Номер 1.6, страница 12 - гдз по алгебре 11 класс учебник Арефьева, Пирютко

Алгебра, 11 класс Учебник, авторы: Арефьева Ирина Глебовна, Пирютко Ольга Николаевна, издательство Народная асвета, Минск, 2020, бирюзового цвета

Авторы: Арефьева И. Г., Пирютко О. Н.

Тип: Учебник

Издательство: Народная асвета

Год издания: 2020 - 2026

Цвет обложки: бирюзовый, зелёный с графиком

ISBN: 978-985-03-3165-6

Популярные ГДЗ в 11 классе

Глава 1. Обобщение понятия степени. Параграф 1. Степень с рациональным показателем и ее свойства. Степень с действительным показателем - номер 1.6, страница 12.

№1.6 (с. 12)
Условие. №1.6 (с. 12)
скриншот условия
Алгебра, 11 класс Учебник, авторы: Арефьева Ирина Глебовна, Пирютко Ольга Николаевна, издательство Народная асвета, Минск, 2020, бирюзового цвета, страница 12, номер 1.6, Условие

1.6. Вычислите значение выражения, используя определение степени с рациональным показателем:

а) $64^{\frac{1}{3}};$

б) $16^{-\frac{1}{4}};$

в) $32^{\frac{2}{5}};$

г) $125^{-\frac{2}{3}};$

д) $64^{\frac{2}{3}};$

е) $625^{-\frac{3}{4}};$

ж) $0,09^{\frac{1}{2}};$

з) $0,001^{-\frac{1}{3}};$

и) $\left(\frac{8}{27}\right)^{-\frac{2}{3}};$

к) $\left(2\frac{10}{27}\right)^{\frac{1}{3}};$

л) $\left(5\frac{1}{16}\right)^{-0,75};$

м) $\left(7\frac{19}{32}\right)^{-0,4}.$

Решение. №1.6 (с. 12)
Алгебра, 11 класс Учебник, авторы: Арефьева Ирина Глебовна, Пирютко Ольга Николаевна, издательство Народная асвета, Минск, 2020, бирюзового цвета, страница 12, номер 1.6, Решение Алгебра, 11 класс Учебник, авторы: Арефьева Ирина Глебовна, Пирютко Ольга Николаевна, издательство Народная асвета, Минск, 2020, бирюзового цвета, страница 12, номер 1.6, Решение (продолжение 2)
Решение 2. №1.6 (с. 12)

а) $64^{\frac{1}{3}}$

По определению степени с рациональным показателем $a^{\frac{m}{n}} = \sqrt[n]{a^m}$. В данном случае $a=64$, $m=1$, $n=3$.

$64^{\frac{1}{3}} = \sqrt[3]{64^1} = \sqrt[3]{64}$.

Так как $4^3 = 4 \cdot 4 \cdot 4 = 64$, то корень третьей степени из 64 равен 4.

$\sqrt[3]{64} = 4$.

Ответ: 4.

б) $16^{-\frac{1}{4}}$

Используем свойство степени с отрицательным показателем $a^{-p} = \frac{1}{a^p}$:

$16^{-\frac{1}{4}} = \frac{1}{16^{\frac{1}{4}}}$.

Далее, по определению степени с рациональным показателем, $16^{\frac{1}{4}} = \sqrt[4]{16}$.

Так как $2^4 = 16$, то $\sqrt[4]{16} = 2$.

Следовательно, $16^{-\frac{1}{4}} = \frac{1}{2}$.

Ответ: $\frac{1}{2}$.

в) $32^{\frac{2}{5}}$

По определению степени с рациональным показателем, $a^{\frac{m}{n}} = (\sqrt[n]{a})^m$.

$32^{\frac{2}{5}} = (\sqrt[5]{32})^2$.

Находим корень пятой степени из 32. Так как $2^5 = 32$, то $\sqrt[5]{32} = 2$.

Подставляем найденное значение обратно в выражение: $2^2 = 4$.

Ответ: 4.

