Номер 13, страница 236 - гдз по алгебре 11 класс учебник Арефьева, Пирютко

Алгебра, 11 класс Учебник, авторы: Арефьева Ирина Глебовна, Пирютко Ольга Николаевна, издательство Народная асвета, Минск, 2020, бирюзового цвета

Авторы: Арефьева И. Г., Пирютко О. Н.

Тип: Учебник

Издательство: Народная асвета

Год издания: 2020 - 2026

Цвет обложки: бирюзовый, зелёный с графиком

ISBN: 978-985-03-3165-6

Популярные ГДЗ в 11 классе

Тематические тесты. Тест 2. Иррациональные уравнения - номер 13, страница 236.

№13 (с. 236)
Условие. №13 (с. 236)
скриншот условия
Алгебра, 11 класс Учебник, авторы: Арефьева Ирина Глебовна, Пирютко Ольга Николаевна, издательство Народная асвета, Минск, 2020, бирюзового цвета, страница 236, номер 13, Условие

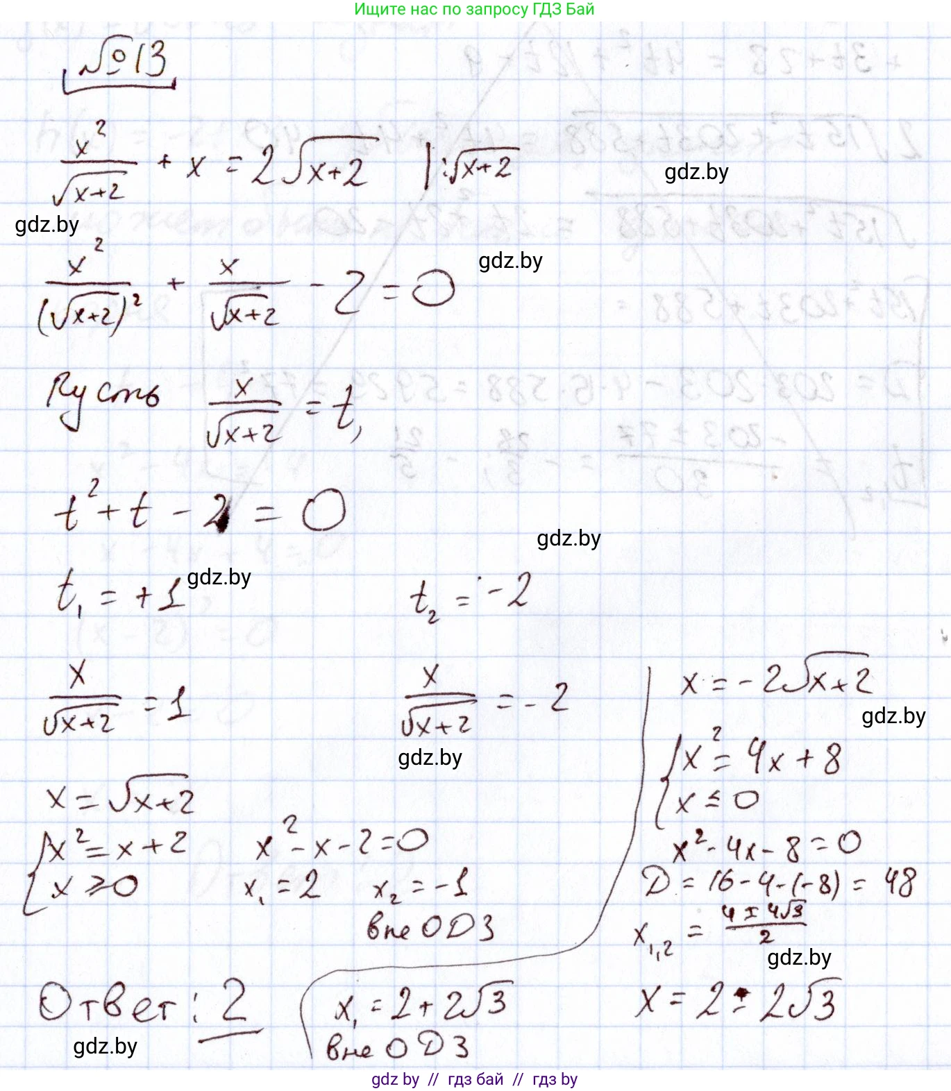
13. Найдите наибольший корень уравнения $\frac{x^2}{\sqrt{x+2}} + x = 2\sqrt{x+2}$.

