Номер 1.9, страница 13 - гдз по алгебре 11 класс учебник Арефьева, Пирютко

Алгебра, 11 класс Учебник, авторы: Арефьева Ирина Глебовна, Пирютко Ольга Николаевна, издательство Народная асвета, Минск, 2020, бирюзового цвета

Авторы: Арефьева И. Г., Пирютко О. Н.

Тип: Учебник

Издательство: Народная асвета

Год издания: 2020 - 2026

Цвет обложки: бирюзовый, зелёный с графиком

ISBN: 978-985-03-3165-6

Популярные ГДЗ в 11 классе

Глава 1. Обобщение понятия степени. Параграф 1. Степень с рациональным показателем и ее свойства. Степень с действительным показателем - номер 1.9, страница 13.

№1.9 (с. 13)
Условие. №1.9 (с. 13)
скриншот условия
Алгебра, 11 класс Учебник, авторы: Арефьева Ирина Глебовна, Пирютко Ольга Николаевна, издательство Народная асвета, Минск, 2020, бирюзового цвета, страница 13, номер 1.9, Условие

1.9. Воспользуйтесь свойствами степени с рациональным показателем и найдите значение выражения:

а) $2^{\frac{1}{3}} \cdot 2^{-\frac{4}{3}};$

б) $5 \cdot 125^{-\frac{1}{3}};$

в) $(9^{0.7})^5 \cdot 27^{-\frac{4}{3}};$

г) $3^{\frac{1}{4}} : 3^{\frac{5}{4}};$

д) $5^{-\frac{1}{7}} : 25^{-\frac{4}{7}};$

е) $(7^{\frac{1}{3}})^{\frac{9}{4}} : 7^{-0.75};$

ж) $(\frac{5}{7})^{3.2} \cdot 1.4^{3.2};$

з) $(4 - \frac{1}{5})^{-30} : 0.2^6;$

и) $(27 \cdot 64)^{\frac{1}{3}};$

к) $(\frac{0.0625}{81})^{\frac{1}{4}};$

л) $(\frac{64}{0.027})^{-\frac{2}{3}};$

м) $(\frac{32}{0.00243})^{-0.6}.$

Решение. №1.9 (с. 13)
Алгебра, 11 класс Учебник, авторы: Арефьева Ирина Глебовна, Пирютко Ольга Николаевна, издательство Народная асвета, Минск, 2020, бирюзового цвета, страница 13, номер 1.9, Решение Алгебра, 11 класс Учебник, авторы: Арефьева Ирина Глебовна, Пирютко Ольга Николаевна, издательство Народная асвета, Минск, 2020, бирюзового цвета, страница 13, номер 1.9, Решение (продолжение 2)
Решение 2. №1.9 (с. 13)

