Номер 1.4, страница 12 - гдз по алгебре 11 класс учебник Арефьева, Пирютко

Алгебра, 11 класс Учебник, авторы: Арефьева Ирина Глебовна, Пирютко Ольга Николаевна, издательство Народная асвета, Минск, 2020, бирюзового цвета

Авторы: Арефьева И. Г., Пирютко О. Н.

Тип: Учебник

Издательство: Народная асвета

Год издания: 2020 - 2026

Цвет обложки: бирюзовый, зелёный с графиком

ISBN: 978-985-03-3165-6

Популярные ГДЗ в 11 классе

Глава 1. Обобщение понятия степени. Параграф 1. Степень с рациональным показателем и ее свойства. Степень с действительным показателем - номер 1.4, страница 12.

№1.4 (с. 12)
Условие. №1.4 (с. 12)
скриншот условия
Алгебра, 11 класс Учебник, авторы: Арефьева Ирина Глебовна, Пирютко Ольга Николаевна, издательство Народная асвета, Минск, 2020, бирюзового цвета, страница 12, номер 1.4, Условие

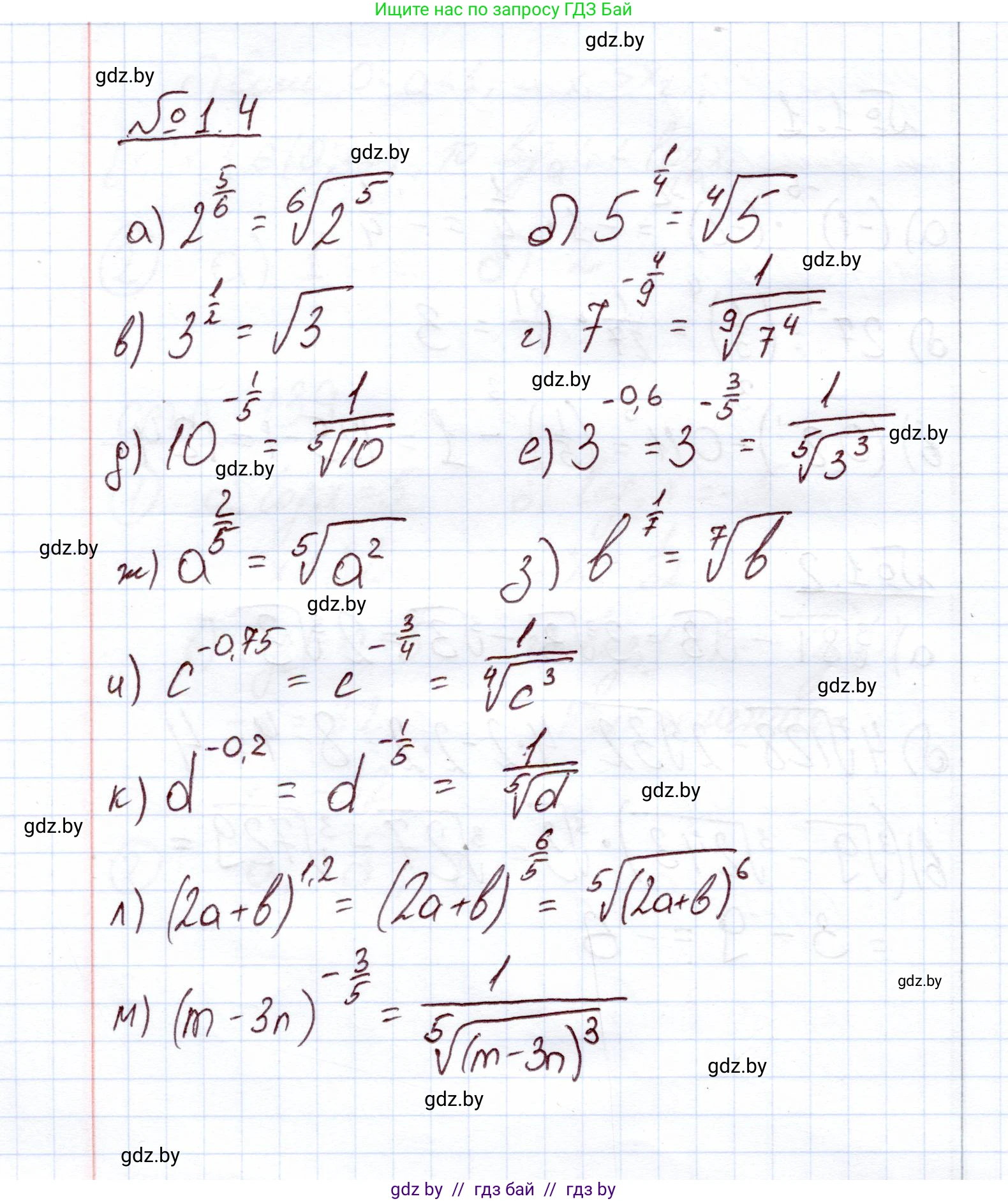
1.4. Воспользуйтесь определением степени с рациональным показателем и представьте в виде корня выражение:

