Номер 1.346, страница 113 - гдз по алгебре 10 класс учебник Арефьева, Пирютко

Алгебра, 10 класс Учебник, авторы: Арефьева Ирина Глебовна, Пирютко Ольга Николаевна, издательство Народная асвета, Минск, 2019, голубого цвета

Авторы: Арефьева И. Г., Пирютко О. Н.

Тип: Учебник

Издательство: Народная асвета

Год издания: 2019 - 2026

Цвет обложки: голубой с графиком

Допущено Министерством образования Республики Беларусь

Популярные ГДЗ в 10 классе

Глава 1. Тригонометрия. Параграф 8. Тригонометрические уравнения - номер 1.346, страница 113.

№1.346 (с. 113)
Условие. №1.346 (с. 113)
скриншот условия
Алгебра, 10 класс Учебник, авторы: Арефьева Ирина Глебовна, Пирютко Ольга Николаевна, издательство Народная асвета, Минск, 2019, голубого цвета, страница 113, номер 1.346, Условие

1.346. Решите уравнение:

a) $\sin^2 x + 3\sin x - 4 = 0;$

Б) $2\cos^2 x + 3\cos x + 1 = 0;$

В) $2\sin^2 x - 7\cos x - 5 = 0;$

Г) $2\cos^2 x - 5\sin x + 1 = 0;$

Д) $\operatorname{tg}^2 x - 2\operatorname{tg} x - 3 = 0;$

Е) $\sqrt{3}\operatorname{tg} x + 3 = \frac{3}{\cos^2 x}.$

Решение. №1.346 (с. 113)
Алгебра, 10 класс Учебник, авторы: Арефьева Ирина Глебовна, Пирютко Ольга Николаевна, издательство Народная асвета, Минск, 2019, голубого цвета, страница 113, номер 1.346, Решение Алгебра, 10 класс Учебник, авторы: Арефьева Ирина Глебовна, Пирютко Ольга Николаевна, издательство Народная асвета, Минск, 2019, голубого цвета, страница 113, номер 1.346, Решение (продолжение 2)
Решение 2. №1.346 (с. 113)

а) $sin^2 x + 3sin x - 4 = 0$
Это квадратное уравнение относительно $sin x$. Сделаем замену переменной. Пусть $t = sin x$. Так как область значений синуса от -1 до 1, то $|t| \le 1$.
Уравнение примет вид:
$t^2 + 3t - 4 = 0$
Решим это квадратное уравнение. По теореме Виета, сумма корней равна -3, а произведение равно -4. Легко подобрать корни:
$t_1 = 1$
$t_2 = -4$
Теперь вернемся к замене $t = sin x$.
1) $sin x = 1$. Это частный случай простейшего тригонометрического уравнения. Его решение:
$x = \frac{\pi}{2} + 2\pi n$, где $n \in \mathbb{Z}$.
2) $sin x = -4$. Этот корень не подходит, так как значение синуса не может быть меньше -1. Уравнение не имеет решений.
Ответ: $x = \frac{\pi}{2} + 2\pi n$, где $n \in \mathbb{Z}$.

