Номер 1.16, страница 14 - гдз по алгебре 11 класс учебник Арефьева, Пирютко

Алгебра, 11 класс Учебник, авторы: Арефьева Ирина Глебовна, Пирютко Ольга Николаевна, издательство Народная асвета, Минск, 2020, бирюзового цвета

Авторы: Арефьева И. Г., Пирютко О. Н.

Тип: Учебник

Издательство: Народная асвета

Год издания: 2020 - 2026

Цвет обложки: бирюзовый, зелёный с графиком

ISBN: 978-985-03-3165-6

Популярные ГДЗ в 11 классе

Глава 1. Обобщение понятия степени. Параграф 1. Степень с рациональным показателем и ее свойства. Степень с действительным показателем - номер 1.16, страница 14.

№1.16 (с. 14)
Условие. №1.16 (с. 14)
скриншот условия
Алгебра, 11 класс Учебник, авторы: Арефьева Ирина Глебовна, Пирютко Ольга Николаевна, издательство Народная асвета, Минск, 2020, бирюзового цвета, страница 14, номер 1.16, Условие

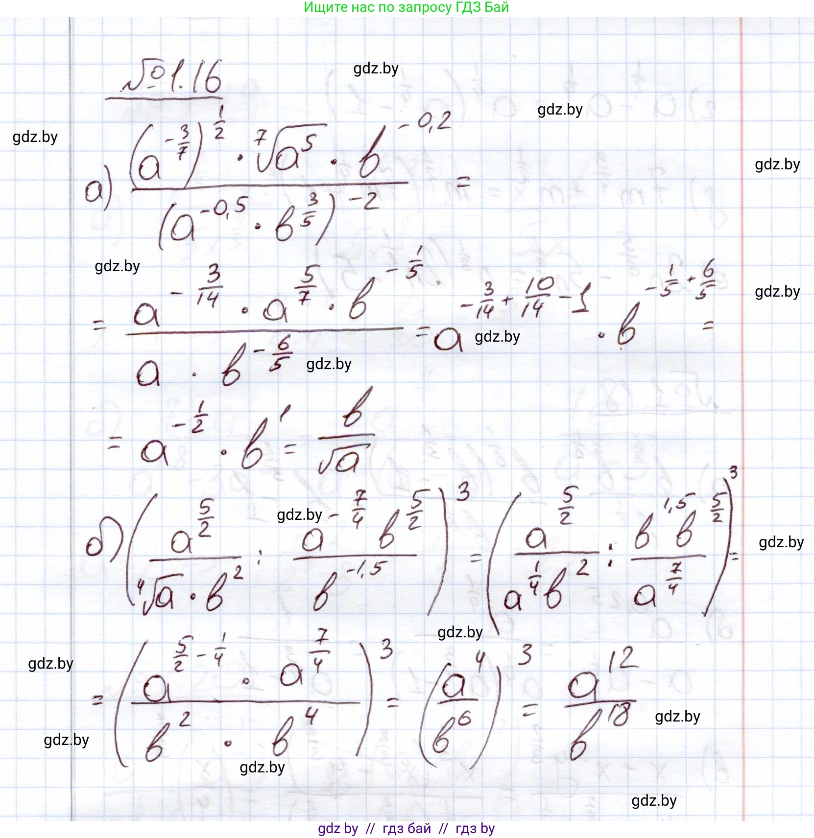
1.16. Упростите выражение:

а) $\frac{\left(a^{-\frac{3}{7}}\right)^{\frac{1}{2}} \cdot \sqrt[7]{a^{5}} \cdot b^{-0.2}}{\left(a^{-0.5} \cdot b^{\frac{3}{5}}\right)^{-2}}$

б) $\left(\frac{a^{\frac{5}{2}}}{\sqrt[4]{a} \cdot b^{2}}: \frac{a^{-\frac{7}{4}} b^{\frac{5}{2}}}{b^{-1.5}}\right)^{3}$

Решение. №1.16 (с. 14)
Алгебра, 11 класс Учебник, авторы: Арефьева Ирина Глебовна, Пирютко Ольга Николаевна, издательство Народная асвета, Минск, 2020, бирюзового цвета, страница 14, номер 1.16, Решение
Решение 2. №1.16 (с. 14)

а)

Для упрощения данного выражения необходимо последовательно выполнить действия со степенями. Сначала преобразуем все части выражения к степеням с рациональными показателями, затем упростим числитель и знаменатель по отдельности, и в конце выполним деление.

Исходное выражение:

$$ \frac{(a^{-\frac{3}{7}})^{\frac{1}{2}} \cdot \sqrt[7]{a^5} \cdot b^{-0,2}}{(a^{-0,5} \cdot b^{\frac{3}{5}})^{-2}} $$

1. Представим все члены выражения в виде степеней с рациональными показателями:
- В числителе: $(a^{-\frac{3}{7}})^{\frac{1}{2}} = a^{-\frac{3}{7} \cdot \frac{1}{2}} = a^{-\frac{3}{14}}$;
- $\sqrt[7]{a^5} = a^{\frac{5}{7}}$;
- $b^{-0,2} = b^{-\frac{2}{10}} = b^{-\frac{1}{5}}$.
- В знаменателе: $a^{-0,5} = a^{-\frac{1}{2}}$.