Решение. №13 (с. 236)
Алгебра, 11 класс Учебник, авторы: Арефьева Ирина Глебовна, Пирютко Ольга Николаевна, издательство Народная асвета, Минск, 2020, бирюзового цвета, страница 236, номер 13, Решение
Решение 2. №13 (с. 236)

Найдем область допустимых значений (ОДЗ). Выражение под корнем должно быть положительным, так как оно находится в знаменателе и под знаком корня. $x+2 > 0$ $x > -2$

Исходное уравнение: $\frac{x^2}{\sqrt{x+2}} + x = 2\sqrt{x+2}$

Умножим обе части уравнения на $\sqrt{x+2}$. Это допустимо, так как в ОДЗ $\sqrt{x+2} > 0$. $x^2 + x\sqrt{x+2} = 2(\sqrt{x+2})^2$ $x^2 + x\sqrt{x+2} = 2(x+2)$

Перенесем все члены в левую часть: $x^2 + x\sqrt{x+2} - 2(x+2) = 0$

Данное уравнение является однородным относительно переменных $x$ и $\sqrt{x+2}$. Мы можем разделить все уравнение на $(\sqrt{x+2})^2 = x+2$, так как $x+2 \ne 0$: $\frac{x^2}{x+2} + \frac{x\sqrt{x+2}}{x+2} - \frac{2(x+2)}{x+2} = 0$ $(\frac{x}{\sqrt{x+2}})^2 + \frac{x}{\sqrt{x+2}} - 2 = 0$

Сделаем замену переменной. Пусть $t = \frac{x}{\sqrt{x+2}}$. Уравнение примет вид: $t^2 + t - 2 = 0$

Это простое квадратное уравнение, корни которого можно найти по теореме Виета или через дискриминант. Корни: $(t+2)(t-1) = 0$ $t_1 = 1$, $t_2 = -2$

Теперь выполним обратную замену для каждого из найденных значений $t$.

Случай 1. $t=1$ $\frac{x}{\sqrt{x+2}} = 1$ Поскольку правая часть положительна, левая часть также должна быть положительной, что означает $x > 0$. Возведем обе части в квадрат: $x^2 = x+2$ $x^2 - x - 2 = 0$ $(x-2)(x+1) = 0$ Получаем корни $x=2$ и $x=-1$. Условию $x > 0$ удовлетворяет только $x=2$. Этот корень также входит в ОДЗ ($2 > -2$).

Случай 2. $t=-2$ $\frac{x}{\sqrt{x+2}} = -2$ Поскольку правая часть отрицательна, левая часть также должна быть отрицательной, что означает $x < 0$. Возведем обе части в квадрат: $x^2 = (-2\sqrt{x+2})^2$ $x^2 = 4(x+2)$ $x^2 = 4x + 8$ $x^2 - 4x - 8 = 0$ Решим это квадратное уравнение с помощью формулы для корней: $x = \frac{-(-4) \pm \sqrt{(-4)^2 - 4(1)(-8)}}{2(1)} = \frac{4 \pm \sqrt{16+32}}{2} = \frac{4 \pm \sqrt{48}}{2}$ $x = \frac{4 \pm 4\sqrt{3}}{2} = 2 \pm 2\sqrt{3}$ Получаем два корня: $x = 2 + 2\sqrt{3}$ и $x = 2 - 2\sqrt{3}$. Условию $x < 0$ удовлетворяет только корень $x = 2 - 2\sqrt{3}$ (так как $\sqrt{3} \approx 1.73$, то $2 - 2\sqrt{3} < 0$). Проверим, удовлетворяет ли этот корень ОДЗ ($x > -2$): $2 - 2\sqrt{3} > -2 \implies 4 > 2\sqrt{3} \implies 2 > \sqrt{3} \implies 4 > 3$. Неравенство верно, значит, $x=2 - 2\sqrt{3}$ является корнем.

Итак, мы получили два корня уравнения: $2$ и $2 - 2\sqrt{3}$. Требуется найти наибольший корень. Сравним их: $2 - 2\sqrt{3}$ является отрицательным числом. $2$ является положительным числом. Следовательно, наибольший корень равен $2$.

Ответ: 2

Помогло решение? Оставьте отзыв в комментариях ниже.

Присоединяйтесь к Телеграм-группе @gdz_by_belarus

Присоединиться

Мы подготовили для вас ответ c подробным объяснением домашего задания по алгебре за 11 класс, для упражнения номер 13 расположенного на странице 236 к учебнику 2020 года издания для учащихся школ и гимназий.

Теперь на нашем сайте ГДЗ.ТОП вы всегда легко и бесплатно найдёте условие с правильным ответом на вопрос «Как решить ДЗ» и «Как сделать» задание по алгебре к упражнению №13 (с. 236), авторов: Арефьева (Ирина Глебовна), Пирютко (Ольга Николаевна), учебного пособия издательства Народная асвета.