Номер 10, страница 235 - гдз по алгебре 11 класс учебник Арефьева, Пирютко

Алгебра, 11 класс Учебник, авторы: Арефьева Ирина Глебовна, Пирютко Ольга Николаевна, издательство Народная асвета, Минск, 2020, бирюзового цвета

Авторы: Арефьева И. Г., Пирютко О. Н.

Тип: Учебник

Издательство: Народная асвета

Год издания: 2020 - 2026

Цвет обложки: бирюзовый, зелёный с графиком

ISBN: 978-985-03-3165-6

Популярные ГДЗ в 11 классе

Тематические тесты. Тест 2. Иррациональные уравнения - номер 10, страница 235.

№10 (с. 235)
Условие. №10 (с. 235)
скриншот условия
Алгебра, 11 класс Учебник, авторы: Арефьева Ирина Глебовна, Пирютко Ольга Николаевна, издательство Народная асвета, Минск, 2020, бирюзового цвета, страница 235, номер 10, Условие

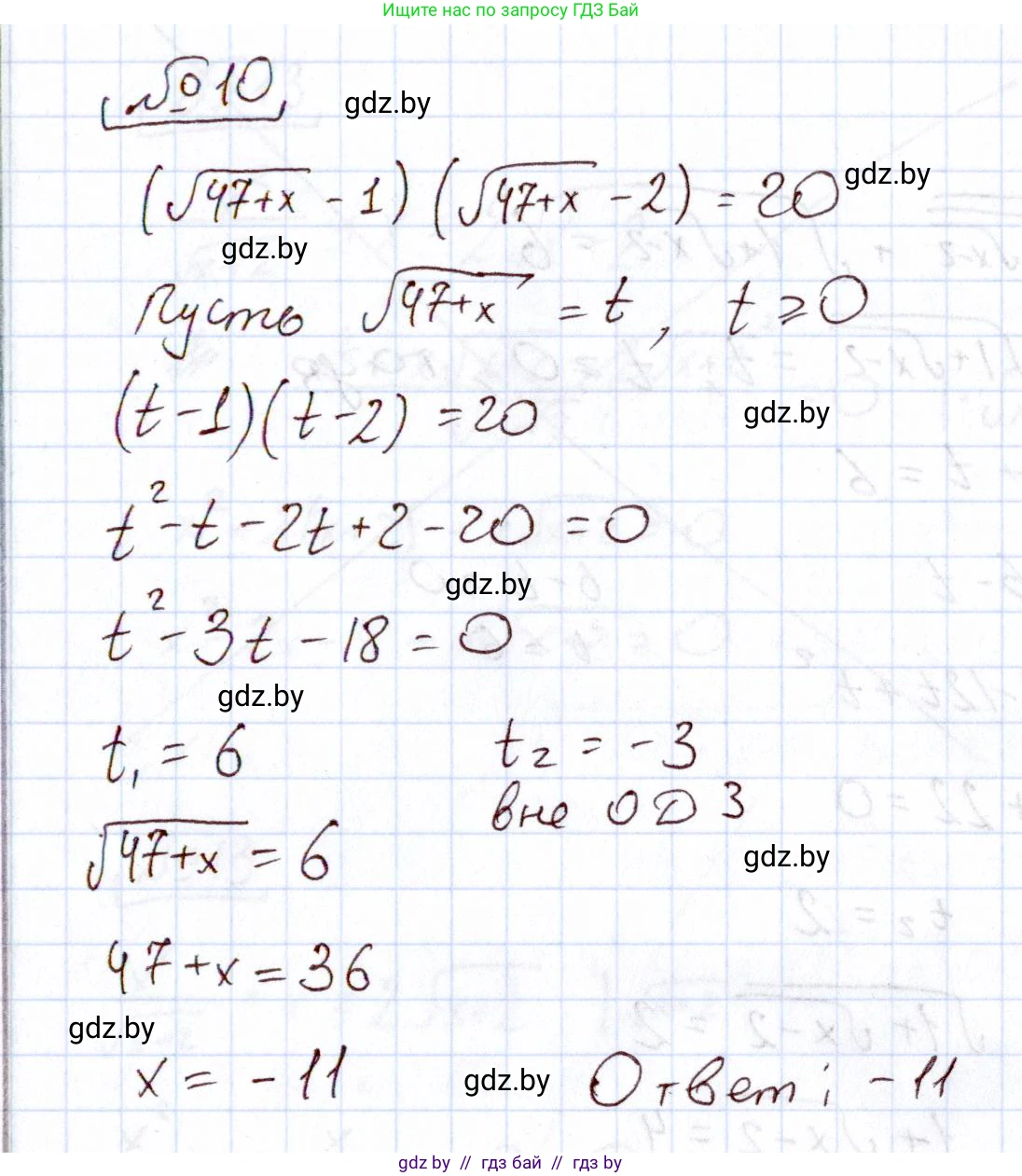
10. Найдите сумму корней (корень, если он единственный) уравнения

