Номер 232, страница 194 - гдз по алгебре 11 класс учебник Арефьева, Пирютко

Алгебра, 11 класс Учебник, авторы: Арефьева Ирина Глебовна, Пирютко Ольга Николаевна, издательство Народная асвета, Минск, 2020, бирюзового цвета

Авторы: Арефьева И. Г., Пирютко О. Н.

Тип: Учебник

Издательство: Народная асвета

Год издания: 2020 - 2026

Цвет обложки: бирюзовый, зелёный с графиком

ISBN: 978-985-03-3165-6

Популярные ГДЗ в 11 классе

Упражнения для итогового повторения. Выражения и их преобразования - номер 232, страница 194.

№232 (с. 194)
Условие. №232 (с. 194)
скриншот условия
Алгебра, 11 класс Учебник, авторы: Арефьева Ирина Глебовна, Пирютко Ольга Николаевна, издательство Народная асвета, Минск, 2020, бирюзового цвета, страница 194, номер 232, Условие

232. Решите иррациональное уравнение:

a) $\sqrt{x+1} \cdot \sqrt{x-2} = 4;$

б) $\sqrt{3-x} \cdot \sqrt{2-x} = \sqrt{2};$

в) $\sqrt{x+5} \cdot \sqrt{x-2} = x;$

г) $\sqrt{3x-5} \cdot \sqrt{x-2} = x-1.$

Решение. №232 (с. 194)
Алгебра, 11 класс Учебник, авторы: Арефьева Ирина Глебовна, Пирютко Ольга Николаевна, издательство Народная асвета, Минск, 2020, бирюзового цвета, страница 194, номер 232, Решение Алгебра, 11 класс Учебник, авторы: Арефьева Ирина Глебовна, Пирютко Ольга Николаевна, издательство Народная асвета, Минск, 2020, бирюзового цвета, страница 194, номер 232, Решение (продолжение 2)
Решение 2. №232 (с. 194)

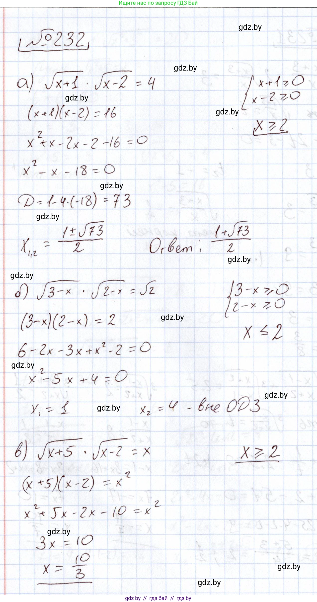
а) $\sqrt{x+1} \cdot \sqrt{x-2} = 4$

Первым шагом найдем область допустимых значений (ОДЗ) для переменной $x$. Выражения, находящиеся под знаком квадратного корня, должны быть неотрицательными.
$x+1 \ge 0 \Rightarrow x \ge -1$
$x-2 \ge 0 \Rightarrow x \ge 2$
Объединив эти два условия, получаем ОДЗ: $x \in [2; +\infty)$.

На области допустимых значений обе части уравнения неотрицательны. Используем свойство произведения корней $\sqrt{a} \cdot \sqrt{b} = \sqrt{ab}$ (для $a \ge 0, b \ge 0$):
$\sqrt{(x+1)(x-2)} = 4$
Теперь возведем обе части уравнения в квадрат, чтобы избавиться от знака корня:
$(\sqrt{(x+1)(x-2)})^2 = 4^2$
$(x+1)(x-2) = 16$
Раскроем скобки в левой части:
$x^2 - 2x + x - 2 = 16$
$x^2 - x - 18 = 0$

Мы получили квадратное уравнение. Решим его с помощью формулы корней через дискриминант $D = b^2 - 4ac$:
$D = (-1)^2 - 4 \cdot 1 \cdot (-18) = 1 + 72 = 73$
$x_{1,2} = \frac{-b \pm \sqrt{D}}{2a} = \frac{1 \pm \sqrt{73}}{2}$
Получаем два корня: $x_1 = \frac{1 + \sqrt{73}}{2}$ и $x_2 = \frac{1 - \sqrt{73}}{2}$.

Проверим, удовлетворяют ли найденные корни ОДЗ ($x \ge 2$).
Для $x_1 = \frac{1 + \sqrt{73}}{2}$: так как $\sqrt{64} < \sqrt{73} < \sqrt{81}$, то $8 < \sqrt{73} < 9$. Тогда $x_1 \approx \frac{1 + 8.5}{2} = 4.75$. Это значение больше 2, следовательно, корень $x_1$ подходит.
Для $x_2 = \frac{1 - \sqrt{73}}{2}$: так как $\sqrt{73} > 1$, то $1 - \sqrt{73} < 0$, и весь корень $x_2$ отрицателен. Он не входит в ОДЗ.

Ответ: $x = \frac{1+\sqrt{73}}{2}$.