2. Упростим числитель, используя правило умножения степеней с одинаковым основанием ($x^m \cdot x^n = x^{m+n}$):

$$ a^{-\frac{3}{14}} \cdot a^{\frac{5}{7}} \cdot b^{-\frac{1}{5}} = a^{-\frac{3}{14} + \frac{10}{14}} \cdot b^{-\frac{1}{5}} = a^{\frac{7}{14}} \cdot b^{-\frac{1}{5}} = a^{\frac{1}{2}} b^{-\frac{1}{5}} $$

3. Упростим знаменатель, используя правила возведения произведения в степень ($(xy)^n = x^n y^n$) и возведения степени в степень ($(x^m)^n = x^{mn}$):

$$ (a^{-\frac{1}{2}} \cdot b^{\frac{3}{5}})^{-2} = (a^{-\frac{1}{2}})^{-2} \cdot (b^{\frac{3}{5}})^{-2} = a^{-\frac{1}{2} \cdot (-2)} \cdot b^{\frac{3}{5} \cdot (-2)} = a^1 \cdot b^{-\frac{6}{5}} = ab^{-\frac{6}{5}} $$

4. Выполним деление числителя на знаменатель, используя правило деления степеней с одинаковым основанием ($\frac{x^m}{x^n} = x^{m-n}$):

$$ \frac{a^{\frac{1}{2}} b^{-\frac{1}{5}}}{a b^{-\frac{6}{5}}} = a^{\frac{1}{2}-1} \cdot b^{-\frac{1}{5}-(-\frac{6}{5})} = a^{-\frac{1}{2}} \cdot b^{-\frac{1}{5}+\frac{6}{5}} = a^{-\frac{1}{2}} \cdot b^{\frac{5}{5}} = a^{-\frac{1}{2}} b^1 = \frac{b}{a^{\frac{1}{2}}} = \frac{b}{\sqrt{a}} $$

Ответ: $\frac{b}{\sqrt{a}}$

б)

Для упрощения данного выражения сначала выполним действия в скобках (деление дробей), а затем возведем результат в куб. Для этого также представим все корни и десятичные дроби в виде рациональных показателей степени.

Исходное выражение:

$$ \left( \frac{a^{\frac{5}{2}}}{\sqrt[4]{a} \cdot b^2} : \frac{a^{-\frac{7}{4}} b^{\frac{5}{2}}}{b^{-1,5}} \right)^3 $$

1. Представим члены выражения в виде степеней с рациональными показателями:
- $\sqrt[4]{a} = a^{\frac{1}{4}}$;
- $b^{-1,5} = b^{-\frac{3}{2}}$.

2. Упростим каждую из дробей в скобках:
- Первая дробь: $\frac{a^{\frac{5}{2}}}{a^{\frac{1}{4}} b^2} = a^{\frac{5}{2}-\frac{1}{4}} b^{-2} = a^{\frac{10}{4}-\frac{1}{4}} b^{-2} = a^{\frac{9}{4}} b^{-2}$.
- Вторая дробь: $\frac{a^{-\frac{7}{4}} b^{\frac{5}{2}}}{b^{-\frac{3}{2}}} = a^{-\frac{7}{4}} b^{\frac{5}{2}-(-\frac{3}{2})} = a^{-\frac{7}{4}} b^{\frac{5}{2}+\frac{3}{2}} = a^{-\frac{7}{4}} b^{\frac{8}{2}} = a^{-\frac{7}{4}} b^4$.

3. Выполним деление полученных выражений. Деление можно заменить умножением на обратное выражение, либо вычесть показатели степеней с одинаковыми основаниями:

$$ (a^{\frac{9}{4}} b^{-2}) : (a^{-\frac{7}{4}} b^4) = \frac{a^{\frac{9}{4}} b^{-2}}{a^{-\frac{7}{4}} b^4} = a^{\frac{9}{4}-(-\frac{7}{4})} b^{-2-4} = a^{\frac{9}{4}+\frac{7}{4}} b^{-6} = a^{\frac{16}{4}} b^{-6} = a^4 b^{-6} $$

4. Возведем результат в третью степень:

$$ (a^4 b^{-6})^3 = (a^4)^3 (b^{-6})^3 = a^{4 \cdot 3} b^{-6 \cdot 3} = a^{12} b^{-18} = \frac{a^{12}}{b^{18}} $$

Ответ: $\frac{a^{12}}{b^{18}}$

Помогло решение? Оставьте отзыв в комментариях ниже.

Присоединяйтесь к Телеграм-группе @gdz_by_belarus

Присоединиться

Мы подготовили для вас ответ c подробным объяснением домашего задания по алгебре за 11 класс, для упражнения номер 1.16 расположенного на странице 14 к учебнику 2020 года издания для учащихся школ и гимназий.

Теперь на нашем сайте ГДЗ.ТОП вы всегда легко и бесплатно найдёте условие с правильным ответом на вопрос «Как решить ДЗ» и «Как сделать» задание по алгебре к упражнению №1.16 (с. 14), авторов: Арефьева (Ирина Глебовна), Пирютко (Ольга Николаевна), учебного пособия издательства Народная асвета.