г) $125^{-\frac{2}{3}}$

Сначала применяем свойство степени с отрицательным показателем: $125^{-\frac{2}{3}} = \frac{1}{125^{\frac{2}{3}}}$.

Теперь вычисляем знаменатель. По определению $a^{\frac{m}{n}} = (\sqrt[n]{a})^m$:

$125^{\frac{2}{3}} = (\sqrt[3]{125})^2$.

Так как $5^3 = 125$, то $\sqrt[3]{125} = 5$.

Тогда $(\sqrt[3]{125})^2 = 5^2 = 25$.

Таким образом, $125^{-\frac{2}{3}} = \frac{1}{25}$.

Ответ: $\frac{1}{25}$.

д) $64^{\frac{2}{3}}$

Используя определение $a^{\frac{m}{n}} = (\sqrt[n]{a})^m$, получаем:

$64^{\frac{2}{3}} = (\sqrt[3]{64})^2$.

Так как $4^3 = 64$, то $\sqrt[3]{64} = 4$.

Возводим результат в квадрат: $4^2 = 16$.

Ответ: 16.

е) $625^{-\frac{3}{4}}$

Используем свойство $a^{-p} = \frac{1}{a^p}$: $625^{-\frac{3}{4}} = \frac{1}{625^{\frac{3}{4}}}$.

Вычислим знаменатель по определению $a^{\frac{m}{n}} = (\sqrt[n]{a})^m$:

$625^{\frac{3}{4}} = (\sqrt[4]{625})^3$.

Так как $5^4 = 625$, то $\sqrt[4]{625} = 5$.

Подставляем значение: $5^3 = 125$.

Следовательно, $625^{-\frac{3}{4}} = \frac{1}{125}$.

Ответ: $\frac{1}{125}$.

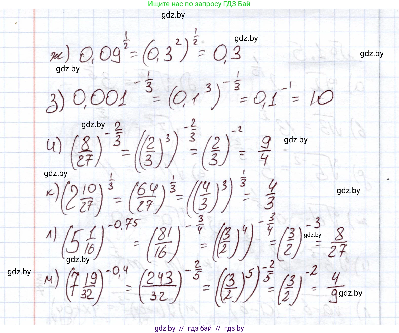
ж) $0,09^{\frac{1}{2}}$

Представим десятичную дробь 0,09 в виде обыкновенной дроби: $0,09 = \frac{9}{100}$.

$0,09^{\frac{1}{2}} = (\frac{9}{100})^{\frac{1}{2}}$.

По свойству степени дроби $(\frac{a}{b})^p = \frac{a^p}{b^p}$: $(\frac{9}{100})^{\frac{1}{2}} = \frac{9^{\frac{1}{2}}}{100^{\frac{1}{2}}} = \frac{\sqrt{9}}{\sqrt{100}} = \frac{3}{10} = 0,3$.

Ответ: 0,3.

з) $0,001^{-\frac{1}{3}}$

Представим 0,001 в виде обыкновенной дроби: $0,001 = \frac{1}{1000}$.

$0,001^{-\frac{1}{3}} = (\frac{1}{1000})^{-\frac{1}{3}}$.

Используем свойство $(\frac{a}{b})^{-p} = (\frac{b}{a})^p$: $(\frac{1}{1000})^{-\frac{1}{3}} = (1000)^{\frac{1}{3}} = \sqrt[3]{1000}$.

Так как $10^3 = 1000$, то $\sqrt[3]{1000} = 10$.

Ответ: 10.

и) $(\frac{8}{27})^{-\frac{2}{3}}$

Используем свойство $(\frac{a}{b})^{-p} = (\frac{b}{a})^p$: $(\frac{8}{27})^{-\frac{2}{3}} = (\frac{27}{8})^{\frac{2}{3}}$.

Теперь используем свойство $(\frac{a}{b})^p = \frac{a^p}{b^p}$: $(\frac{27}{8})^{\frac{2}{3}} = \frac{27^{\frac{2}{3}}}{8^{\frac{2}{3}}}$.

