Номер 1.344, страница 113 - гдз по алгебре 10 класс учебник Арефьева, Пирютко
Авторы: Арефьева И. Г., Пирютко О. Н.
Тип: Учебник
Издательство: Народная асвета
Год издания: 2019 - 2026
Цвет обложки: голубой с графиком
Допущено Министерством образования Республики Беларусь
Популярные ГДЗ в 10 классе
Глава 1. Тригонометрия. Параграф 8. Тригонометрические уравнения - номер 1.344, страница 113.
№1.344 (с. 113)
Условие. №1.344 (с. 113)
скриншот условия
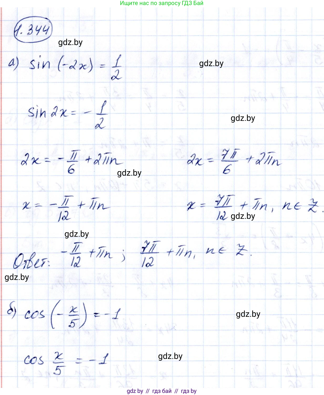
1.344. Воспользуйтесь свойством четности (нечетности) тригонометрических функций и решите уравнение:
а) $ \sin(-2x) = \frac{1}{2}; $
б) $ \cos\left(-\frac{x}{5}\right) = -1; $
в) $ \operatorname{tg}(-7x) = -\sqrt{3}; $
г) $ \sin\left(\frac{\pi}{5} - \frac{x}{2}\right) = \frac{\sqrt{2}}{2}. $
Решение. №1.344 (с. 113)
Решение 2. №1.344 (с. 113)
Для решения данных уравнений воспользуемся свойствами четности и нечетности тригонометрических функций:
- Синус – нечетная функция: $ \sin(-x) = -\sin(x) $
- Косинус – четная функция: $ \cos(-x) = \cos(x) $
- Тангенс – нечетная функция: $ \text{tg}(-x) = -\text{tg}(x) $
а) Решим уравнение $ \sin(-2x) = \frac{1}{2} $.
Используя свойство нечетности синуса, преобразуем уравнение:
$ -\sin(2x) = \frac{1}{2} $
$ \sin(2x) = -\frac{1}{2} $
Общее решение уравнения $ \sin(y) = a $ записывается в виде двух серий корней: $ y = \arcsin(a) + 2\pi k $ и $ y = \pi - \arcsin(a) + 2\pi k $, где $ k \in \mathbb{Z} $.
В нашем случае $ y = 2x $ и $ a = -\frac{1}{2} $. Находим $ \arcsin(-\frac{1}{2}) = -\frac{\pi}{6} $.
1. Первая серия корней:
$ 2x = -\frac{\pi}{6} + 2\pi k $
$ x = -\frac{\pi}{12} + \pi k, k \in \mathbb{Z} $
2. Вторая серия корней:
$ 2x = \pi - (-\frac{\pi}{6}) + 2\pi k = \pi + \frac{\pi}{6} + 2\pi k = \frac{7\pi}{6} + 2\pi k $
$ x = \frac{7\pi}{12} + \pi k, k \in \mathbb{Z} $
Ответ: $ x = -\frac{\pi}{12} + \pi k, k \in \mathbb{Z} $; $ x = \frac{7\pi}{12} + \pi k, k \in \mathbb{Z} $.
