Номер 6, страница 246 - гдз по алгебре 11 класс учебник Арефьева, Пирютко

Алгебра, 11 класс Учебник, авторы: Арефьева Ирина Глебовна, Пирютко Ольга Николаевна, издательство Народная асвета, Минск, 2020, бирюзового цвета

Авторы: Арефьева И. Г., Пирютко О. Н.

Тип: Учебник

Издательство: Народная асвета

Год издания: 2020 - 2026

Цвет обложки: бирюзовый, зелёный с графиком

ISBN: 978-985-03-3165-6

Популярные ГДЗ в 11 классе

Тематические тесты. Тест 6. Тригонометрические уравнения - номер 6, страница 246.

№6 (с. 246)
Условие. №6 (с. 246)
скриншот условия
Алгебра, 11 класс Учебник, авторы: Арефьева Ирина Глебовна, Пирютко Ольга Николаевна, издательство Народная асвета, Минск, 2020, бирюзового цвета, страница 246, номер 6, Условие

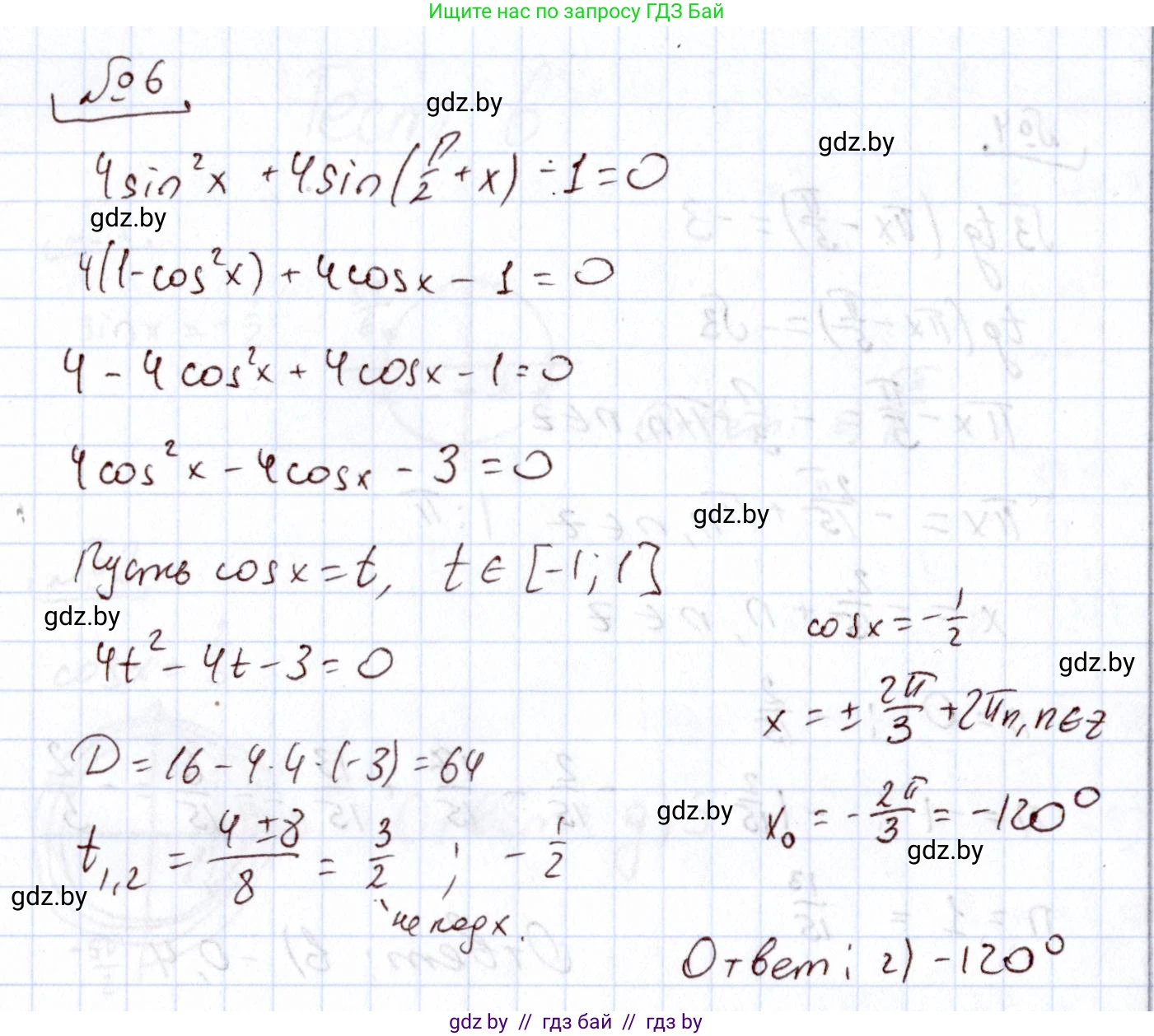
6. Найдите (в градусах) наибольший отрицательный корень уравнения

$4\sin^2 x + 4\sin\left(\frac{\pi}{2} + x\right) - 1 = 0.$

а) -30;

б) -60;

в) -150;

г) -120;

д) -180.

