Номер 231, страница 194 - гдз по алгебре 11 класс учебник Арефьева, Пирютко

Алгебра, 11 класс Учебник, авторы: Арефьева Ирина Глебовна, Пирютко Ольга Николаевна, издательство Народная асвета, Минск, 2020, бирюзового цвета

Авторы: Арефьева И. Г., Пирютко О. Н.

Тип: Учебник

Издательство: Народная асвета

Год издания: 2020 - 2026

Цвет обложки: бирюзовый, зелёный с графиком

ISBN: 978-985-03-3165-6

Популярные ГДЗ в 11 классе

Упражнения для итогового повторения. Выражения и их преобразования - номер 231, страница 194.

№231 (с. 194)
Условие. №231 (с. 194)
скриншот условия
Алгебра, 11 класс Учебник, авторы: Арефьева Ирина Глебовна, Пирютко Ольга Николаевна, издательство Народная асвета, Минск, 2020, бирюзового цвета, страница 194, номер 231, Условие

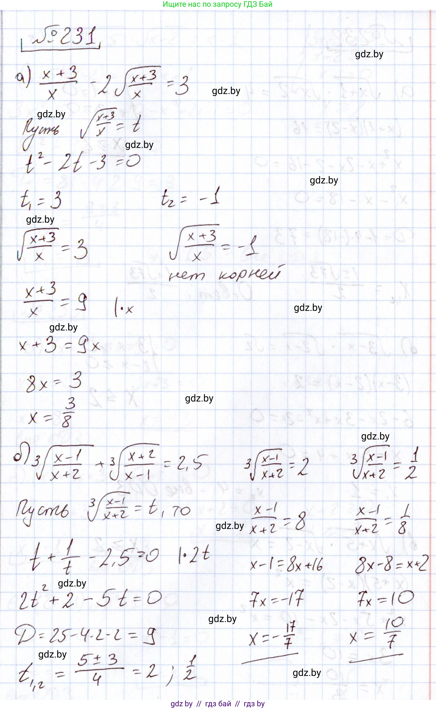
231. Найдите корни уравнения:

a) $ \frac{x+3}{x} - 2\sqrt{\frac{x+3}{x}} = 3; $

б) $ \sqrt[3]{\frac{x-1}{x+2}} + \sqrt[3]{\frac{x+2}{x-1}} = 2.5. $

Решение. №231 (с. 194)
Алгебра, 11 класс Учебник, авторы: Арефьева Ирина Глебовна, Пирютко Ольга Николаевна, издательство Народная асвета, Минск, 2020, бирюзового цвета, страница 194, номер 231, Решение
Решение 2. №231 (с. 194)

а) $\frac{x+3}{x} - 2\sqrt{\frac{x+3}{x}} = 3$

Сначала найдем область допустимых значений (ОДЗ). Выражение под корнем должно быть неотрицательным, а знаменатель не должен быть равен нулю.

$\frac{x+3}{x} \ge 0$ и $x \neq 0$.

Решая неравенство методом интервалов, находим нули числителя ($x=-3$) и знаменателя ($x=0$). Эти точки разбивают числовую прямую на интервалы $(-\infty, -3]$, $(-3, 0)$ и $(0, +\infty)$. Проверяя знак дроби на каждом интервале, получаем, что ОДЗ: $x \in (-\infty, -3] \cup (0, +\infty)$.

Для решения уравнения введем замену переменной. Пусть $t = \sqrt{\frac{x+3}{x}}$. Так как $t$ - это арифметический квадратный корень, то $t \ge 0$.

Тогда исходное уравнение можно переписать в виде:

$t^2 - 2t = 3$

Перенесем все члены в левую часть, чтобы получить квадратное уравнение:

$t^2 - 2t - 3 = 0$

Найдем корни этого уравнения, например, по теореме Виета:

$t_1 + t_2 = 2$

$t_1 \cdot t_2 = -3$

Корни: $t_1 = 3$ и $t_2 = -1$.

Согласно условию $t \ge 0$, корень $t_2 = -1$ является посторонним. Таким образом, у нас остается только один корень $t = 3$.