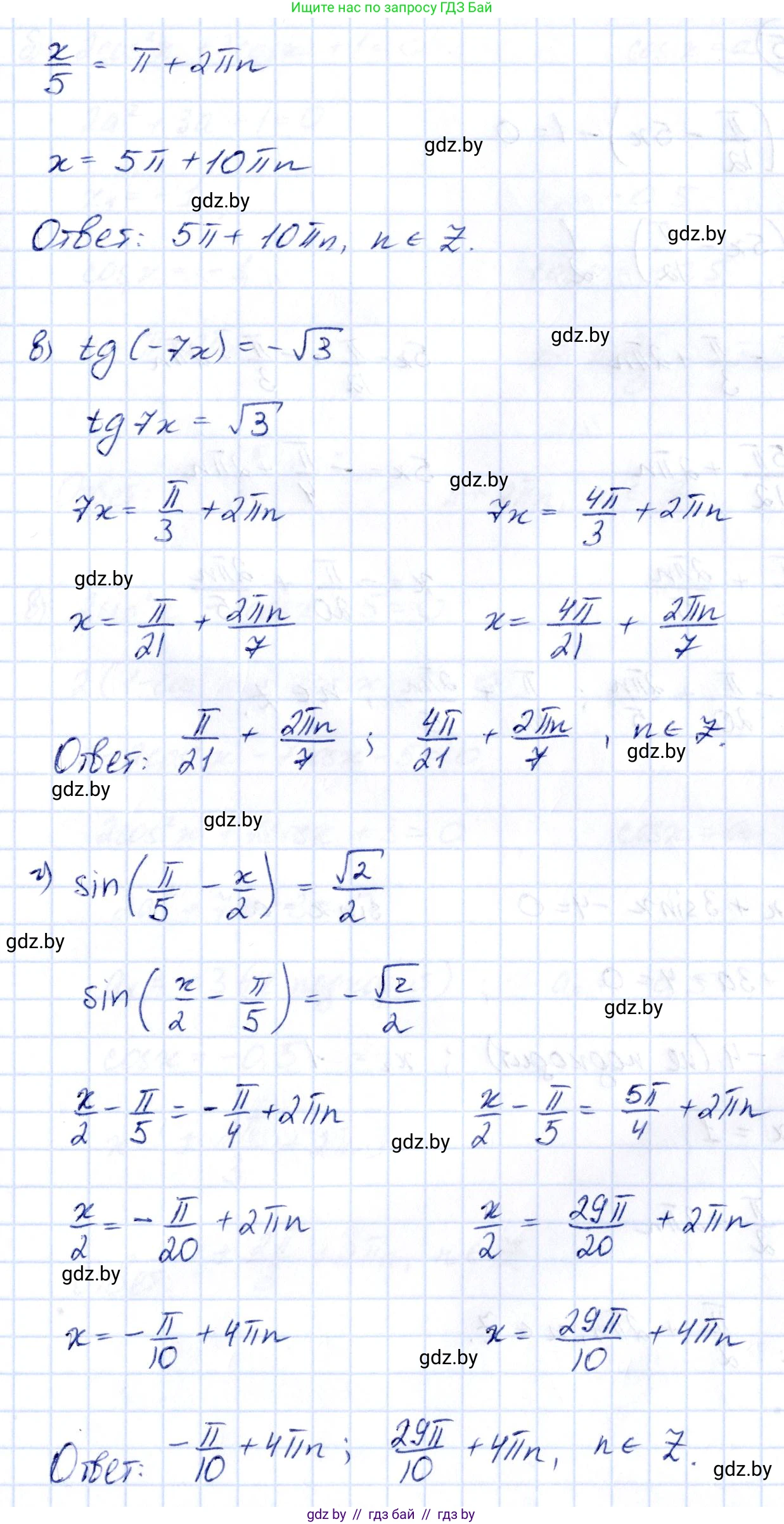
б) Решим уравнение $ \cos(-\frac{x}{5}) = -1 $.
Используя свойство четности косинуса, преобразуем уравнение:
$ \cos(\frac{x}{5}) = -1 $
Это частный случай тригонометрического уравнения. Решение уравнения $ \cos(y) = -1 $ имеет вид $ y = \pi + 2\pi k $, где $ k \in \mathbb{Z} $.
В нашем случае $ y = \frac{x}{5} $:
$ \frac{x}{5} = \pi + 2\pi k $
Умножим обе части на 5, чтобы найти $ x $:
$ x = 5(\pi + 2\pi k) = 5\pi + 10\pi k, k \in \mathbb{Z} $
Ответ: $ x = 5\pi + 10\pi k, k \in \mathbb{Z} $.
в) Решим уравнение $ \text{tg}(-7x) = -\sqrt{3} $.
Используя свойство нечетности тангенса, преобразуем уравнение:
$ -\text{tg}(7x) = -\sqrt{3} $
$ \text{tg}(7x) = \sqrt{3} $
Общее решение уравнения $ \text{tg}(y) = a $ имеет вид $ y = \text{arctg}(a) + \pi k $, где $ k \in \mathbb{Z} $.