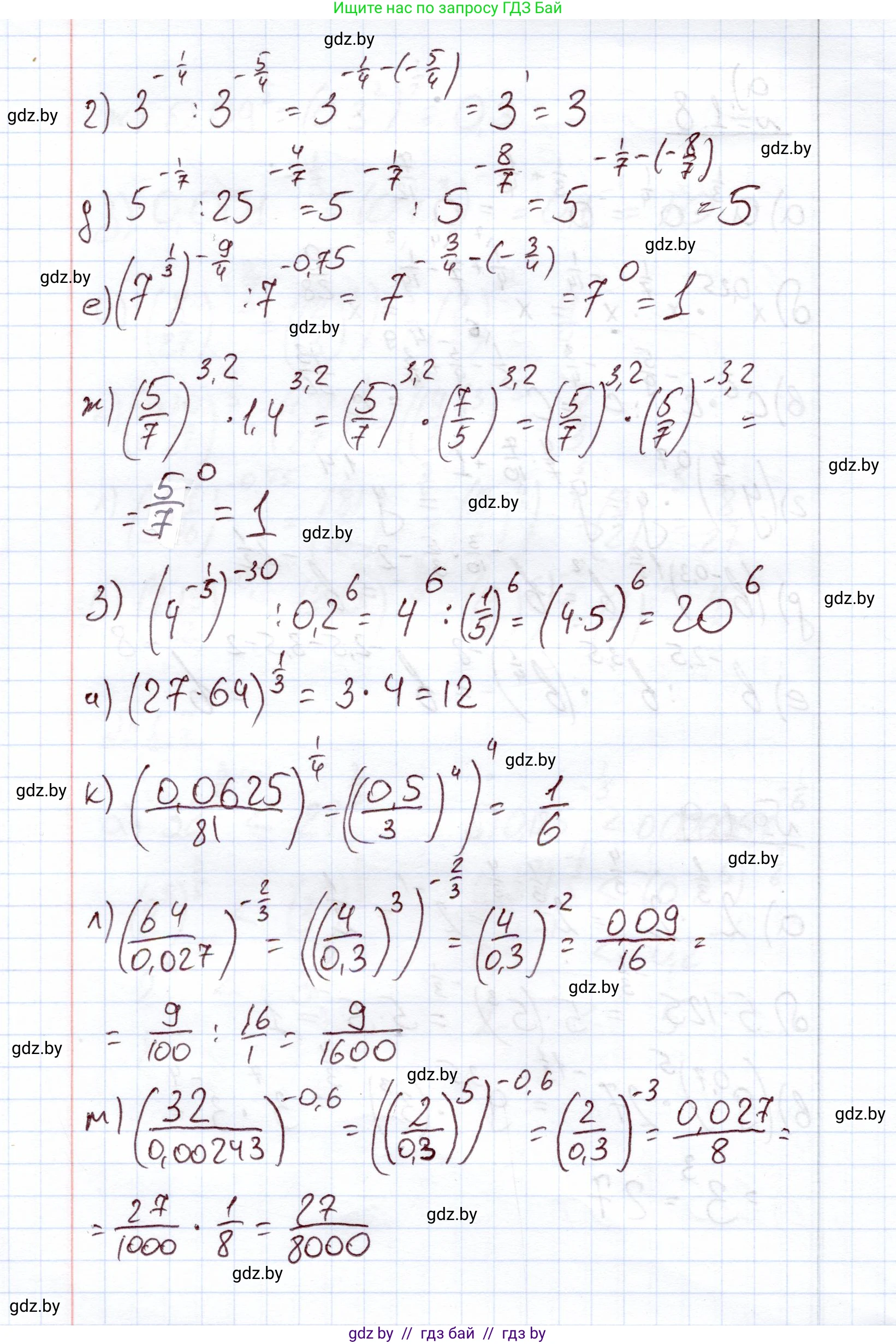
а) Для решения воспользуемся свойством умножения степеней с одинаковым основанием $a^m \cdot a^n = a^{m+n}$.
$2^{\frac{1}{3}} \cdot 2^{-\frac{4}{3}} = 2^{\frac{1}{3} + (-\frac{4}{3})} = 2^{\frac{1-4}{3}} = 2^{-\frac{3}{3}} = 2^{-1} = \frac{1}{2}$.
Ответ: $\frac{1}{2}$

б) Представим число 125 как степень числа 5: $125 = 5^3$. Затем воспользуемся свойствами степени $(a^m)^n = a^{m \cdot n}$ и $a^m \cdot a^n = a^{m+n}$.
$5 \cdot 125^{-\frac{1}{3}} = 5^1 \cdot (5^3)^{-\frac{1}{3}} = 5^1 \cdot 5^{3 \cdot (-\frac{1}{3})} = 5^1 \cdot 5^{-1} = 5^{1-1} = 5^0 = 1$.
Ответ: 1

в) Представим основания 9 и 27 как степени числа 3: $9 = 3^2$ и $27 = 3^3$. Затем применим свойства степени.
$(9^{0,7})^5 \cdot 27^{-\frac{1}{3}} = ((3^2)^{0,7})^5 \cdot (3^3)^{-\frac{1}{3}} = (3^{2 \cdot 0,7})^5 \cdot 3^{3 \cdot (-\frac{1}{3})} = (3^{1,4})^5 \cdot 3^{-1} = 3^{1,4 \cdot 5} \cdot 3^{-1} = 3^7 \cdot 3^{-1} = 3^{7-1} = 3^6 = 729$.
Ответ: 729

г) Для решения воспользуемся свойством деления степеней с одинаковым основанием $a^m : a^n = a^{m-n}$.
$3^{\frac{1}{4}} : 3^{\frac{5}{4}} = 3^{\frac{1}{4} - \frac{5}{4}} = 3^{-\frac{4}{4}} = 3^{-1} = \frac{1}{3}$.
Ответ: $\frac{1}{3}$

д) Представим число 25 как степень числа 5: $25 = 5^2$. Затем применим свойства степени.
$5^{-\frac{1}{7}} : 25^{-\frac{4}{7}} = 5^{-\frac{1}{7}} : (5^2)^{-\frac{4}{7}} = 5^{-\frac{1}{7}} : 5^{2 \cdot (-\frac{4}{7})} = 5^{-\frac{1}{7}} : 5^{-\frac{8}{7}} = 5^{-\frac{1}{7} - (-\frac{8}{7})} = 5^{-\frac{1}{7} + \frac{8}{7}} = 5^{\frac{7}{7}} = 5^1 = 5$.
Ответ: 5

