Номер 14, страница 245 - гдз по алгебре 11 класс учебник Арефьева, Пирютко

Алгебра, 11 класс Учебник, авторы: Арефьева Ирина Глебовна, Пирютко Ольга Николаевна, издательство Народная асвета, Минск, 2020, бирюзового цвета

Авторы: Арефьева И. Г., Пирютко О. Н.

Тип: Учебник

Издательство: Народная асвета

Год издания: 2020 - 2026

Цвет обложки: бирюзовый, зелёный с графиком

ISBN: 978-985-03-3165-6

Популярные ГДЗ в 11 классе

Тематические тесты. Тест 5. Тригонометрические функции - номер 14, страница 245.

№14 (с. 245)
Условие. №14 (с. 245)
скриншот условия
Алгебра, 11 класс Учебник, авторы: Арефьева Ирина Глебовна, Пирютко Ольга Николаевна, издательство Народная асвета, Минск, 2020, бирюзового цвета, страница 245, номер 14, Условие

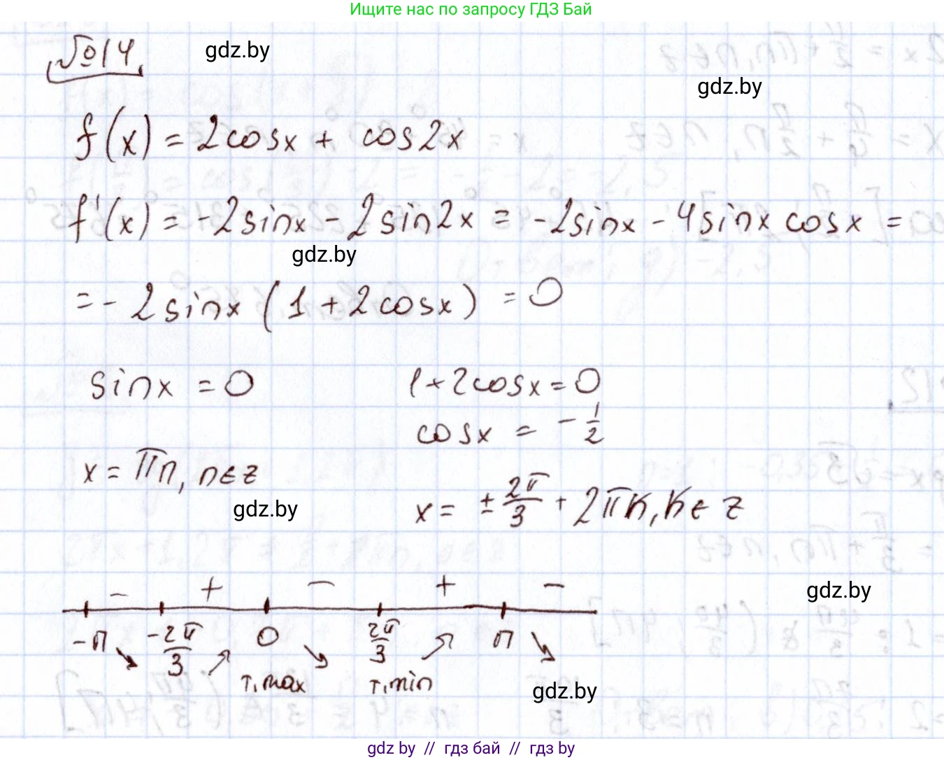
14. Найдите отношение наибольшего и наименьшего значений функции

$f(x) = 2 \cos x + \cos 2x.$

Решение. №14 (с. 245)
Алгебра, 11 класс Учебник, авторы: Арефьева Ирина Глебовна, Пирютко Ольга Николаевна, издательство Народная асвета, Минск, 2020, бирюзового цвета, страница 245, номер 14, Решение Алгебра, 11 класс Учебник, авторы: Арефьева Ирина Глебовна, Пирютко Ольга Николаевна, издательство Народная асвета, Минск, 2020, бирюзового цвета, страница 245, номер 14, Решение (продолжение 2)
Решение 2. №14 (с. 245)

Для нахождения наибольшего и наименьшего значений функции $f(x)=2 \cos x + \cos 2x$ преобразуем ее, используя формулу косинуса двойного угла: $\cos 2x = 2 \cos^2 x - 1$.

Подставим это выражение в исходную функцию:

$f(x) = 2 \cos x + (2 \cos^2 x - 1) = 2 \cos^2 x + 2 \cos x - 1$.

Чтобы найти экстремумы, введем замену переменной. Пусть $t = \cos x$. Поскольку область значений функции косинуса — это отрезок $[-1, 1]$, то новая переменная $t$ может принимать значения только из этого отрезка: $t \in [-1, 1]$.

После замены мы получаем квадратичную функцию от переменной $t$:

$g(t) = 2t^2 + 2t - 1$.

Задача сводится к нахождению наибольшего и наименьшего значений квадратичной функции $g(t)$ на отрезке $[-1, 1]$.

Графиком функции $g(t)$ является парабола, ветви которой направлены вверх, так как коэффициент при $t^2$ положителен ($a=2 > 0$). Следовательно, свое наименьшее значение на всей числовой оси функция достигает в вершине параболы.

Найдем абсциссу вершины параболы по формуле $t_0 = -\frac{b}{2a}$:

$t_0 = -\frac{2}{2 \cdot 2} = -\frac{1}{2}$.

Поскольку точка $t_0 = -1/2$ принадлежит отрезку $[-1, 1]$, то наименьшее значение функции $g(t)$ на этом отрезке будет достигаться именно в этой точке. Вычислим это значение:

$f_{min} = g(-1/2) = 2(-1/2)^2 + 2(-1/2) - 1 = 2(\frac{1}{4}) - 1 - 1 = \frac{1}{2} - 2 = -\frac{3}{2}$.

Наибольшее значение квадратичной функции на отрезке достигается на одном из его концов. Вычислим значения функции $g(t)$ в точках $t=-1$ и $t=1$:

$g(-1) = 2(-1)^2 + 2(-1) - 1 = 2 - 2 - 1 = -1$.

$g(1) = 2(1)^2 + 2(1) - 1 = 2 + 2 - 1 = 3$.

Сравнивая полученные значения, $g(-1) = -1$ и $g(1) = 3$, заключаем, что наибольшее значение функции равно 3.

$f_{max} = 3$.

Итак, наибольшее значение функции равно 3, а наименьшее равно $-3/2$.

Теперь найдем отношение наибольшего значения к наименьшему:

$\frac{f_{max}}{f_{min}} = \frac{3}{-3/2} = 3 \cdot \left(-\frac{2}{3}\right) = -2$.

Ответ: -2.

Помогло решение? Оставьте отзыв в комментариях ниже.

Присоединяйтесь к Телеграм-группе @gdz_by_belarus

Присоединиться

Мы подготовили для вас ответ c подробным объяснением домашего задания по алгебре за 11 класс, для упражнения номер 14 расположенного на странице 245 к учебнику 2020 года издания для учащихся школ и гимназий.

Теперь на нашем сайте ГДЗ.ТОП вы всегда легко и бесплатно найдёте условие с правильным ответом на вопрос «Как решить ДЗ» и «Как сделать» задание по алгебре к упражнению №14 (с. 245), авторов: Арефьева (Ирина Глебовна), Пирютко (Ольга Николаевна), учебного пособия издательства Народная асвета.