б) $\sqrt{3-x} \cdot \sqrt{2-x} = \sqrt{2}$

Найдем ОДЗ:
$3-x \ge 0 \Rightarrow x \le 3$
$2-x \ge 0 \Rightarrow x \le 2$
Общая область допустимых значений: $x \in (-\infty; 2]$.

На ОДЗ обе части уравнения неотрицательны. Объединим корни в левой части и возведем обе части в квадрат:
$\sqrt{(3-x)(2-x)} = \sqrt{2}$
$(3-x)(2-x) = 2$
$6 - 3x - 2x + x^2 = 2$
$x^2 - 5x + 4 = 0$

Решим квадратное уравнение. По теореме Виета, сумма корней равна 5, а их произведение равно 4. Легко подобрать корни:
$x_1 = 1$, $x_2 = 4$.

Проверим корни на соответствие ОДЗ ($x \le 2$).
Корень $x_1 = 1$ удовлетворяет условию $1 \le 2$.
Корень $x_2 = 4$ не удовлетворяет условию $4 \le 2$, поэтому он является посторонним.

Ответ: $x=1$.

в) $\sqrt{x+5} \cdot \sqrt{x-2} = x$

Найдем ОДЗ:
$x+5 \ge 0 \Rightarrow x \ge -5$
$x-2 \ge 0 \Rightarrow x \ge 2$
Кроме того, левая часть уравнения (произведение корней) всегда неотрицательна. Следовательно, правая часть также должна быть неотрицательной: $x \ge 0$.
Объединяя все три условия ($x \ge -5$, $x \ge 2$, $x \ge 0$), получаем ОДЗ: $x \in [2; +\infty)$.

На ОДЗ обе части уравнения неотрицательны. Возведем их в квадрат:
$\sqrt{(x+5)(x-2)} = x$
$(x+5)(x-2) = x^2$
$x^2 - 2x + 5x - 10 = x^2$
$x^2 + 3x - 10 = x^2$
$3x - 10 = 0$
$3x = 10$
$x = \frac{10}{3}$

Проверим, принадлежит ли корень ОДЗ ($x \ge 2$).
$x = \frac{10}{3} = 3\frac{1}{3}$. Поскольку $3\frac{1}{3} \ge 2$, корень является решением уравнения.

Ответ: $x = \frac{10}{3}$.

г) $\sqrt{3x-5} \cdot \sqrt{x-2} = x-1$

Найдем ОДЗ:
$3x-5 \ge 0 \Rightarrow 3x \ge 5 \Rightarrow x \ge \frac{5}{3}$
$x-2 \ge 0 \Rightarrow x \ge 2$
Левая часть уравнения неотрицательна, значит и правая часть должна быть неотрицательной: $x-1 \ge 0 \Rightarrow x \ge 1$.
Пересечение всех условий ($x \ge \frac{5}{3}$, $x \ge 2$, $x \ge 1$) дает ОДЗ: $x \in [2; +\infty)$.

На ОДЗ обе части уравнения неотрицательны, поэтому мы можем возвести их в квадрат:
$\sqrt{(3x-5)(x-2)} = x-1$
$(3x-5)(x-2) = (x-1)^2$
$3x^2 - 6x - 5x + 10 = x^2 - 2x + 1$
$3x^2 - 11x + 10 = x^2 - 2x + 1$
Приведем подобные слагаемые, перенеся все в левую часть:
$2x^2 - 9x + 9 = 0$

Решим полученное квадратное уравнение:
$D = (-9)^2 - 4 \cdot 2 \cdot 9 = 81 - 72 = 9 = 3^2$
$x_{1,2} = \frac{9 \pm \sqrt{9}}{2 \cdot 2} = \frac{9 \pm 3}{4}$
$x_1 = \frac{9+3}{4} = \frac{12}{4} = 3$
$x_2 = \frac{9-3}{4} = \frac{6}{4} = \frac{3}{2} = 1.5$

Проверим корни на соответствие ОДЗ ($x \ge 2$).
Корень $x_1 = 3$ удовлетворяет условию $3 \ge 2$.
Корень $x_2 = 1.5$ не удовлетворяет условию $1.5 \ge 2$, следовательно, это посторонний корень.

Ответ: $x = 3$.

Помогло решение? Оставьте отзыв в комментариях ниже.

Присоединяйтесь к Телеграм-группе @gdz_by_belarus

Присоединиться

Мы подготовили для вас ответ c подробным объяснением домашего задания по алгебре за 11 класс, для упражнения номер 232 расположенного на странице 194 к учебнику 2020 года издания для учащихся школ и гимназий.

Теперь на нашем сайте ГДЗ.ТОП вы всегда легко и бесплатно найдёте условие с правильным ответом на вопрос «Как решить ДЗ» и «Как сделать» задание по алгебре к упражнению №232 (с. 194), авторов: Арефьева (Ирина Глебовна), Пирютко (Ольга Николаевна), учебного пособия издательства Народная асвета.