Вычисляем числитель: $27^{\frac{2}{3}} = (\sqrt[3]{27})^2 = 3^2 = 9$.

Вычисляем знаменатель: $8^{\frac{2}{3}} = (\sqrt[3]{8})^2 = 2^2 = 4$.

Результат: $\frac{9}{4}$.

Ответ: $\frac{9}{4}$.

к) $(2\frac{10}{27})^{\frac{1}{3}}$

Сначала преобразуем смешанное число в неправильную дробь:

$2\frac{10}{27} = \frac{2 \cdot 27 + 10}{27} = \frac{54 + 10}{27} = \frac{64}{27}$.

Теперь вычислим значение выражения:

$(\frac{64}{27})^{\frac{1}{3}} = \frac{64^{\frac{1}{3}}}{27^{\frac{1}{3}}} = \frac{\sqrt[3]{64}}{\sqrt[3]{27}}$.

Так как $4^3 = 64$ и $3^3 = 27$, получаем $\frac{4}{3}$.

Ответ: $\frac{4}{3}$.

л) $(5\frac{1}{16})^{-0,75}$

Сначала преобразуем основание и показатель степени.

Основание: $5\frac{1}{16} = \frac{5 \cdot 16 + 1}{16} = \frac{81}{16}$.

Показатель: $-0,75 = -\frac{75}{100} = -\frac{3}{4}$.

Выражение принимает вид: $(\frac{81}{16})^{-\frac{3}{4}}$.

Применяем свойство степени с отрицательным показателем: $(\frac{81}{16})^{-\frac{3}{4}} = (\frac{16}{81})^{\frac{3}{4}}$.

Далее, $(\frac{16}{81})^{\frac{3}{4}} = \frac{16^{\frac{3}{4}}}{81^{\frac{3}{4}}} = \frac{(\sqrt[4]{16})^3}{(\sqrt[4]{81})^3}$.

Так как $2^4 = 16$ и $3^4 = 81$, то $\sqrt[4]{16} = 2$ и $\sqrt[4]{81} = 3$.

Подставляем значения: $\frac{2^3}{3^3} = \frac{8}{27}$.

Ответ: $\frac{8}{27}$.

м) $(7\frac{19}{32})^{-0,4}$

Преобразуем основание и показатель степени.

Основание: $7\frac{19}{32} = \frac{7 \cdot 32 + 19}{32} = \frac{224 + 19}{32} = \frac{243}{32}$.

Показатель: $-0,4 = -\frac{4}{10} = -\frac{2}{5}$.

Выражение принимает вид: $(\frac{243}{32})^{-\frac{2}{5}}$.

Применяем свойство степени с отрицательным показателем: $(\frac{243}{32})^{-\frac{2}{5}} = (\frac{32}{243})^{\frac{2}{5}}$.

Вычисляем: $(\frac{32}{243})^{\frac{2}{5}} = \frac{32^{\frac{2}{5}}}{243^{\frac{2}{5}}} = \frac{(\sqrt[5]{32})^2}{(\sqrt[5]{243})^2}$.

Так как $2^5 = 32$ и $3^5 = 243$, то $\sqrt[5]{32} = 2$ и $\sqrt[5]{243} = 3$.

Подставляем значения: $\frac{2^2}{3^2} = \frac{4}{9}$.

Ответ: $\frac{4}{9}$.

Помогло решение? Оставьте отзыв в комментариях ниже.

Присоединяйтесь к Телеграм-группе @gdz_by_belarus

Присоединиться

Мы подготовили для вас ответ c подробным объяснением домашего задания по алгебре за 11 класс, для упражнения номер 1.6 расположенного на странице 12 к учебнику 2020 года издания для учащихся школ и гимназий.

Теперь на нашем сайте ГДЗ.ТОП вы всегда легко и бесплатно найдёте условие с правильным ответом на вопрос «Как решить ДЗ» и «Как сделать» задание по алгебре к упражнению №1.6 (с. 12), авторов: Арефьева (Ирина Глебовна), Пирютко (Ольга Николаевна), учебного пособия издательства Народная асвета.