Номер 233, страница 194 - гдз по алгебре 11 класс учебник Арефьева, Пирютко

Алгебра, 11 класс Учебник, авторы: Арефьева Ирина Глебовна, Пирютко Ольга Николаевна, издательство Народная асвета, Минск, 2020, бирюзового цвета

Авторы: Арефьева И. Г., Пирютко О. Н.

Тип: Учебник

Издательство: Народная асвета

Год издания: 2020 - 2026

Цвет обложки: бирюзовый, зелёный с графиком

ISBN: 978-985-03-3165-6

Популярные ГДЗ в 11 классе

Упражнения для итогового повторения. Выражения и их преобразования - номер 233, страница 194.

№233 (с. 194)
Условие. №233 (с. 194)
скриншот условия
Алгебра, 11 класс Учебник, авторы: Арефьева Ирина Глебовна, Пирютко Ольга Николаевна, издательство Народная асвета, Минск, 2020, бирюзового цвета, страница 194, номер 233, Условие

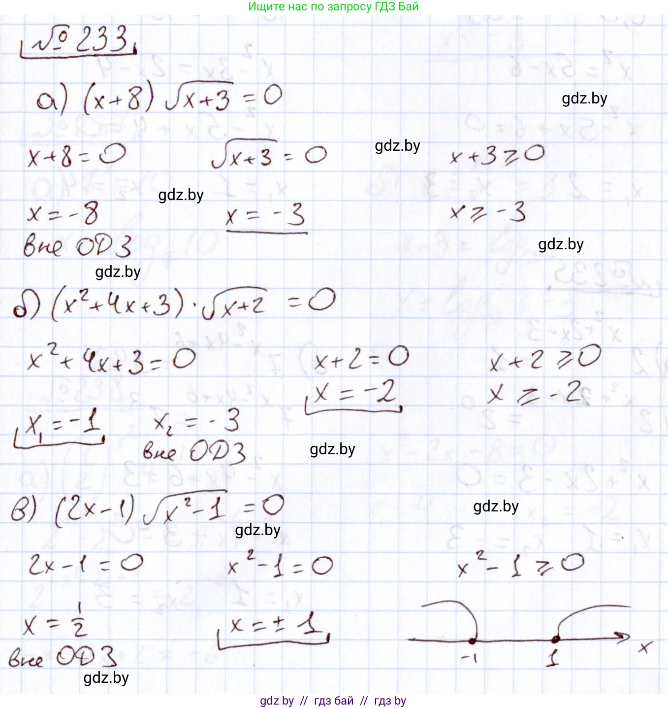
233. Примените правило равенства произведения нулю и решите уравнение:

а) $(x + 8)\sqrt{x + 3} = 0;$ б) $(x^2 + 4x + 3)\sqrt{x + 2} = 0;$

В) $(2x - 1)\sqrt{x^2 - 1} = 0.$

Решение. №233 (с. 194)
Алгебра, 11 класс Учебник, авторы: Арефьева Ирина Глебовна, Пирютко Ольга Николаевна, издательство Народная асвета, Минск, 2020, бирюзового цвета, страница 194, номер 233, Решение
Решение 2. №233 (с. 194)

а) $(x + 8)\sqrt{x + 3} = 0$

Произведение равно нулю тогда и только тогда, когда хотя бы один из множителей равен нулю, а другие при этом имеют смысл.

Сначала определим область допустимых значений (ОДЗ) уравнения. Выражение под знаком квадратного корня должно быть неотрицательным:

$x + 3 \ge 0$

$x \ge -3$

Теперь приравняем каждый из множителей к нулю:

1) $x + 8 = 0 \implies x = -8$

2) $\sqrt{x + 3} = 0$. Возведем обе части в квадрат: $x + 3 = 0 \implies x = -3$

Проверим, соответствуют ли найденные корни ОДЗ ($x \ge -3$):

  • Корень $x = -8$ не удовлетворяет условию $x \ge -3$, так как $-8 < -3$. Следовательно, это посторонний корень.
  • Корень $x = -3$ удовлетворяет условию $x \ge -3$. Этот корень является решением уравнения.

Таким образом, уравнение имеет один корень.

Ответ: $-3$


б) $(x^2 + 4x + 3)\sqrt{x + 2} = 0$

Найдем ОДЗ уравнения. Выражение под корнем должно быть неотрицательным:

$x + 2 \ge 0$

$x \ge -2$

Приравняем каждый множитель к нулю в пределах ОДЗ:

1) $x^2 + 4x + 3 = 0$

Решим квадратное уравнение. Используем теорему Виета: сумма корней равна $-4$, произведение равно $3$. Корни: $x_1 = -1$, $x_2 = -3$.

2) $\sqrt{x + 2} = 0 \implies x + 2 = 0 \implies x = -2$

Проверим найденные значения $x = -1$, $x = -3$ и $x = -2$ на соответствие ОДЗ ($x \ge -2$):

  • Корень $x = -1$ удовлетворяет условию $x \ge -2$.
  • Корень $x = -3$ не удовлетворяет условию $x \ge -2$. Это посторонний корень.
  • Корень $x = -2$ удовлетворяет условию $x \ge -2$.

Уравнение имеет два корня.

Ответ: $-2; -1$


в) $(2x - 1)\sqrt{x^2 - 1} = 0$

Найдем ОДЗ уравнения. Выражение под корнем должно быть неотрицательным:

$x^2 - 1 \ge 0$

$(x - 1)(x + 1) \ge 0$

Решая это неравенство (например, методом интервалов), получаем, что ОДЗ: $x \in (-\infty, -1] \cup [1, \infty)$.

Приравняем каждый множитель к нулю:

1) $2x - 1 = 0 \implies 2x = 1 \implies x = \frac{1}{2}$

2) $\sqrt{x^2 - 1} = 0 \implies x^2 - 1 = 0 \implies x^2 = 1 \implies x_1 = 1, x_2 = -1$

Проверим, принадлежат ли найденные корни ОДЗ ($x \in (-\infty, -1] \cup [1, \infty)$):

  • Корень $x = \frac{1}{2}$ (или 0.5) не входит в ОДЗ, так как $-1 < 0.5 < 1$. Это посторонний корень.
  • Корень $x = 1$ входит в ОДЗ.
  • Корень $x = -1$ входит в ОДЗ.

Уравнение имеет два корня.

Ответ: $-1; 1$

Помогло решение? Оставьте отзыв в комментариях ниже.

Присоединяйтесь к Телеграм-группе @gdz_by_belarus

Присоединиться

Мы подготовили для вас ответ c подробным объяснением домашего задания по алгебре за 11 класс, для упражнения номер 233 расположенного на странице 194 к учебнику 2020 года издания для учащихся школ и гимназий.

Теперь на нашем сайте ГДЗ.ТОП вы всегда легко и бесплатно найдёте условие с правильным ответом на вопрос «Как решить ДЗ» и «Как сделать» задание по алгебре к упражнению №233 (с. 194), авторов: Арефьева (Ирина Глебовна), Пирютко (Ольга Николаевна), учебного пособия издательства Народная асвета.