Номер 15, страница 236 - гдз по алгебре 11 класс учебник Арефьева, Пирютко

Алгебра, 11 класс Учебник, авторы: Арефьева Ирина Глебовна, Пирютко Ольга Николаевна, издательство Народная асвета, Минск, 2020, бирюзового цвета

Авторы: Арефьева И. Г., Пирютко О. Н.

Тип: Учебник

Издательство: Народная асвета

Год издания: 2020 - 2026

Цвет обложки: бирюзовый, зелёный с графиком

ISBN: 978-985-03-3165-6

Популярные ГДЗ в 11 классе

Тематические тесты. Тест 2. Иррациональные уравнения - номер 15, страница 236.

№15 (с. 236)
Условие. №15 (с. 236)
скриншот условия
Алгебра, 11 класс Учебник, авторы: Арефьева Ирина Глебовна, Пирютко Ольга Николаевна, издательство Народная асвета, Минск, 2020, бирюзового цвета, страница 236, номер 15, Условие

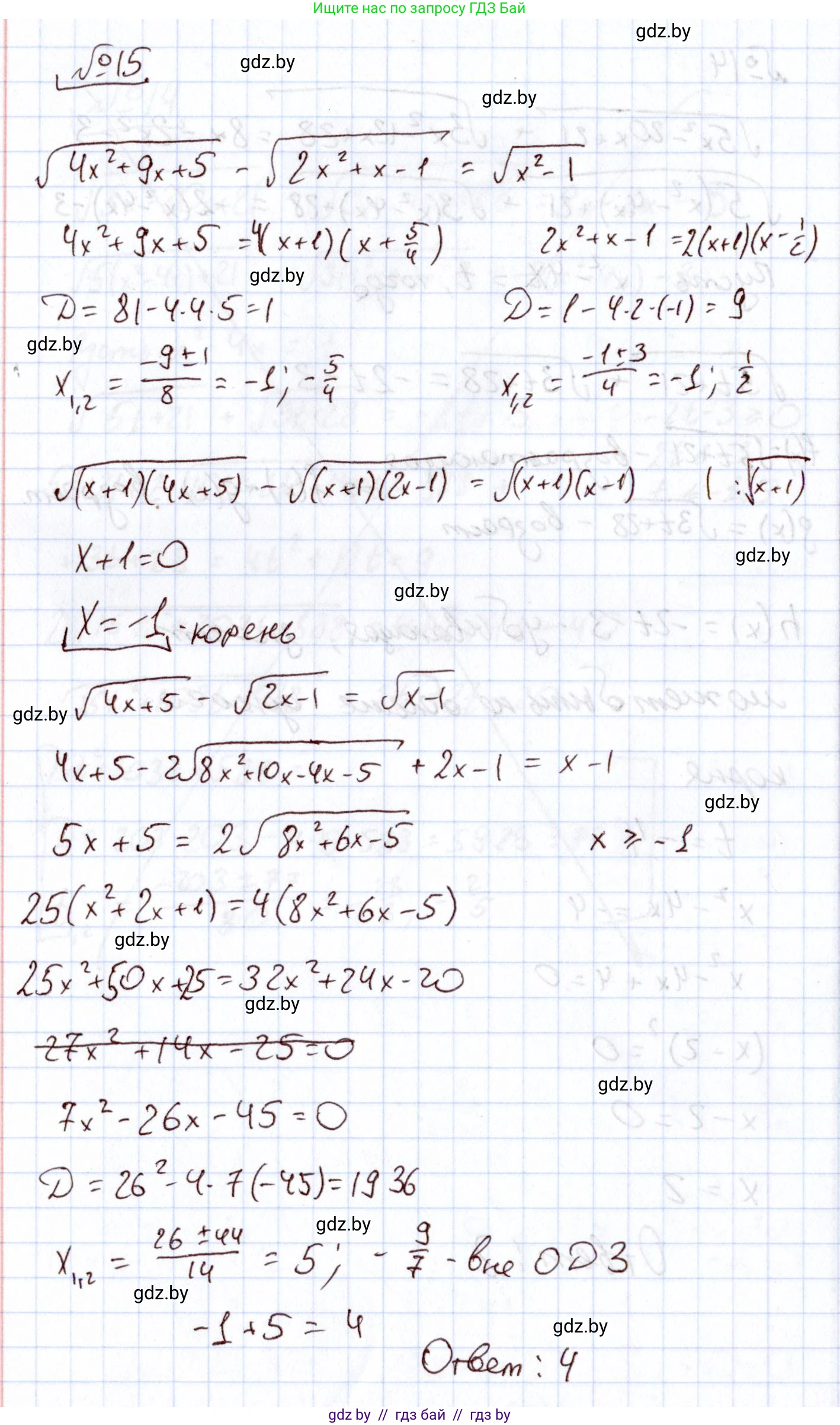
15. Найдите сумму корней уравнения

$\sqrt{4x^2 + 9x + 5} - \sqrt{2x^2 + x - 1} = \sqrt{x^2 - 1}.$

Решение. №15 (с. 236)
Алгебра, 11 класс Учебник, авторы: Арефьева Ирина Глебовна, Пирютко Ольга Николаевна, издательство Народная асвета, Минск, 2020, бирюзового цвета, страница 236, номер 15, Решение
Решение 2. №15 (с. 236)

Для решения данного иррационального уравнения первым шагом найдем область допустимых значений (ОДЗ). Выражения под знаком корня должны быть неотрицательными:

$\begin{cases} 4x^2 + 9x + 5 \ge 0 \\ 2x^2 + x - 1 \ge 0 \\ x^2 - 1 \ge 0 \end{cases}$

Решим каждое неравенство отдельно:

1) $4x^2 + 9x + 5 \ge 0$. Корни квадратного трехчлена $4x^2 + 9x + 5 = 0$ находятся по формуле: $x = \frac{-9 \pm \sqrt{81 - 4 \cdot 4 \cdot 5}}{8} = \frac{-9 \pm 1}{8}$. Корни: $x_1 = -1$, $x_2 = -\frac{5}{4}$. Ветви параболы направлены вверх, поэтому неравенство выполняется при $x \in (-\infty, -\frac{5}{4}] \cup [-1, +\infty)$.

2) $2x^2 + x - 1 \ge 0$. Корни трехчлена $2x^2 + x - 1 = 0$: $x = \frac{-1 \pm \sqrt{1 - 4 \cdot 2 \cdot (-1)}}{4} = \frac{-1 \pm 3}{4}$. Корни: $x_1 = -1$, $x_2 = \frac{1}{2}$. Ветви параболы направлены вверх, поэтому неравенство выполняется при $x \in (-\infty, -1] \cup [\frac{1}{2}, +\infty)$.

3) $x^2 - 1 \ge 0$. Корни уравнения $x^2-1=0$ это $x_1 = -1$, $x_2 = 1$. Ветви параболы направлены вверх, поэтому неравенство выполняется при $x \in (-\infty, -1] \cup [1, +\infty)$.

Пересечение всех трех множеств дает нам ОДЗ: $x \in (-\infty, -\frac{5}{4}] \cup \{-1\} \cup [1, +\infty)$.

Проверим, является ли $x=-1$ корнем исходного уравнения. Подставляем $x=-1$ в уравнение:

$\sqrt{4(-1)^2 + 9(-1) + 5} - \sqrt{2(-1)^2 + (-1) - 1} = \sqrt{(-1)^2 - 1}$

$\sqrt{4 - 9 + 5} - \sqrt{2 - 1 - 1} = \sqrt{1 - 1}$

$\sqrt{0} - \sqrt{0} = \sqrt{0}$

$0 = 0$

Равенство верное, значит, $x_1 = -1$ является корнем уравнения.

Теперь решим уравнение для остальных значений из ОДЗ. Разложим подкоренные выражения на множители:

$4x^2 + 9x + 5 = (4x+5)(x+1)$

$2x^2 + x - 1 = (2x-1)(x+1)$

$x^2 - 1 = (x-1)(x+1)$

Уравнение принимает вид:

$\sqrt{(4x+5)(x+1)} - \sqrt{(2x-1)(x+1)} = \sqrt{(x-1)(x+1)}$

Рассмотрим два случая из ОДЗ, исключая уже найденный корень $x=-1$.

Случай 1: $x \in [1, +\infty)$.