$(\sqrt{47+x}-1)\cdot(\sqrt{47+x}-2)=20.$

Решение. №10 (с. 235)
Алгебра, 11 класс Учебник, авторы: Арефьева Ирина Глебовна, Пирютко Ольга Николаевна, издательство Народная асвета, Минск, 2020, бирюзового цвета, страница 235, номер 10, Решение
Решение 2. №10 (с. 235)

Для решения уравнения $(\sqrt{47+x} - 1) \cdot (\sqrt{47+x} - 2) = 20$ сначала определим область допустимых значений (ОДЗ).

Подкоренное выражение $47+x$ должно быть неотрицательным:

$$47 + x \ge 0$$

$$x \ge -47$$

Теперь решим само уравнение. Для упрощения введем замену переменной. Пусть $t = \sqrt{47+x}$. Так как значение арифметического квадратного корня не может быть отрицательным, то $t \ge 0$.

После замены исходное уравнение принимает вид:

$$(t - 1)(t - 2) = 20$$

Раскроем скобки в левой части:

$$t^2 - 2t - t + 2 = 20$$

$$t^2 - 3t + 2 = 20$$

Перенесем все члены в левую часть, чтобы получить стандартное квадратное уравнение:

$$t^2 - 3t - 18 = 0$$

Решим это квадратное уравнение относительно $t$. Воспользуемся теоремой Виета. Ищем два числа, произведение которых равно $-18$, а сумма равна $3$. Эти числа — $6$ и $-3$.

Таким образом, корни уравнения для $t$:

$$t_1 = 6$$

$$t_2 = -3$$

Теперь нужно проверить эти корни с учетом условия $t \ge 0$.

  • $t_1 = 6$ удовлетворяет условию $6 \ge 0$.
  • $t_2 = -3$ не удовлетворяет условию $-3 \ge 0$, поэтому это посторонний корень.

Следовательно, у нас есть единственное подходящее значение для $t$: $t=6$.

Выполним обратную замену:

$$\sqrt{47+x} = 6$$

Возведем обе части уравнения в квадрат, чтобы избавиться от корня:

$$(\sqrt{47+x})^2 = 6^2$$

$$47 + x = 36$$

Выразим $x$:

$$x = 36 - 47$$

$$x = -11$$

Проверим, принадлежит ли найденный корень ОДЗ ($x \ge -47$). Так как $-11 \ge -47$, корень $x=-11$ является решением исходного уравнения.

Уравнение имеет единственный корень. По условию задачи, если корень один, то его и нужно указать в качестве ответа. Сумма корней в данном случае будет равна этому единственному корню.

Ответ: -11

Помогло решение? Оставьте отзыв в комментариях ниже.

Присоединяйтесь к Телеграм-группе @gdz_by_belarus

Присоединиться

Мы подготовили для вас ответ c подробным объяснением домашего задания по алгебре за 11 класс, для упражнения номер 10 расположенного на странице 235 к учебнику 2020 года издания для учащихся школ и гимназий.

Теперь на нашем сайте ГДЗ.ТОП вы всегда легко и бесплатно найдёте условие с правильным ответом на вопрос «Как решить ДЗ» и «Как сделать» задание по алгебре к упражнению №10 (с. 235), авторов: Арефьева (Ирина Глебовна), Пирютко (Ольга Николаевна), учебного пособия издательства Народная асвета.