}{4}\right) = -\frac{1}{2};$
е) $\cos\left(4x - \frac{2\pi}{3}\right) + 0,5 = 0.$
Решение. №1.342 (с. 113)
Решение 2. №1.342 (с. 113)
а) $ \sin(x + \frac{\pi}{3}) = -1 $
Это частный случай решения простейшего тригонометрического уравнения. Равенство $ \sin(t) = -1 $ выполняется, когда аргумент синуса $t$ равен $ -\frac{\pi}{2} + 2\pi k $, где $k$ — любое целое число ($ k \in \mathbb{Z} $).
В нашем случае аргумент $ t = x + \frac{\pi}{3} $.
$ x + \frac{\pi}{3} = -\frac{\pi}{2} + 2\pi k $
Чтобы найти $x$, перенесем $ \frac{\pi}{3} $ в правую часть уравнения:
$ x = -\frac{\pi}{2} - \frac{\pi}{3} + 2\pi k $
Приведем дроби к общему знаменателю, который равен 6:
$ x = -\frac{3\pi}{6} - \frac{2\pi}{6} + 2\pi k $
$ x = -\frac{5\pi}{6} + 2\pi k, k \in \mathbb{Z} $
Ответ: $ x = -\frac{5\pi}{6} + 2\pi k, k \in \mathbb{Z} $.
б) $ \cos(x - \frac{\pi}{9}) = 1 $
Это также частный случай. Равенство $ \cos(t) = 1 $ выполняется, когда аргумент косинуса $t$ равен $ 2\pi k $, где $ k \in \mathbb{Z} $.
Здесь аргумент $ t = x - \frac{\pi}{9} $.
$ x - \frac{\pi}{9} = 2\pi k $
Выразим $x$:
$ x = \frac{\pi}{9} + 2\pi k, k \in \mathbb{Z} $
Ответ: $ x = \frac{\pi}{9} + 2\pi k, k \in \mathbb{Z} $.
в) $ \sin(x + \frac{\pi}{10}) = \frac{2}{7} $
Это общий случай решения уравнения $ \sin(t) = a $, где $ |a| \le 1 $. Общая формула для корней: $ t = (-1)^k \arcsin(a) + \pi k $, где $ k \in \mathbb{Z} $.
В данном уравнении $ t = x + \frac{\pi}{10} $ и $ a = \frac{2}{7} $.
$ x + \frac{\pi}{10} = (-1)^k \arcsin(\frac{2}{7}) + \pi k $
Выразим $x$:
$ x = -\frac{\pi}{10} + (-1)^k \arcsin(\frac{2}{7}) + \pi k, k \in \mathbb{Z} $
Ответ: $ x = -\frac{\pi}{10} + (-1)^k \arcsin(\frac{2}{7}) + \pi k, k \in \mathbb{Z} $.
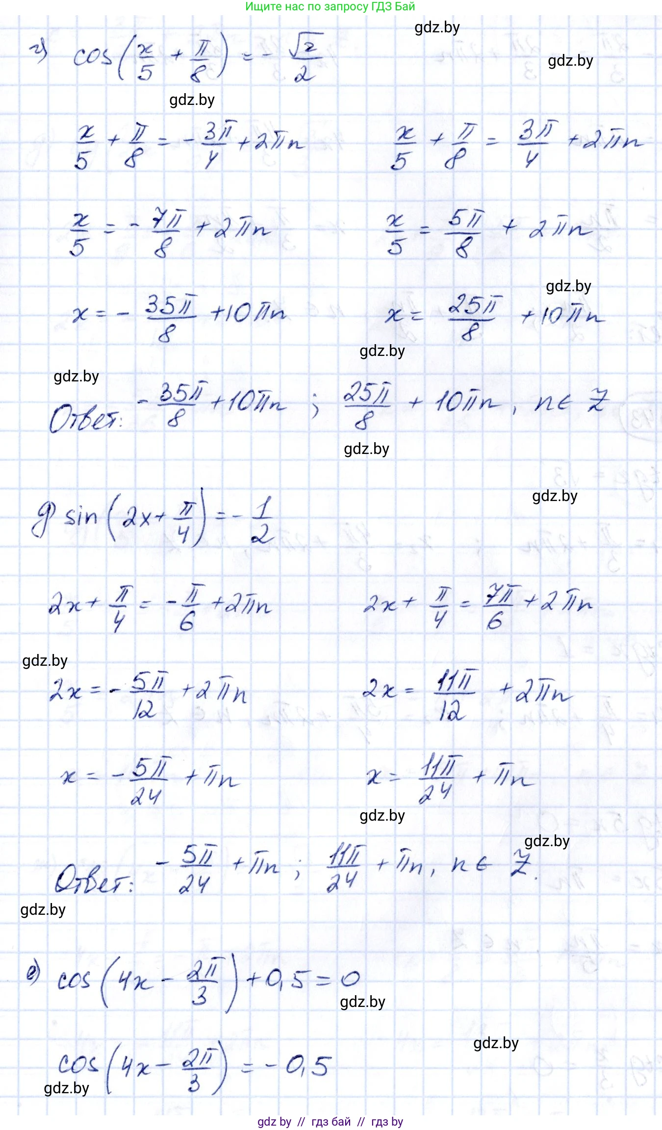
г) $ \cos(\frac{x}{5} + \frac{\pi}{8}) = -\frac{\sqrt{2}}{2} $
Для решения уравнения $ \cos(t) = a $ используется формула $ t = \pm\arccos(a) + 2\pi k $, где $ k \in \mathbb{Z} $.