В нашем случае $ y = 7x $ и $ a = \sqrt{3} $. Находим $ \text{arctg}(\sqrt{3}) = \frac{\pi}{3} $.
$ 7x = \frac{\pi}{3} + \pi k $
Разделим обе части на 7, чтобы найти $ x $:
$ x = \frac{1}{7}(\frac{\pi}{3} + \pi k) = \frac{\pi}{21} + \frac{\pi k}{7}, k \in \mathbb{Z} $
Ответ: $ x = \frac{\pi}{21} + \frac{\pi k}{7}, k \in \mathbb{Z} $.
г) Решим уравнение $ \sin(\frac{\pi}{5} - \frac{x}{2}) = \frac{\sqrt{2}}{2} $.
Используя свойство нечетности синуса, преобразуем аргумент функции: $ \sin(\frac{\pi}{5} - \frac{x}{2}) = \sin(-(\frac{x}{2} - \frac{\pi}{5})) = -\sin(\frac{x}{2} - \frac{\pi}{5}) $.
Уравнение принимает вид:
$ -\sin(\frac{x}{2} - \frac{\pi}{5}) = \frac{\sqrt{2}}{2} $
$ \sin(\frac{x}{2} - \frac{\pi}{5}) = -\frac{\sqrt{2}}{2} $
Пусть $ y = \frac{x}{2} - \frac{\pi}{5} $. Тогда $ \sin(y) = -\frac{\sqrt{2}}{2} $. Находим $ \arcsin(-\frac{\sqrt{2}}{2}) = -\frac{\pi}{4} $.
1. Первая серия корней:
$ y = -\frac{\pi}{4} + 2\pi k $
$ \frac{x}{2} - \frac{\pi}{5} = -\frac{\pi}{4} + 2\pi k $
$ \frac{x}{2} = \frac{\pi}{5} - \frac{\pi}{4} + 2\pi k = \frac{4\pi - 5\pi}{20} + 2\pi k = -\frac{\pi}{20} + 2\pi k $
$ x = 2(-\frac{\pi}{20} + 2\pi k) = -\frac{\pi}{10} + 4\pi k, k \in \mathbb{Z} $
2. Вторая серия корней:
$ y = \pi - (-\frac{\pi}{4}) + 2\pi k = \frac{5\pi}{4} + 2\pi k $
$ \frac{x}{2} - \frac{\pi}{5} = \frac{5\pi}{4} + 2\pi k $
$ \frac{x}{2} = \frac{\pi}{5} + \frac{5\pi}{4} + 2\pi k = \frac{4\pi + 25\pi}{20} + 2\pi k = \frac{29\pi}{20} + 2\pi k $
$ x = 2(\frac{29\pi}{20} + 2\pi k) = \frac{29\pi}{10} + 4\pi k, k \in \mathbb{Z} $
Дробь $ \frac{29}{10} $ является неправильной. Выделим целую часть: $ \frac{29}{10} = 2\frac{9}{10} $.
Таким образом, вторая серия корней: $ x = 2\frac{9}{10}\pi + 4\pi k, k \in \mathbb{Z} $.
Ответ: $ x = -\frac{\pi}{10} + 4\pi k, k \in \mathbb{Z} $; $ x = 2\frac{9}{10}\pi + 4\pi k, k \in \mathbb{Z} $.
Другие задания:
Помогло решение? Оставьте отзыв в комментариях ниже.
Присоединяйтесь к Телеграм-группе @gdz_by_belarus
ПрисоединитьсяМы подготовили для вас ответ c подробным объяснением домашего задания по алгебре за 10 класс, для упражнения номер 1.344 расположенного на странице 113 к учебнику 2019 года издания для учащихся школ и гимназий.
Теперь на нашем сайте ГДЗ.ТОП вы всегда легко и бесплатно найдёте условие с правильным ответом на вопрос «Как решить ДЗ» и «Как сделать» задание по алгебре к упражнению №1.344 (с. 113), авторов: Арефьева (Ирина Глебовна), Пирютко (Ольга Николаевна), учебного пособия издательства Народная асвета.