Выполним обратную замену:

$\sqrt{\frac{x+3}{x}} = 3$

Возведем обе части уравнения в квадрат:

$\frac{x+3}{x} = 9$

Решим полученное уравнение:

$x+3 = 9x$

$8x = 3$

$x = \frac{3}{8}$

Проверим, удовлетворяет ли найденный корень ОДЗ. $x = \frac{3}{8}$ принадлежит интервалу $(0, +\infty)$, следовательно, является корнем исходного уравнения.

Ответ: $\frac{3}{8}$.

б) $\sqrt[3]{\frac{x-1}{x+2}} + \sqrt[3]{\frac{x+2}{x-1}} = 2,5$

Найдем ОДЗ. Знаменатели дробей под кубическими корнями не должны быть равны нулю:

$x+2 \neq 0 \implies x \neq -2$

$x-1 \neq 0 \implies x \neq 1$

Заметим, что второе слагаемое является обратным к первому. Введем замену переменной. Пусть $y = \sqrt[3]{\frac{x-1}{x+2}}$.

Тогда $\sqrt[3]{\frac{x+2}{x-1}} = \frac{1}{y}$. Уравнение принимает вид:

$y + \frac{1}{y} = 2,5$

Представим 2,5 в виде дроби $\frac{5}{2}$ и решим уравнение относительно $y$ (при условии, что $y \neq 0$):

$y + \frac{1}{y} = \frac{5}{2}$

Умножим обе части на $2y$:

$2y^2 + 2 = 5y$

$2y^2 - 5y + 2 = 0$

Решим это квадратное уравнение. Дискриминант $D = b^2 - 4ac = (-5)^2 - 4 \cdot 2 \cdot 2 = 25 - 16 = 9$.

Корни для $y$:

$y_1 = \frac{-b + \sqrt{D}}{2a} = \frac{5 + \sqrt{9}}{2 \cdot 2} = \frac{5+3}{4} = \frac{8}{4} = 2$

$y_2 = \frac{-b - \sqrt{D}}{2a} = \frac{5 - \sqrt{9}}{2 \cdot 2} = \frac{5-3}{4} = \frac{2}{4} = \frac{1}{2}$

Теперь выполним обратную замену для каждого найденного значения $y$.

Случай 1: $y = 2$

$\sqrt[3]{\frac{x-1}{x+2}} = 2$

Возведем обе части в куб:

$\frac{x-1}{x+2} = 2^3 = 8$

$x-1 = 8(x+2)$

$x-1 = 8x+16$

$7x = -17$

$x_1 = -\frac{17}{7}$

Случай 2: $y = \frac{1}{2}$

$\sqrt[3]{\frac{x-1}{x+2}} = \frac{1}{2}$

Возведем обе части в куб:

$\frac{x-1}{x+2} = (\frac{1}{2})^3 = \frac{1}{8}$

$8(x-1) = x+2$

$8x-8 = x+2$

$7x = 10$

$x_2 = \frac{10}{7}$

Оба найденных корня $x_1 = -\frac{17}{7}$ и $x_2 = \frac{10}{7}$ удовлетворяют ОДЗ ($x \neq -2, x \neq 1$).

Ответ: $-\frac{17}{7}; \frac{10}{7}$.

Помогло решение? Оставьте отзыв в комментариях ниже.

Присоединяйтесь к Телеграм-группе @gdz_by_belarus

Присоединиться

Мы подготовили для вас ответ c подробным объяснением домашего задания по алгебре за 11 класс, для упражнения номер 231 расположенного на странице 194 к учебнику 2020 года издания для учащихся школ и гимназий.

Теперь на нашем сайте ГДЗ.ТОП вы всегда легко и бесплатно найдёте условие с правильным ответом на вопрос «Как решить ДЗ» и «Как сделать» задание по алгебре к упражнению №231 (с. 194), авторов: Арефьева (Ирина Глебовна), Пирютко (Ольга Николаевна), учебного пособия издательства Народная асвета.