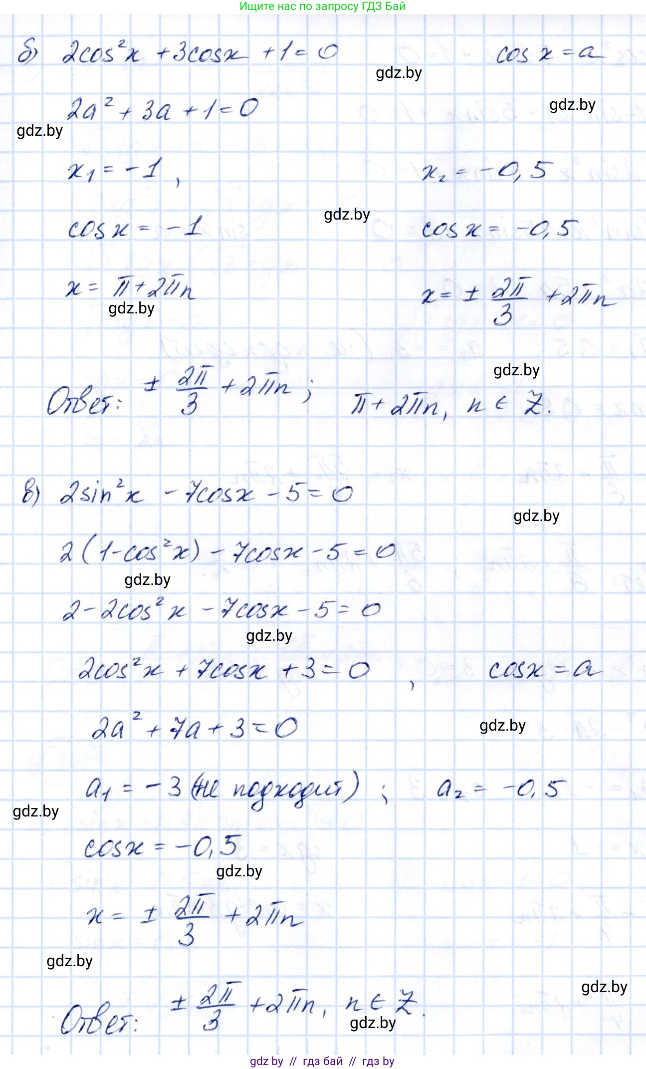
б) $2cos^2 x + 3cos x + 1 = 0$
Это квадратное уравнение относительно $cos x$. Сделаем замену переменной. Пусть $t = cos x$, где $|t| \le 1$.
$2t^2 + 3t + 1 = 0$
Найдем дискриминант: $D = b^2 - 4ac = 3^2 - 4 \cdot 2 \cdot 1 = 9 - 8 = 1$.
Корни уравнения: $t = \frac{-b \pm \sqrt{D}}{2a} = \frac{-3 \pm 1}{4}$.
$t_1 = \frac{-3 - 1}{4} = -1$
$t_2 = \frac{-3 + 1}{4} = -\frac{1}{2}$
Оба корня удовлетворяют условию $|t| \le 1$. Возвращаемся к замене $t = cos x$.
1) $cos x = -1$. Решение:
$x = \pi + 2\pi n$, где $n \in \mathbb{Z}$.
2) $cos x = -\frac{1}{2}$. Решение:
$x = \pm arccos(-\frac{1}{2}) + 2\pi n = \pm (\pi - \frac{\pi}{3}) + 2\pi n = \pm \frac{2\pi}{3} + 2\pi n$, где $n \in \mathbb{Z}$.
Ответ: $x = \pi + 2\pi n$, $x = \pm \frac{2\pi}{3} + 2\pi n$, где $n \in \mathbb{Z}$.

в) $2sin^2 x - 7cos x - 5 = 0$
Используем основное тригонометрическое тождество $sin^2 x = 1 - cos^2 x$, чтобы привести уравнение к одной функции.
$2(1 - cos^2 x) - 7cos x - 5 = 0$
$2 - 2cos^2 x - 7cos x - 5 = 0$
$-2cos^2 x - 7cos x - 3 = 0$
Умножим на -1: $2cos^2 x + 7cos x + 3 = 0$.
Сделаем замену $t = cos x$, где $|t| \le 1$.
$2t^2 + 7t + 3 = 0$
$D = 7^2 - 4 \cdot 2 \cdot 3 = 49 - 24 = 25$.
$t = \frac{-7 \pm \sqrt{25}}{4} = \frac{-7 \pm 5}{4}$.
$t_1 = \frac{-7-5}{4} = -3$. Этот корень не подходит, т.к. $|-3| > 1$.
$t_2 = \frac{-7+5}{4} = -\frac{1}{2}$. Этот корень подходит.
Возвращаемся к замене: $cos x = -\frac{1}{2}$.
$x = \pm \frac{2\pi}{3} + 2\pi n$, где $n \in \mathbb{Z}$.
Ответ: $x = \pm \frac{2\pi}{3} + 2\pi n$, где $n \in \mathbb{Z}$.

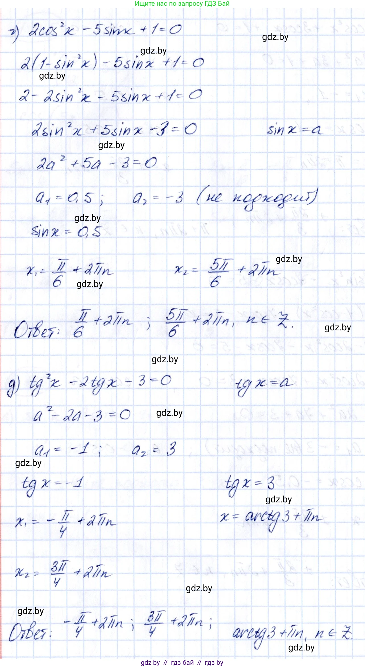
г) $2cos^2 x - 5sin x + 1 = 0$
Используем основное тригонометрическое тождество $cos^2 x = 1 - sin^2 x$.
$2(1 - sin^2 x) - 5sin x + 1 = 0$
$2 - 2sin^2 x - 5sin x + 1 = 0$
$-2sin^2 x - 5sin x + 3 = 0$
$2sin^2 x + 5sin x - 3 = 0$.
Сделаем замену $t = sin x$, где $|t| \le 1$.
$2t^2 + 5t - 3 = 0$
$D = 5^2 - 4 \cdot 2 \cdot (-3) = 25 + 24 = 49$.
$t = \frac{-5 \pm \sqrt{49}}{4} = \frac{-5 \pm 7}{4}$.
$t_1 = \frac{-5-7}{4} = -3$. Этот корень не подходит, т.к. $|-3| > 1$.
$t_2 = \frac{-5+7}{4} = \frac{2}{4} = \frac{1}{2}$. Этот корень подходит.
Возвращаемся к замене: $sin x = \frac{1}{2}$.
$x = (-1)^n arcsin(\frac{1}{2}) + \pi n = (-1)^n \frac{\pi}{6} + \pi n$, где $n \in \mathbb{Z}$.
Ответ: $x = (-1)^n \frac{\pi}{6} + \pi n$, где $n \in \mathbb{Z}$.