В нашем случае $ t = \frac{x}{5} + \frac{\pi}{8} $ и $ a = -\frac{\sqrt{2}}{2} $. Мы знаем, что $ \arccos(-\frac{\sqrt{2}}{2}) = \frac{3\pi}{4} $.
$ \frac{x}{5} + \frac{\pi}{8} = \pm\frac{3\pi}{4} + 2\pi k $
Выразим $ \frac{x}{5} $:
$ \frac{x}{5} = -\frac{\pi}{8} \pm\frac{3\pi}{4} + 2\pi k $
Разобьем решение на два случая:
1) Используем знак «+»:
$ \frac{x}{5} = -\frac{\pi}{8} + \frac{6\pi}{8} + 2\pi k = \frac{5\pi}{8} + 2\pi k $
$ x = 5 \cdot (\frac{5\pi}{8} + 2\pi k) = \frac{25\pi}{8} + 10\pi k $
2) Используем знак «-»:
$ \frac{x}{5} = -\frac{\pi}{8} - \frac{6\pi}{8} + 2\pi k = -\frac{7\pi}{8} + 2\pi k $
$ x = 5 \cdot (-\frac{7\pi}{8} + 2\pi k) = -\frac{35\pi}{8} + 10\pi k $
Выделим целую часть из полученных неправильных дробей:
$ \frac{25}{8} = 3\frac{1}{8} $ и $ -\frac{35}{8} = -4\frac{3}{8} $.
Ответ: $ x = 3\frac{1}{8}\pi + 10\pi k $; $ x = -4\frac{3}{8}\pi + 10\pi k, k \in \mathbb{Z} $.
д) $ \sin(2x + \frac{\pi}{4}) = -\frac{1}{2} $
Корни уравнения $ \sin(t) = a $ находятся по формуле $ t = (-1)^k \arcsin(a) + \pi k $, где $ k \in \mathbb{Z} $. Здесь $ t = 2x + \frac{\pi}{4} $ и $ a = -\frac{1}{2} $. Значение арксинуса: $ \arcsin(-\frac{1}{2}) = -\frac{\pi}{6} $.
Удобнее рассмотреть две серии решений для $t$: $ t = -\frac{\pi}{6} + 2\pi k $ и $ t = \pi - (-\frac{\pi}{6}) + 2\pi k = \frac{7\pi}{6} + 2\pi k $.
1) Первая серия корней:
$ 2x + \frac{\pi}{4} = -\frac{\pi}{6} + 2\pi k $
$ 2x = -\frac{\pi}{6} - \frac{\pi}{4} + 2\pi k = -\frac{2\pi}{12} - \frac{3\pi}{12} + 2\pi k = -\frac{5\pi}{12} + 2\pi k $
$ x = -\frac{5\pi}{24} + \pi k $
2) Вторая серия корней:
$ 2x + \frac{\pi}{4} = \frac{7\pi}{6} + 2\pi k $
$ 2x = \frac{7\pi}{6} - \frac{\pi}{4} + 2\pi k = \frac{14\pi}{12} - \frac{3\pi}{12} + 2\pi k = \frac{11\pi}{12} + 2\pi k $
$ x = \frac{11\pi}{24} + \pi k $
Ответ: $ x = -\frac{5\pi}{24} + \pi k $; $ x = \frac{11\pi}{24} + \pi k, k \in \mathbb{Z} $.
е) $ \cos(4x - \frac{2\pi}{3}) + 0,5 = 0 $
Сначала преобразуем уравнение:
$ \cos(4x - \frac{2\pi}{3}) = -0,5 = -\frac{1}{2} $
Используем формулу $ t = \pm\arccos(a) + 2\pi k $, где $ t = 4x - \frac{2\pi}{3} $, $ a = -\frac{1}{2} $. Значение арккосинуса: $ \arccos(-\frac{1}{2}) = \frac{2\pi}{3} $.
$ 4x - \frac{2\pi}{3} = \pm\frac{2\pi}{3} + 2\pi k $
Рассмотрим два случая:
1) С положительным знаком:
$ 4x - \frac{2\pi}{3} = \frac{2\pi}{3} + 2\pi k $
$ 4x = \frac{4\pi}{3} + 2\pi k $
$ x = \frac{\pi}{3} + \frac{\pi k}{2} $
2) С отрицательным знаком:
$ 4x - \frac{2\pi}{3} = -\frac{2\pi}{3} + 2\pi k $
$ 4x = 2\pi k $
$ x = \frac{\pi k}{2} $
Ответ: $ x = \frac{\pi}{3} + \frac{\pi k}{2} $; $ x = \frac{\pi k}{2}, k \in \mathbb{Z} $.
Другие задания:
Помогло решение? Оставьте отзыв в комментариях ниже.
Присоединяйтесь к Телеграм-группе @gdz_by_belarus
ПрисоединитьсяМы подготовили для вас ответ c подробным объяснением домашего задания по алгебре за 10 класс, для упражнения номер 1.342 расположенного на странице 113 к учебнику 2019 года издания для учащихся школ и гимназий.
Теперь на нашем сайте ГДЗ.ТОП вы всегда легко и бесплатно найдёте условие с правильным ответом на вопрос «Как решить ДЗ» и «Как сделать» задание по алгебре к упражнению №1.342 (с. 113), авторов: Арефьева (Ирина Глебовна), Пирютко (Ольга Николаевна), учебного пособия издательства Народная асвета.