Номер 1.21, страница 15 - гдз по алгебре 11 класс учебник Арефьева, Пирютко

Алгебра, 11 класс Учебник, авторы: Арефьева Ирина Глебовна, Пирютко Ольга Николаевна, издательство Народная асвета, Минск, 2020, бирюзового цвета

Авторы: Арефьева И. Г., Пирютко О. Н.

Тип: Учебник

Издательство: Народная асвета

Год издания: 2020 - 2026

Цвет обложки: бирюзовый, зелёный с графиком

ISBN: 978-985-03-3165-6

Популярные ГДЗ в 11 классе

Глава 1. Обобщение понятия степени. Параграф 1. Степень с рациональным показателем и ее свойства. Степень с действительным показателем - номер 1.21, страница 15.

№1.21 (с. 15)
Условие. №1.21 (с. 15)
скриншот условия
Алгебра, 11 класс Учебник, авторы: Арефьева Ирина Глебовна, Пирютко Ольга Николаевна, издательство Народная асвета, Минск, 2020, бирюзового цвета, страница 15, номер 1.21, Условие

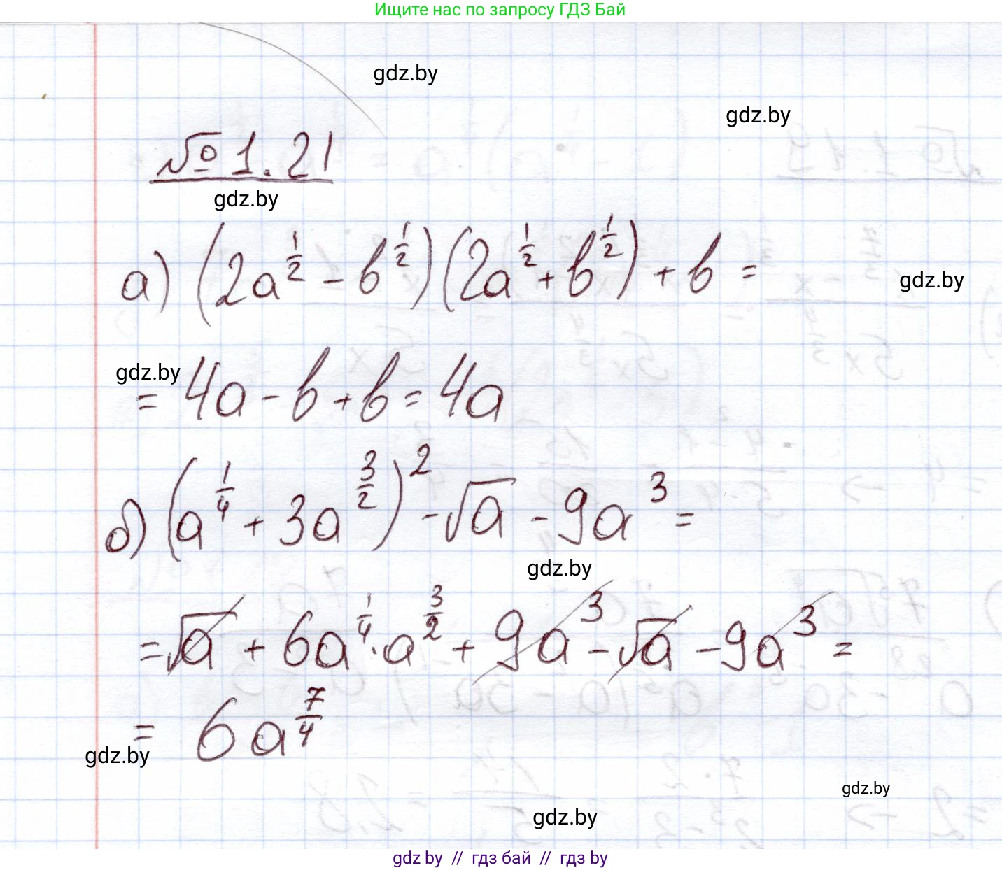
1.21. Примените формулы сокращенного умножения и упростите выражение:

a) $(2a^{\frac{1}{2}} - b^{\frac{1}{2}})(2a^{\frac{1}{2}} + b^{\frac{1}{2}}) + b;$

б) $(a^{\frac{1}{4}} + 3a^{\frac{3}{2}})^2 - \sqrt{a} - 9a^3.$

Решение. №1.21 (с. 15)
Алгебра, 11 класс Учебник, авторы: Арефьева Ирина Глебовна, Пирютко Ольга Николаевна, издательство Народная асвета, Минск, 2020, бирюзового цвета, страница 15, номер 1.21, Решение
Решение 2. №1.21 (с. 15)

