Номер 225, страница 193 - гдз по алгебре 11 класс учебник Арефьева, Пирютко

Алгебра, 11 класс Учебник, авторы: Арефьева Ирина Глебовна, Пирютко Ольга Николаевна, издательство Народная асвета, Минск, 2020, бирюзового цвета

Авторы: Арефьева И. Г., Пирютко О. Н.

Тип: Учебник

Издательство: Народная асвета

Год издания: 2020 - 2026

Цвет обложки: бирюзовый, зелёный с графиком

ISBN: 978-985-03-3165-6

Популярные ГДЗ в 11 классе

Упражнения для итогового повторения. Выражения и их преобразования - номер 225, страница 193.

№225 (с. 193)
Условие. №225 (с. 193)
скриншот условия
Алгебра, 11 класс Учебник, авторы: Арефьева Ирина Глебовна, Пирютко Ольга Николаевна, издательство Народная асвета, Минск, 2020, бирюзового цвета, страница 193, номер 225, Условие

225. Решите уравнение:

а) $\sqrt{2x - 9} = \sqrt{6 - x}$;

б) $\sqrt[4]{x + 2} = \sqrt[4]{2x - 5}$;

в) $\sqrt{x^2 + x - 3} = \sqrt{1 - 2x}$;

г) $\sqrt{6x^2 - 3x - 1} - \sqrt{2x - 1} = 0$;

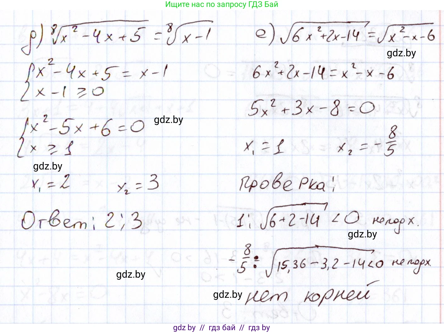
д) $\sqrt[8]{x^2 - 4x + 5} = \sqrt[8]{x - 1}$;

е) $\sqrt{6x^2 + 2x - 14} = \sqrt{x^2 - x - 6}$.

Решение. №225 (с. 193)
Алгебра, 11 класс Учебник, авторы: Арефьева Ирина Глебовна, Пирютко Ольга Николаевна, издательство Народная асвета, Минск, 2020, бирюзового цвета, страница 193, номер 225, Решение Алгебра, 11 класс Учебник, авторы: Арефьева Ирина Глебовна, Пирютко Ольга Николаевна, издательство Народная асвета, Минск, 2020, бирюзового цвета, страница 193, номер 225, Решение (продолжение 2)
Решение 2. №225 (с. 193)

а) $\sqrt{2x - 9} = \sqrt{6 - x}$

Уравнение вида $\sqrt{f(x)} = \sqrt{g(x)}$ равносильно системе, в которой подкоренные выражения равны, и одно из них (а значит, и оба) неотрицательно. Запишем систему:

$\begin{cases}2x - 9 = 6 - x, \\6 - x \ge 0.\end{cases}$

Решим первое уравнение системы:

$2x + x = 6 + 9$

$3x = 15$

$x = 5$

Теперь проверим, удовлетворяет ли найденный корень второму условию системы (неравенству):

$6 - 5 \ge 0$

$1 \ge 0$

Условие выполняется. Следовательно, $x=5$ является корнем исходного уравнения.

Ответ: $5$.

б) $\sqrt[4]{x + 2} = \sqrt[4]{2x - 5}$

Так как корень четной степени, уравнение равносильно системе:

$\begin{cases}x + 2 = 2x - 5, \\x + 2 \ge 0.\end{cases}$

Решим уравнение из системы:

$2 + 5 = 2x - x$

$x = 7$

Проверим выполнение неравенства для $x=7$:

$7 + 2 = 9 \ge 0$

Условие выполняется. Также необходимо, чтобы второе подкоренное выражение было неотрицательно: $2x-5 = 2(7)-5 = 14-5 = 9 \ge 0$. Условие также выполняется. Значит, $x=7$ является корнем уравнения.

Ответ: $7$.

в) $\sqrt{x^2 + x - 3} = \sqrt{1 - 2x}$

Уравнение равносильно системе:

$\begin{cases}x^2 + x - 3 = 1 - 2x, \\1 - 2x \ge 0.\end{cases}$

Из второго неравенства системы находим область допустимых значений:

$1 \ge 2x \implies x \le 0.5$

Решим первое уравнение системы:

$x^2 + x + 2x - 3 - 1 = 0$

$x^2 + 3x - 4 = 0$

По теореме Виета, корни уравнения: $x_1 = 1$ и $x_2 = -4$.

Проверим найденные корни на соответствие условию $x \le 0.5$.