Решение. №6 (с. 246)
Алгебра, 11 класс Учебник, авторы: Арефьева Ирина Глебовна, Пирютко Ольга Николаевна, издательство Народная асвета, Минск, 2020, бирюзового цвета, страница 246, номер 6, Решение
Решение 2. №6 (с. 246)

Для решения данного тригонометрического уравнения $4\sin^2 x + 4\sin(\frac{\pi}{2} + x) - 1 = 0$ выполним следующие шаги:

Сначала упростим выражение $\sin(\frac{\pi}{2} + x)$, используя формулу приведения. Угол $(\frac{\pi}{2} + x)$ находится во второй четверти (если считать $x$ малым острым углом), где синус положителен. Так как в формуле присутствует $\frac{\pi}{2}$, функция синус меняется на косинус. Таким образом, $\sin(\frac{\pi}{2} + x) = \cos x$.

Подставим это в исходное уравнение:

$4\sin^2 x + 4\cos x - 1 = 0$

Теперь нам нужно привести уравнение к одной тригонометрической функции. Для этого воспользуемся основным тригонометрическим тождеством $\sin^2 x + \cos^2 x = 1$, из которого выразим $\sin^2 x = 1 - \cos^2 x$.

Заменим $\sin^2 x$ в уравнении:

$4(1 - \cos^2 x) + 4\cos x - 1 = 0$

Раскроем скобки и приведем подобные слагаемые:

$4 - 4\cos^2 x + 4\cos x - 1 = 0$

$-4\cos^2 x + 4\cos x + 3 = 0$

Для удобства умножим обе части уравнения на -1:

$4\cos^2 x - 4\cos x - 3 = 0$

Получилось квадратное уравнение относительно $\cos x$. Произведем замену переменной, пусть $t = \cos x$. Важно помнить, что значения $t$ должны лежать в промежутке $[-1, 1]$.

$4t^2 - 4t - 3 = 0$

Решим это квадратное уравнение. Найдем дискриминант:

$D = b^2 - 4ac = (-4)^2 - 4 \cdot 4 \cdot (-3) = 16 + 48 = 64$

Теперь найдем корни для $t$:

$t_1 = \frac{-b + \sqrt{D}}{2a} = \frac{4 + \sqrt{64}}{2 \cdot 4} = \frac{4 + 8}{8} = \frac{12}{8} = \frac{3}{2} = 1.5$

$t_2 = \frac{-b - \sqrt{D}}{2a} = \frac{4 - \sqrt{64}}{2 \cdot 4} = \frac{4 - 8}{8} = -\frac{4}{8} = -\frac{1}{2}$

Вернемся к замене $t = \cos x$.

Корень $t_1 = 1.5$ не подходит, так как значение косинуса не может превышать 1. Уравнение $\cos x = 1.5$ не имеет решений.

Корень $t_2 = -\frac{1}{2}$ является допустимым.

Решаем простейшее тригонометрическое уравнение:

$\cos x = -\frac{1}{2}$

Общее решение этого уравнения имеет вид $x = \pm \arccos(-\frac{1}{2}) + 2\pi n$, где $n \in \mathbb{Z}$.

Поскольку $\arccos(-\frac{1}{2}) = \frac{2\pi}{3}$ (или $120^\circ$), получаем две серии корней в градусах:

1) $x = 120^\circ + 360^\circ n$

2) $x = -120^\circ + 360^\circ n$

Нам необходимо найти наибольший отрицательный корень. Проанализируем обе серии, подставляя целые значения $n$:

Из первой серии $x = 120^\circ + 360^\circ n$:

  • при $n = 0, x = 120^\circ$ (положительный)
  • при $n = -1, x = 120^\circ - 360^\circ = -240^\circ$ (отрицательный)

Из второй серии $x = -120^\circ + 360^\circ n$:

  • при $n = 0, x = -120^\circ$ (отрицательный)
  • при $n = 1, x = -120^\circ + 360^\circ = 240^\circ$ (положительный)

Отрицательные корни, которые мы нашли, это $-120^\circ$ и $-240^\circ$. Наибольшим из этих двух отрицательных чисел является то, которое ближе к нулю, то есть $-120^\circ$.

Ответ: -120

Помогло решение? Оставьте отзыв в комментариях ниже.

Присоединяйтесь к Телеграм-группе @gdz_by_belarus

Присоединиться

Мы подготовили для вас ответ c подробным объяснением домашего задания по алгебре за 11 класс, для упражнения номер 6 расположенного на странице 246 к учебнику 2020 года издания для учащихся школ и гимназий.

Теперь на нашем сайте ГДЗ.ТОП вы всегда легко и бесплатно найдёте условие с правильным ответом на вопрос «Как решить ДЗ» и «Как сделать» задание по алгебре к упражнению №6 (с. 246), авторов: Арефьева (Ирина Глебовна), Пирютко (Ольга Николаевна), учебного пособия издательства Народная асвета.