Номер 238, страница 195 - гдз по алгебре 11 класс учебник Арефьева, Пирютко

Алгебра, 11 класс Учебник, авторы: Арефьева Ирина Глебовна, Пирютко Ольга Николаевна, издательство Народная асвета, Минск, 2020, бирюзового цвета

Авторы: Арефьева И. Г., Пирютко О. Н.

Тип: Учебник

Издательство: Народная асвета

Год издания: 2020 - 2026

Цвет обложки: бирюзовый, зелёный с графиком

ISBN: 978-985-03-3165-6

Популярные ГДЗ в 11 классе

Упражнения для итогового повторения. Выражения и их преобразования - номер 238, страница 195.

№238 (с. 195)
Условие. №238 (с. 195)
скриншот условия
Алгебра, 11 класс Учебник, авторы: Арефьева Ирина Глебовна, Пирютко Ольга Николаевна, издательство Народная асвета, Минск, 2020, бирюзового цвета, страница 195, номер 238, Условие

238. Используйте свойства степеней и решите уравнение:

a)

$\left(\frac{1}{2}\right)^{x^2} \cdot 4^{x+1}=\frac{1}{64}$;

б)

$0,125 \cdot 4^{2 x-3}=(4 \sqrt{2})^x$;

в)

$2^x \cdot 5^x=0,1:\left(10^{2-x}\right)^4$;

г)

$(0,6)^x:\left(\frac{25}{9}\right)^{12-x^2}=\left(\frac{3}{5}\right)^9$.

Решение. №238 (с. 195)
Алгебра, 11 класс Учебник, авторы: Арефьева Ирина Глебовна, Пирютко Ольга Николаевна, издательство Народная асвета, Минск, 2020, бирюзового цвета, страница 195, номер 238, Решение Алгебра, 11 класс Учебник, авторы: Арефьева Ирина Глебовна, Пирютко Ольга Николаевна, издательство Народная асвета, Минск, 2020, бирюзового цвета, страница 195, номер 238, Решение (продолжение 2)
Решение 2. №238 (с. 195)

а)

Исходное уравнение: $(\frac{1}{2})^{x^2} \cdot 4^{x+1} = \frac{1}{64}$.

Для решения приведем все части уравнения к одному основанию, в данном случае к 2.
Представим каждый член уравнения в виде степени с основанием 2:
$\frac{1}{2} = 2^{-1}$
$4 = 2^2$
$\frac{1}{64} = \frac{1}{2^6} = 2^{-6}$

Подставим эти значения в исходное уравнение:
$(2^{-1})^{x^2} \cdot (2^2)^{x+1} = 2^{-6}$

Используем свойство степени $(a^m)^n = a^{mn}$:
$2^{-x^2} \cdot 2^{2(x+1)} = 2^{-6}$
$2^{-x^2} \cdot 2^{2x+2} = 2^{-6}$

Теперь используем свойство умножения степеней с одинаковым основанием $a^m \cdot a^n = a^{m+n}$:
$2^{-x^2 + 2x + 2} = 2^{-6}$

Так как основания степеней равны, мы можем приравнять их показатели:
$-x^2 + 2x + 2 = -6$

Перенесем все члены в левую часть, чтобы получить квадратное уравнение:
$-x^2 + 2x + 8 = 0$
Умножим на -1 для удобства:
$x^2 - 2x - 8 = 0$

Решим квадратное уравнение. Дискриминант $D = b^2 - 4ac = (-2)^2 - 4(1)(-8) = 4 + 32 = 36$.
Корни уравнения: $x_{1,2} = \frac{-b \pm \sqrt{D}}{2a} = \frac{2 \pm \sqrt{36}}{2} = \frac{2 \pm 6}{2}$.
$x_1 = \frac{2+6}{2} = 4$
$x_2 = \frac{2-6}{2} = -2$

Ответ: -2; 4.

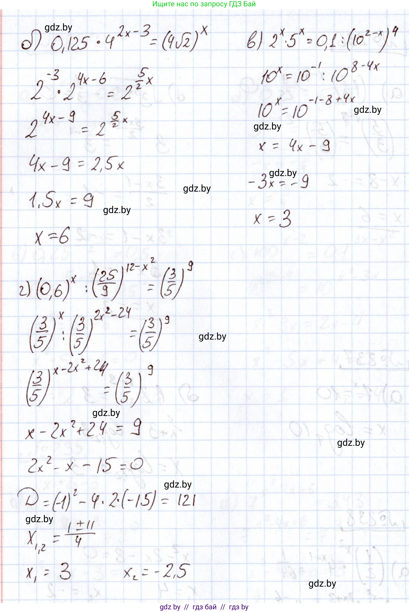
б)

Исходное уравнение: $0,125 \cdot 4^{2x-3} = (4\sqrt{2})^x$.

