Номер 1.19, страница 14 - гдз по алгебре 11 класс учебник Арефьева, Пирютко

Алгебра, 11 класс Учебник, авторы: Арефьева Ирина Глебовна, Пирютко Ольга Николаевна, издательство Народная асвета, Минск, 2020, бирюзового цвета

Авторы: Арефьева И. Г., Пирютко О. Н.

Тип: Учебник

Издательство: Народная асвета

Год издания: 2020 - 2026

Цвет обложки: бирюзовый, зелёный с графиком

ISBN: 978-985-03-3165-6

Популярные ГДЗ в 11 классе

Глава 1. Обобщение понятия степени. Параграф 1. Степень с рациональным показателем и ее свойства. Степень с действительным показателем - номер 1.19, страница 14.

№1.19 (с. 14)
Условие. №1.19 (с. 14)
скриншот условия
Алгебра, 11 класс Учебник, авторы: Арефьева Ирина Глебовна, Пирютко Ольга Николаевна, издательство Народная асвета, Минск, 2020, бирюзового цвета, страница 14, номер 1.19, Условие

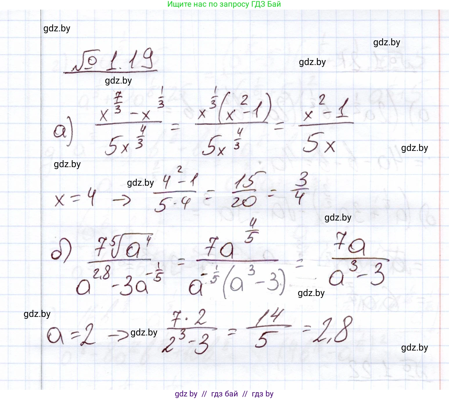
1.19. Найдите значение выражения:

а) $\frac{x^{\frac{7}{3}} - x^{\frac{1}{3}}}{5x^{\frac{4}{3}}}$ при $x = 4$;

б) $\frac{7\sqrt[5]{a^4}}{a^{2,8} - 3a^{-\frac{1}{5}}}$ при $a = 2$.

Решение. №1.19 (с. 14)
Алгебра, 11 класс Учебник, авторы: Арефьева Ирина Глебовна, Пирютко Ольга Николаевна, издательство Народная асвета, Минск, 2020, бирюзового цвета, страница 14, номер 1.19, Решение
Решение 2. №1.19 (с. 14)

a) Сначала упростим выражение $\frac{x^{\frac{7}{3}} - x^{\frac{1}{3}}}{5x^{\frac{4}{3}}}$.
Вынесем в числителе общий множитель $x^{\frac{1}{3}}$ за скобки:
$x^{\frac{7}{3}} - x^{\frac{1}{3}} = x^{\frac{1}{3}}(x^{\frac{7}{3}-\frac{1}{3}} - 1) = x^{\frac{1}{3}}(x^{\frac{6}{3}} - 1) = x^{\frac{1}{3}}(x^2 - 1)$.
Теперь выражение выглядит так:
$\frac{x^{\frac{1}{3}}(x^2 - 1)}{5x^{\frac{4}{3}}}$.
Сократим степени с основанием $x$, используя свойство $\frac{a^m}{a^n} = a^{m-n}$:
$\frac{x^2 - 1}{5} \cdot \frac{x^{\frac{1}{3}}}{x^{\frac{4}{3}}} = \frac{x^2 - 1}{5} \cdot x^{\frac{1}{3}-\frac{4}{3}} = \frac{x^2 - 1}{5} \cdot x^{-1} = \frac{x^2 - 1}{5x}$.
Подставим в упрощенное выражение значение $x = 4$:
$\frac{4^2 - 1}{5 \cdot 4} = \frac{16 - 1}{20} = \frac{15}{20} = \frac{3}{4}$.
Ответ: $\frac{3}{4}$.

б) Упростим выражение $\frac{7\sqrt[5]{a^4}}{a^{2.8} - 3a^{-\frac{1}{5}}}$.
Для этого представим все степени с рациональными показателями: $\sqrt[5]{a^4} = a^{\frac{4}{5}}$ и $a^{2.8} = a^{\frac{28}{10}} = a^{\frac{14}{5}}$.
Выражение примет вид:
$\frac{7a^{\frac{4}{5}}}{a^{\frac{14}{5}} - 3a^{-\frac{1}{5}}}$.
Чтобы упростить знаменатель, умножим числитель и знаменатель дроби на $a^{\frac{1}{5}}$:
$\frac{7a^{\frac{4}{5}} \cdot a^{\frac{1}{5}}}{(a^{\frac{14}{5}} - 3a^{-\frac{1}{5}}) \cdot a^{\frac{1}{5}}} = \frac{7a^{\frac{4}{5}+\frac{1}{5}}}{a^{\frac{14}{5}+\frac{1}{5}} - 3a^{-\frac{1}{5}+\frac{1}{5}}} = \frac{7a^1}{a^{\frac{15}{5}} - 3a^0} = \frac{7a}{a^3 - 3}$.
Теперь подставим значение $a = 2$ в полученное выражение:
$\frac{7 \cdot 2}{2^3 - 3} = \frac{14}{8 - 3} = \frac{14}{5}$.
Ответ: $\frac{14}{5}$.

Помогло решение? Оставьте отзыв в комментариях ниже.

Присоединяйтесь к Телеграм-группе @gdz_by_belarus

Присоединиться

Мы подготовили для вас ответ c подробным объяснением домашего задания по алгебре за 11 класс, для упражнения номер 1.19 расположенного на странице 14 к учебнику 2020 года издания для учащихся школ и гимназий.

Теперь на нашем сайте ГДЗ.ТОП вы всегда легко и бесплатно найдёте условие с правильным ответом на вопрос «Как решить ДЗ» и «Как сделать» задание по алгебре к упражнению №1.19 (с. 14), авторов: Арефьева (Ирина Глебовна), Пирютко (Ольга Николаевна), учебного пособия издательства Народная асвета.