Корень $x_1 = 1$ не удовлетворяет условию $1 \le 0.5$, поэтому является посторонним.

Корень $x_2 = -4$ удовлетворяет условию $-4 \le 0.5$. Это решение.

Ответ: $-4$.

г) $\sqrt{6x^2 - 3x - 1} - \sqrt{2x - 1} = 0$

Перенесем второй корень в правую часть уравнения:

$\sqrt{6x^2 - 3x - 1} = \sqrt{2x - 1}$

Это уравнение равносильно системе:

$\begin{cases}6x^2 - 3x - 1 = 2x - 1, \\2x - 1 \ge 0.\end{cases}$

Из неравенства получаем $2x \ge 1 \implies x \ge 0.5$.

Решим уравнение системы:

$6x^2 - 3x - 2x - 1 + 1 = 0$

$6x^2 - 5x = 0$

$x(6x - 5) = 0$

Отсюда получаем два возможных корня: $x_1 = 0$ и $x_2 = \frac{5}{6}$.

Проверим корни на соответствие условию $x \ge 0.5$.

Корень $x_1 = 0$ не удовлетворяет условию $0 \ge 0.5$, значит, это посторонний корень.

Корень $x_2 = \frac{5}{6}$ удовлетворяет условию, так как $\frac{5}{6} \approx 0.83 > 0.5$.

Следовательно, уравнение имеет единственный корень $x = \frac{5}{6}$.

Ответ: $\frac{5}{6}$.

д) $\sqrt[8]{x^2 - 4x + 5} = \sqrt[8]{x - 1}$

Так как корень четной степени, уравнение равносильно системе:

$\begin{cases}x^2 - 4x + 5 = x - 1, \\x - 1 \ge 0.\end{cases}$

Из неравенства получаем условие $x \ge 1$.

Решим уравнение системы:

$x^2 - 4x - x + 5 + 1 = 0$

$x^2 - 5x + 6 = 0$

По теореме Виета, корни этого квадратного уравнения: $x_1 = 2$ и $x_2 = 3$.

Проверим оба корня на соответствие условию $x \ge 1$.

Корень $x_1 = 2$ удовлетворяет условию $2 \ge 1$.

Корень $x_2 = 3$ удовлетворяет условию $3 \ge 1$.

Оба корня являются решениями исходного уравнения.

Ответ: $2; 3$.

е) $\sqrt{6x^2 + 2x - 14} = \sqrt{x^2 - x - 6}$

Уравнение равносильно системе:

$\begin{cases}6x^2 + 2x - 14 = x^2 - x - 6, \\x^2 - x - 6 \ge 0.\end{cases}$

Сначала решим уравнение:

$6x^2 - x^2 + 2x + x - 14 + 6 = 0$

$5x^2 + 3x - 8 = 0$

Найдем дискриминант: $D = 3^2 - 4 \cdot 5 \cdot (-8) = 9 + 160 = 169 = 13^2$.

Найдем корни:

$x_1 = \frac{-3 - 13}{2 \cdot 5} = \frac{-16}{10} = -1.6$

$x_2 = \frac{-3 + 13}{2 \cdot 5} = \frac{10}{10} = 1$

Теперь решим неравенство из системы, чтобы определить область допустимых значений:

$x^2 - x - 6 \ge 0$

Найдем корни соответствующего уравнения $x^2 - x - 6 = 0$. По теореме Виета, $x_1 = -2, x_2 = 3$.

Так как это парабола с ветвями вверх, неравенство выполняется при $x \in (-\infty, -2] \cup [3, \infty)$.

Проверим, принадлежат ли найденные корни $x_1 = -1.6$ и $x_2 = 1$ этой области.

Корень $x_1 = -1.6$ не принадлежит области $(-\infty, -2] \cup [3, \infty)$, так как $-2 < -1.6 < 3$.

Корень $x_2 = 1$ не принадлежит области $(-\infty, -2] \cup [3, \infty)$, так как $-2 < 1 < 3$.

Поскольку ни один из корней уравнения не удовлетворяет области допустимых значений, исходное уравнение не имеет решений.

Ответ: нет корней.

Помогло решение? Оставьте отзыв в комментариях ниже.

Присоединяйтесь к Телеграм-группе @gdz_by_belarus

Присоединиться

Мы подготовили для вас ответ c подробным объяснением домашего задания по алгебре за 11 класс, для упражнения номер 225 расположенного на странице 193 к учебнику 2020 года издания для учащихся школ и гимназий.

Теперь на нашем сайте ГДЗ.ТОП вы всегда легко и бесплатно найдёте условие с правильным ответом на вопрос «Как решить ДЗ» и «Как сделать» задание по алгебре к упражнению №225 (с. 193), авторов: Арефьева (Ирина Глебовна), Пирютко (Ольга Николаевна), учебного пособия издательства Народная асвета.