а) $2^{\frac{5}{6}}$;

б) $5^{\frac{1}{4}}$;

в) $3^{\frac{1}{2}}$;

г) $7^{-\frac{4}{9}}$;

д) $10^{-\frac{1}{5}}$;

е) $3^{-0.6}$;

ж) $a^{\frac{2}{5}}$;

з) $b^{\frac{1}{7}}$;

и) $c^{-0.75}$;

к) $d^{-0.2}$;

л) $(2a+b)^{1.2}$;

м) $(m-3n)^{-\frac{3}{5}}$.

Решение. №1.4 (с. 12)
Алгебра, 11 класс Учебник, авторы: Арефьева Ирина Глебовна, Пирютко Ольга Николаевна, издательство Народная асвета, Минск, 2020, бирюзового цвета, страница 12, номер 1.4, Решение
Решение 2. №1.4 (с. 12)

Для решения данной задачи используется определение степени с рациональным показателем. Для любого неотрицательного числа $a$ и рационального числа $p = \frac{m}{n}$ (где $m$ — целое число, а $n$ — натуральное, $n \ge 2$) степень $a^p$ определяется как:$a^{\frac{m}{n}} = \sqrt[n]{a^m}$

Если показатель степени отрицательный, то используется свойство $a^{-p} = \frac{1}{a^p}$ (для $a > 0$). Если показатель степени представлен в виде десятичной дроби, его необходимо предварительно преобразовать в обыкновенную дробь.

а) По определению степени с рациональным показателем $a^{\frac{m}{n}} = \sqrt[n]{a^m}$. В данном случае основание $a = 2$, числитель показателя $m = 5$, знаменатель показателя $n = 6$. Следовательно, $2^{\frac{5}{6}} = \sqrt[6]{2^5} = \sqrt[6]{32}$.
Ответ: $\sqrt[6]{32}$

б) Используем ту же формулу $a^{\frac{m}{n}} = \sqrt[n]{a^m}$. Здесь $a = 5$, $m = 1$, $n = 4$. Получаем: $5^{\frac{1}{4}} = \sqrt[4]{5^1} = \sqrt[4]{5}$.
Ответ: $\sqrt[4]{5}$

в) Применяем определение степени. Здесь $a = 3$, $m = 1$, $n = 2$. Получаем: $3^{\frac{1}{2}} = \sqrt[2]{3^1} = \sqrt{3}$. (Показатель корня 2, т.е. квадратный корень, принято не писать).
Ответ: $\sqrt{3}$

г) Сначала воспользуемся определением степени с отрицательным показателем $a^{-p} = \frac{1}{a^p}$.$7^{-\frac{4}{9}} = \frac{1}{7^{\frac{4}{9}}}$. Теперь представим знаменатель в виде корня, где $a=7, m=4, n=9$: $7^{\frac{4}{9}} = \sqrt[9]{7^4}$. Таким образом, $7^{-\frac{4}{9}} = \frac{1}{\sqrt[9]{7^4}}$.
Ответ: $\frac{1}{\sqrt[9]{7^4}}$

д) Используем свойство степени с отрицательным показателем:$10^{-\frac{1}{5}} = \frac{1}{10^{\frac{1}{5}}}$. Затем преобразуем степень с рациональным показателем в корень: $10^{\frac{1}{5}} = \sqrt[5]{10^1} = \sqrt[5]{10}$. В итоге получаем: $10^{-\frac{1}{5}} = \frac{1}{\sqrt[5]{10}}$.
Ответ: $\frac{1}{\sqrt[5]{10}}$