В этом случае $x+1 > 0$, поэтому можно вынести $\sqrt{x+1}$ из-под каждого корня и сократить на него (так как он не равен нулю):

$\sqrt{x+1}\sqrt{4x+5} - \sqrt{x+1}\sqrt{2x-1} = \sqrt{x+1}\sqrt{x-1}$

$\sqrt{4x+5} - \sqrt{2x-1} = \sqrt{x-1}$

Перенесем один из корней в правую часть и возведем в квадрат:

$\sqrt{4x+5} = \sqrt{x-1} + \sqrt{2x-1}$

$(\sqrt{4x+5})^2 = (\sqrt{x-1} + \sqrt{2x-1})^2$

$4x+5 = (x-1) + (2x-1) + 2\sqrt{(x-1)(2x-1)}$

$4x+5 = 3x-2 + 2\sqrt{2x^2-3x+1}$

$x+7 = 2\sqrt{2x^2-3x+1}$

Так как $x \ge 1$, то $x+7 > 0$, поэтому можно снова возвести в квадрат:

$(x+7)^2 = 4(2x^2-3x+1)$

$x^2+14x+49 = 8x^2-12x+4$

$7x^2-26x-45 = 0$

Решим это квадратное уравнение. Дискриминант $D = (-26)^2 - 4 \cdot 7 \cdot (-45) = 676 + 1260 = 1936 = 44^2$.

$x = \frac{26 \pm 44}{14}$

$x_2 = \frac{26+44}{14} = \frac{70}{14} = 5$

$x_3 = \frac{26-44}{14} = \frac{-18}{14} = -\frac{9}{7}$

Проверяем принадлежность корней рассматриваемому промежутку $x \in [1, +\infty)$. Корень $x=5$ принадлежит этому промежутку. Корень $x=-9/7$ не принадлежит, поэтому он является посторонним для данного случая.

Случай 2: $x \in (-\infty, -\frac{5}{4}]$.

В этом случае все множители $(x+1)$, $(4x+5)$, $(2x-1)$, $(x-1)$ отрицательны. Используя свойство $\sqrt{ab} = \sqrt{-a}\sqrt{-b}$ для $a,b \le 0$, получаем:

$\sqrt{-(x+1)}\sqrt{-(4x+5)} - \sqrt{-(x+1)}\sqrt{-(2x-1)} = \sqrt{-(x+1)}\sqrt{-(x-1)}$

Сокращаем на $\sqrt{-(x+1)}$ (не равен нулю):

$\sqrt{-4x-5} - \sqrt{-2x+1} = \sqrt{-x+1}$

Правая часть неотрицательна, значит и левая должна быть неотрицательной: $\sqrt{-4x-5} \ge \sqrt{-2x+1}$, что равносильно $-4x-5 \ge -2x+1$, откуда $-2x \ge 6$, то есть $x \le -3$. Таким образом, ищем решения в интервале $(-\infty, -3]$.

Решение этого уравнения аналогично предыдущему случаю. Возведение в квадрат приводит к уравнению:

$-x-7 = 2\sqrt{2x^2-3x+1}$

Для существования решения левая часть должна быть неотрицательной: $-x-7 \ge 0$, откуда $x \le -7$. Значит, ищем решения в интервале $(-\infty, -7]$.

Возводим в квадрат: $(-x-7)^2 = 4(2x^2-3x+1)$, что дает то же самое уравнение $7x^2-26x-45=0$ с корнями $x=5$ и $x=-9/7$.

Ни один из этих корней не принадлежит промежутку $(-\infty, -7]$. Следовательно, в этом случае решений нет.

Итак, мы нашли два корня исходного уравнения: $x_1 = -1$ и $x_2 = 5$. Оба корня удовлетворяют ОДЗ.

Сумма корней уравнения равна: $-1 + 5 = 4$.

Ответ: 4

Помогло решение? Оставьте отзыв в комментариях ниже.

Присоединяйтесь к Телеграм-группе @gdz_by_belarus

Присоединиться

Мы подготовили для вас ответ c подробным объяснением домашего задания по алгебре за 11 класс, для упражнения номер 15 расположенного на странице 236 к учебнику 2020 года издания для учащихся школ и гимназий.

Теперь на нашем сайте ГДЗ.ТОП вы всегда легко и бесплатно найдёте условие с правильным ответом на вопрос «Как решить ДЗ» и «Как сделать» задание по алгебре к упражнению №15 (с. 236), авторов: Арефьева (Ирина Глебовна), Пирютко (Ольга Николаевна), учебного пособия издательства Народная асвета.