е) Упростим первый множитель, используя свойство $(a^m)^n = a^{m \cdot n}$, и представим десятичную дробь в виде обыкновенной: $-0,75 = -\frac{3}{4}$.
$(7^{\frac{1}{3}})^{-\frac{9}{4}} = 7^{\frac{1}{3} \cdot (-\frac{9}{4})} = 7^{-\frac{9}{12}} = 7^{-\frac{3}{4}}$.
Выражение принимает вид: $7^{-\frac{3}{4}} : 7^{-\frac{3}{4}} = 7^{-\frac{3}{4} - (-\frac{3}{4})} = 7^0 = 1$.
Ответ: 1

ж) Воспользуемся свойством $a^m \cdot b^m = (a \cdot b)^m$. Представим $1,4$ в виде обыкновенной дроби: $1,4 = \frac{14}{10} = \frac{7}{5}$.
$(\frac{5}{7})^{3,2} \cdot 1,4^{3,2} = (\frac{5}{7} \cdot \frac{7}{5})^{3,2} = 1^{3,2} = 1$.
Ответ: 1

з) Упростим первый множитель и представим десятичную дробь $0,2$ в виде обыкновенной дроби $\frac{1}{5}$.
$(4^{-\frac{1}{5}})^{-30} = 4^{(-\frac{1}{5}) \cdot (-30)} = 4^6$.
Выражение принимает вид: $4^6 : (\frac{1}{5})^6$.
Используя свойство $a^m : b^m = (\frac{a}{b})^m$, получаем:
$(4 : \frac{1}{5})^6 = (4 \cdot 5)^6 = 20^6 = (2 \cdot 10)^6 = 2^6 \cdot 10^6 = 64 \cdot 1000000 = 64000000$.
Ответ: 64000000

и) Воспользуемся свойством $(a \cdot b)^m = a^m \cdot b^m$.
$(27 \cdot 64)^{\frac{1}{3}} = 27^{\frac{1}{3}} \cdot 64^{\frac{1}{3}} = \sqrt[3]{27} \cdot \sqrt[3]{64} = 3 \cdot 4 = 12$.
Ответ: 12

к) Воспользуемся свойством $(\frac{a}{b})^m = \frac{a^m}{b^m}$.
$(\frac{0,0625}{81})^{\frac{1}{4}} = \frac{0,0625^{\frac{1}{4}}}{81^{\frac{1}{4}}} = \frac{\sqrt[4]{0,0625}}{\sqrt[4]{81}}$.
Так как $0,5^4 = 0,0625$ и $3^4 = 81$, получаем:
$\frac{0,5}{3} = \frac{1/2}{3} = \frac{1}{6}$.
Ответ: $\frac{1}{6}$

л) Используем свойство $(\frac{a}{b})^{-m} = (\frac{b}{a})^m$ и $a^{\frac{p}{q}} = (\sqrt[q]{a})^p$.
$(\frac{64}{0,027})^{-\frac{2}{3}} = (\frac{0,027}{64})^{\frac{2}{3}} = \frac{0,027^{\frac{2}{3}}}{64^{\frac{2}{3}}} = \frac{(\sqrt[3]{0,027})^2}{(\sqrt[3]{64})^2}$.
Так как $\sqrt[3]{0,027} = 0,3$ и $\sqrt[3]{64} = 4$, получаем:
$\frac{0,3^2}{4^2} = \frac{0,09}{16} = \frac{9/100}{16} = \frac{9}{1600}$.
Ответ: $\frac{9}{1600}$

м) Представим показатель степени $-0,6$ в виде дроби $-\frac{3}{5}$. Представим основания 32 и 0,00243 в виде степеней: $32 = 2^5$ и $0,00243 = 243 \cdot 10^{-5} = 3^5 \cdot (10^{-1})^5 = 0,3^5$.
$(\frac{32}{0,00243})^{-0,6} = (\frac{2^5}{0,3^5})^{-\frac{3}{5}} = ((\frac{2}{0,3})^5)^{-\frac{3}{5}} = (\frac{2}{0,3})^{5 \cdot (-\frac{3}{5})} = (\frac{2}{0,3})^{-3} = (\frac{0,3}{2})^3 = \frac{0,3^3}{2^3} = \frac{0,027}{8} = \frac{27/1000}{8} = \frac{27}{8000}$.
Ответ: $\frac{27}{8000}$

Помогло решение? Оставьте отзыв в комментариях ниже.

Присоединяйтесь к Телеграм-группе @gdz_by_belarus

Присоединиться

Мы подготовили для вас ответ c подробным объяснением домашего задания по алгебре за 11 класс, для упражнения номер 1.9 расположенного на странице 13 к учебнику 2020 года издания для учащихся школ и гимназий.

Теперь на нашем сайте ГДЗ.ТОП вы всегда легко и бесплатно найдёте условие с правильным ответом на вопрос «Как решить ДЗ» и «Как сделать» задание по алгебре к упражнению №1.9 (с. 13), авторов: Арефьева (Ирина Глебовна), Пирютко (Ольга Николаевна), учебного пособия издательства Народная асвета.