е) Сначала преобразуем десятичную дробь в обыкновенную: $-0,6 = -\frac{6}{10} = -\frac{3}{5}$. Теперь выражение имеет вид $3^{-\frac{3}{5}}$. Применим свойство степени с отрицательным показателем: $3^{-\frac{3}{5}} = \frac{1}{3^{\frac{3}{5}}}$. Преобразуем знаменатель в корень: $3^{\frac{3}{5}} = \sqrt[5]{3^3} = \sqrt[5]{27}$. Итоговый результат: $3^{-0,6} = \frac{1}{\sqrt[5]{27}}$.
Ответ: $\frac{1}{\sqrt[5]{27}}$

ж) По определению степени с рациональным показателем $x^{\frac{m}{n}} = \sqrt[n]{x^m}$. В данном случае основание $x = a$, числитель показателя $m = 2$, знаменатель $n = 5$. Следовательно, $a^{\frac{2}{5}} = \sqrt[5]{a^2}$.
Ответ: $\sqrt[5]{a^2}$

з) Применяем определение степени. Здесь основание - $b$, показатель - $\frac{1}{7}$. Получаем: $b^{\frac{1}{7}} = \sqrt[7]{b^1} = \sqrt[7]{b}$.
Ответ: $\sqrt[7]{b}$

и) Преобразуем показатель степени в обыкновенную дробь: $-0,75 = -\frac{75}{100} = -\frac{3}{4}$. Выражение принимает вид $c^{-\frac{3}{4}}$. Используем свойство степени с отрицательным показателем: $c^{-\frac{3}{4}} = \frac{1}{c^{\frac{3}{4}}}$. Преобразуем знаменатель в корень: $c^{\frac{3}{4}} = \sqrt[4]{c^3}$. Таким образом, $c^{-0,75} = \frac{1}{\sqrt[4]{c^3}}$.
Ответ: $\frac{1}{\sqrt[4]{c^3}}$

к) Преобразуем десятичный показатель в дробный: $-0,2 = -\frac{2}{10} = -\frac{1}{5}$. Получаем выражение $d^{-\frac{1}{5}}$. Используя свойство отрицательной степени и определение степени с рациональным показателем, имеем:$d^{-\frac{1}{5}} = \frac{1}{d^{\frac{1}{5}}} = \frac{1}{\sqrt[5]{d}}$.
Ответ: $\frac{1}{\sqrt[5]{d}}$

л) Преобразуем показатель степени в обыкновенную дробь: $1,2 = \frac{12}{10} = \frac{6}{5}$. Выражение принимает вид $(2a+b)^{\frac{6}{5}}$. По определению степени с рациональным показателем: $(2a+b)^{\frac{6}{5}} = \sqrt[5]{(2a+b)^6}$.
Ответ: $\sqrt[5]{(2a+b)^6}$

м) В данном выражении степень с отрицательным рациональным показателем. Сначала избавляемся от минуса в показателе: $(m-3n)^{-\frac{3}{5}} = \frac{1}{(m-3n)^{\frac{3}{5}}}$. Теперь преобразуем знаменатель в корень: $(m-3n)^{\frac{3}{5}} = \sqrt[5]{(m-3n)^3}$. Итоговый результат: $\frac{1}{\sqrt[5]{(m-3n)^3}}$.
Ответ: $\frac{1}{\sqrt[5]{(m-3n)^3}}$

Помогло решение? Оставьте отзыв в комментариях ниже.

Присоединяйтесь к Телеграм-группе @gdz_by_belarus

Присоединиться

Мы подготовили для вас ответ c подробным объяснением домашего задания по алгебре за 11 класс, для упражнения номер 1.4 расположенного на странице 12 к учебнику 2020 года издания для учащихся школ и гимназий.

Теперь на нашем сайте ГДЗ.ТОП вы всегда легко и бесплатно найдёте условие с правильным ответом на вопрос «Как решить ДЗ» и «Как сделать» задание по алгебре к упражнению №1.4 (с. 12), авторов: Арефьева (Ирина Глебовна), Пирютко (Ольга Николаевна), учебного пособия издательства Народная асвета.