д) $tg^2 x - 2tg x - 3 = 0$
Это квадратное уравнение относительно $tg x$. Сделаем замену $t = tg x$.
$t^2 - 2t - 3 = 0$
По теореме Виета: $t_1 = 3$, $t_2 = -1$.
Возвращаемся к замене:
1) $tg x = 3$.
$x = arctg(3) + \pi n$, где $n \in \mathbb{Z}$.
2) $tg x = -1$.
$x = arctg(-1) + \pi n = -\frac{\pi}{4} + \pi n$, где $n \in \mathbb{Z}$.
Ответ: $x = arctg(3) + \pi n$, $x = -\frac{\pi}{4} + \pi n$, где $n \in \mathbb{Z}$.

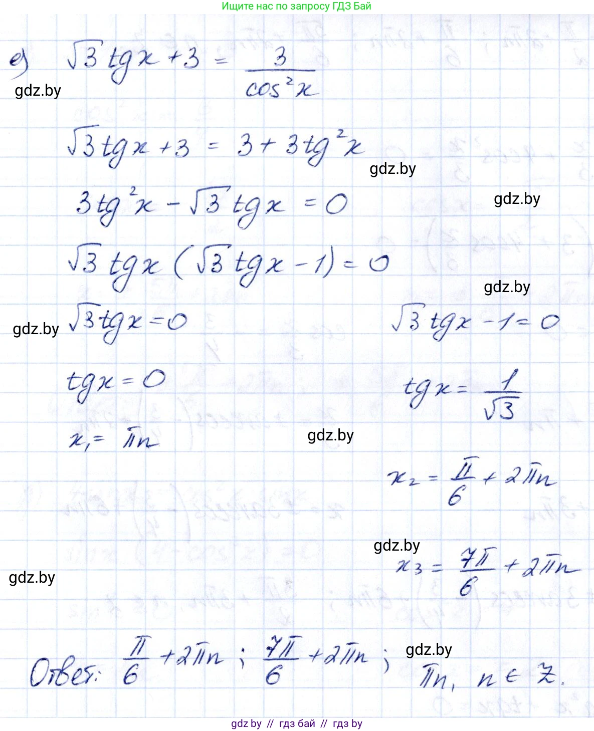
е) $\sqrt{3}tg x + 3 = \frac{3}{cos^2 x}$
Область допустимых значений (ОДЗ): $cos x \neq 0$, что означает $x \neq \frac{\pi}{2} + \pi k$ для любого целого $k$.
Используем тождество $\frac{1}{cos^2 x} = 1 + tg^2 x$.
$\sqrt{3}tg x + 3 = 3(1 + tg^2 x)$
$\sqrt{3}tg x + 3 = 3 + 3tg^2 x$
$3tg^2 x - \sqrt{3}tg x = 0$
Вынесем $tg x$ за скобки:
$tg x (3tg x - \sqrt{3}) = 0$
Произведение равно нулю, если один из множителей равен нулю:
1) $tg x = 0$.
$x = \pi n$, где $n \in \mathbb{Z}$. Это решение удовлетворяет ОДЗ.
2) $3tg x - \sqrt{3} = 0$.
$3tg x = \sqrt{3}$
$tg x = \frac{\sqrt{3}}{3}$.
$x = \frac{\pi}{6} + \pi n$, где $n \in \mathbb{Z}$. Это решение также удовлетворяет ОДЗ.
Ответ: $x = \pi n$, $x = \frac{\pi}{6} + \pi n$, где $n \in \mathbb{Z}$.

Помогло решение? Оставьте отзыв в комментариях ниже.

Присоединяйтесь к Телеграм-группе @gdz_by_belarus

Присоединиться

Мы подготовили для вас ответ c подробным объяснением домашего задания по алгебре за 10 класс, для упражнения номер 1.346 расположенного на странице 113 к учебнику 2019 года издания для учащихся школ и гимназий.

Теперь на нашем сайте ГДЗ.ТОП вы всегда легко и бесплатно найдёте условие с правильным ответом на вопрос «Как решить ДЗ» и «Как сделать» задание по алгебре к упражнению №1.346 (с. 113), авторов: Арефьева (Ирина Глебовна), Пирютко (Ольга Николаевна), учебного пособия издательства Народная асвета.