а) В выражении $(2a^{\frac{1}{2}} - b^{\frac{1}{2}})(2a^{\frac{1}{2}} + b^{\frac{1}{2}}) + b$ первая часть представляет собой произведение разности и суммы двух выражений. Для ее упрощения применим формулу сокращенного умножения "разность квадратов": $(x - y)(x + y) = x^2 - y^2$.
В нашем случае $x = 2a^{\frac{1}{2}}$ и $y = b^{\frac{1}{2}}$.
Применяем формулу:
$(2a^{\frac{1}{2}} - b^{\frac{1}{2}})(2a^{\frac{1}{2}} + b^{\frac{1}{2}}) = (2a^{\frac{1}{2}})^2 - (b^{\frac{1}{2}})^2 = 2^2 \cdot (a^{\frac{1}{2}})^2 - (b^{\frac{1}{2}})^2 = 4a^{\frac{1}{2} \cdot 2} - b^{\frac{1}{2} \cdot 2} = 4a^1 - b^1 = 4a - b$.
Теперь подставим полученный результат в исходное выражение и упростим:
$(4a - b) + b = 4a - b + b = 4a$.
Ответ: $4a$.

б) В выражении $(a^{\frac{1}{4}} + 3a^{\frac{3}{2}})^2 - \sqrt{a} - 9a^3$ раскроем скобки, используя формулу сокращенного умножения "квадрат суммы": $(x + y)^2 = x^2 + 2xy + y^2$.
В нашем случае $x = a^{\frac{1}{4}}$ и $y = 3a^{\frac{3}{2}}$.
Раскрываем квадрат суммы:
$(a^{\frac{1}{4}} + 3a^{\frac{3}{2}})^2 = (a^{\frac{1}{4}})^2 + 2 \cdot a^{\frac{1}{4}} \cdot 3a^{\frac{3}{2}} + (3a^{\frac{3}{2}})^2$.
Упростим каждое слагаемое:
Первое слагаемое: $(a^{\frac{1}{4}})^2 = a^{\frac{1}{4} \cdot 2} = a^{\frac{2}{4}} = a^{\frac{1}{2}}$.
Второе слагаемое: $2 \cdot a^{\frac{1}{4}} \cdot 3a^{\frac{3}{2}} = 6a^{\frac{1}{4} + \frac{3}{2}} = 6a^{\frac{1}{4} + \frac{6}{4}} = 6a^{\frac{7}{4}}$.
Третье слагаемое: $(3a^{\frac{3}{2}})^2 = 3^2 \cdot (a^{\frac{3}{2}})^2 = 9a^{\frac{3}{2} \cdot 2} = 9a^3$.
Таким образом, $(a^{\frac{1}{4}} + 3a^{\frac{3}{2}})^2 = a^{\frac{1}{2}} + 6a^{\frac{7}{4}} + 9a^3$.
Подставим это в исходное выражение, учитывая что $\sqrt{a} = a^{\frac{1}{2}}$:
$(a^{\frac{1}{2}} + 6a^{\frac{7}{4}} + 9a^3) - \sqrt{a} - 9a^3 = a^{\frac{1}{2}} + 6a^{\frac{7}{4}} + 9a^3 - a^{\frac{1}{2}} - 9a^3$.
Приведем подобные слагаемые:
$(a^{\frac{1}{2}} - a^{\frac{1}{2}}) + (9a^3 - 9a^3) + 6a^{\frac{7}{4}} = 0 + 0 + 6a^{\frac{7}{4}} = 6a^{\frac{7}{4}}$.
Ответ: $6a^{\frac{7}{4}}$.

Помогло решение? Оставьте отзыв в комментариях ниже.

Присоединяйтесь к Телеграм-группе @gdz_by_belarus

Присоединиться

Мы подготовили для вас ответ c подробным объяснением домашего задания по алгебре за 11 класс, для упражнения номер 1.21 расположенного на странице 15 к учебнику 2020 года издания для учащихся школ и гимназий.

Теперь на нашем сайте ГДЗ.ТОП вы всегда легко и бесплатно найдёте условие с правильным ответом на вопрос «Как решить ДЗ» и «Как сделать» задание по алгебре к упражнению №1.21 (с. 15), авторов: Арефьева (Ирина Глебовна), Пирютко (Ольга Николаевна), учебного пособия издательства Народная асвета.