Приведем все части уравнения к основанию 2.
$0,125 = \frac{1}{8} = \frac{1}{2^3} = 2^{-3}$
$4 = 2^2$
$4\sqrt{2} = 2^2 \cdot 2^{\frac{1}{2}} = 2^{2+\frac{1}{2}} = 2^{\frac{5}{2}}$

Подставим в уравнение:
$2^{-3} \cdot (2^2)^{2x-3} = (2^{\frac{5}{2}})^x$

Применим свойства степеней:
$2^{-3} \cdot 2^{2(2x-3)} = 2^{\frac{5}{2}x}$
$2^{-3} \cdot 2^{4x-6} = 2^{\frac{5}{2}x}$
$2^{-3+4x-6} = 2^{\frac{5}{2}x}$
$2^{4x-9} = 2^{\frac{5}{2}x}$

Приравняем показатели степеней:
$4x-9 = \frac{5}{2}x$

Решим полученное линейное уравнение:
$4x - \frac{5}{2}x = 9$
$\frac{8x - 5x}{2} = 9$
$\frac{3x}{2} = 9$
$3x = 18$
$x = 6$

Ответ: 6.

в)

Исходное уравнение: $2^x \cdot 5^x = 0,1 : (10^{2-x})^4$.

Приведем все части уравнения к основанию 10.
В левой части используем свойство $a^n \cdot b^n = (ab)^n$:
$2^x \cdot 5^x = (2 \cdot 5)^x = 10^x$

В правой части представим $0,1$ как $10^{-1}$ и упростим выражение в скобках:
$0,1 = 10^{-1}$
$(10^{2-x})^4 = 10^{4(2-x)} = 10^{8-4x}$
Правая часть примет вид: $10^{-1} : 10^{8-4x}$

Используем свойство деления степеней $a^m : a^n = a^{m-n}$:
$10^{-1 - (8-4x)} = 10^{-1-8+4x} = 10^{4x-9}$

Уравнение примет вид:
$10^x = 10^{4x-9}$

Приравняем показатели степеней:
$x = 4x-9$
$3x = 9$
$x = 3$

Ответ: 3.

г)

Исходное уравнение: $(0,6)^x : (\frac{25}{9})^{12-x^2} = (\frac{3}{5})^9$.

Приведем все части уравнения к одному основанию. Удобно использовать основание $\frac{3}{5}$.
$0,6 = \frac{6}{10} = \frac{3}{5}$
$\frac{25}{9} = (\frac{5}{3})^2 = ((\frac{3}{5})^{-1})^2 = (\frac{3}{5})^{-2}$

Подставим эти значения в уравнение:
$(\frac{3}{5})^x : ((\frac{3}{5})^{-2})^{12-x^2} = (\frac{3}{5})^9$

Используем свойство степени $(a^m)^n = a^{mn}$:
$(\frac{3}{5})^x : (\frac{3}{5})^{-2(12-x^2)} = (\frac{3}{5})^9$
$(\frac{3}{5})^x : (\frac{3}{5})^{-24+2x^2} = (\frac{3}{5})^9$

Используем свойство деления степеней $a^m : a^n = a^{m-n}$:
$(\frac{3}{5})^{x - (-24+2x^2)} = (\frac{3}{5})^9$
$(\frac{3}{5})^{x + 24 - 2x^2} = (\frac{3}{5})^9$

Приравняем показатели степеней:
$x + 24 - 2x^2 = 9$

Перенесем все члены в одну сторону и решим квадратное уравнение:
$-2x^2 + x + 24 - 9 = 0$
$-2x^2 + x + 15 = 0$
Умножим на -1:
$2x^2 - x - 15 = 0$

Найдем дискриминант: $D = b^2 - 4ac = (-1)^2 - 4(2)(-15) = 1 + 120 = 121$.
Корни уравнения: $x_{1,2} = \frac{-b \pm \sqrt{D}}{2a} = \frac{1 \pm \sqrt{121}}{4} = \frac{1 \pm 11}{4}$.
$x_1 = \frac{1+11}{4} = \frac{12}{4} = 3$
$x_2 = \frac{1-11}{4} = \frac{-10}{4} = -2,5$

Ответ: -2,5; 3.

Помогло решение? Оставьте отзыв в комментариях ниже.

Присоединяйтесь к Телеграм-группе @gdz_by_belarus

Присоединиться

Мы подготовили для вас ответ c подробным объяснением домашего задания по алгебре за 11 класс, для упражнения номер 238 расположенного на странице 195 к учебнику 2020 года издания для учащихся школ и гимназий.

Теперь на нашем сайте ГДЗ.ТОП вы всегда легко и бесплатно найдёте условие с правильным ответом на вопрос «Как решить ДЗ» и «Как сделать» задание по алгебре к упражнению №238 (с. 195), авторов: Арефьева (Ирина Глебовна), Пирютко (Ольга Николаевна), учебного пособия издательства Народная асвета.