Номер 10, страница 247 - гдз по алгебре 11 класс учебник Арефьева, Пирютко

Алгебра, 11 класс Учебник, авторы: Арефьева Ирина Глебовна, Пирютко Ольга Николаевна, издательство Народная асвета, Минск, 2020, бирюзового цвета

Авторы: Арефьева И. Г., Пирютко О. Н.

Тип: Учебник

Издательство: Народная асвета

Год издания: 2020 - 2026

Цвет обложки: бирюзовый, зелёный с графиком

ISBN: 978-985-03-3165-6

Популярные ГДЗ в 11 классе

Тематические тесты. Тест 6. Тригонометрические уравнения - номер 10, страница 247.

№10 (с. 247)
Условие. №10 (с. 247)
скриншот условия
Алгебра, 11 класс Учебник, авторы: Арефьева Ирина Глебовна, Пирютко Ольга Николаевна, издательство Народная асвета, Минск, 2020, бирюзового цвета, страница 247, номер 10, Условие

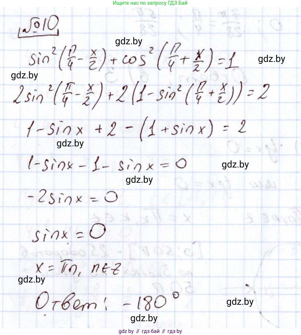
10. Найдите (в градусах) наибольший отрицательный корень уравнения

$\sin^2\left(\frac{\pi}{4}-\frac{x}{2}\right)+\cos^2\left(\frac{\pi}{4}+\frac{x}{2}\right)=1.$

Решение. №10 (с. 247)
Алгебра, 11 класс Учебник, авторы: Арефьева Ирина Глебовна, Пирютко Ольга Николаевна, издательство Народная асвета, Минск, 2020, бирюзового цвета, страница 247, номер 10, Решение
Решение 2. №10 (с. 247)

Дано уравнение:

`$\sin^2\left(\frac{\pi}{4} - \frac{x}{2}\right) + \cos^2\left(\frac{\pi}{4} + \frac{x}{2}\right) = 1$`

Для упрощения уравнения воспользуемся формулой приведения `$\cos(\alpha) = \sin\left(\frac{\pi}{2} - \alpha\right)$`. Применим её ко второму слагаемому, в котором `$\alpha = \frac{\pi}{4} + \frac{x}{2}$`:

`$\cos\left(\frac{\pi}{4} + \frac{x}{2}\right) = \sin\left(\frac{\pi}{2} - \left(\frac{\pi}{4} + \frac{x}{2}\right)\right) = \sin\left(\frac{\pi}{2} - \frac{\pi}{4} - \frac{x}{2}\right) = \sin\left(\frac{\pi}{4} - \frac{x}{2}\right)$`

Из этого следует, что `$\cos^2\left(\frac{\pi}{4} + \frac{x}{2}\right) = \sin^2\left(\frac{\pi}{4} - \frac{x}{2}\right)$`.

Теперь подставим полученное выражение в исходное уравнение:

`$\sin^2\left(\frac{\pi}{4} - \frac{x}{2}\right) + \sin^2\left(\frac{\pi}{4} - \frac{x}{2}\right) = 1$`

Сложим одинаковые слагаемые:

`$2\sin^2\left(\frac{\pi}{4} - \frac{x}{2}\right) = 1$`

Разделим обе части уравнения на 2:

`$\sin^2\left(\frac{\pi}{4} - \frac{x}{2}\right) = \frac{1}{2}$`

Извлечем квадратный корень из обеих частей:

`$\sin\left(\frac{\pi}{4} - \frac{x}{2}\right) = \pm\sqrt{\frac{1}{2}} = \pm\frac{\sqrt{2}}{2}$`

Решениями этого уравнения являются углы, для которых синус равен `$\frac{\sqrt{2}}{2}$` или `$-\frac{\sqrt{2}}{2}$`. На тригонометрической окружности этим значениям соответствуют углы вида `$\frac{\pi}{4} + \frac{k\pi}{2}$`, где `$k$` — любое целое число (`$k \in \mathbb{Z}$`).

Таким образом, получаем общее решение для аргумента синуса:

`$\frac{\pi}{4} - \frac{x}{2} = \frac{\pi}{4} + \frac{k\pi}{2}$`

Вычтем `$\frac{\pi}{4}$` из обеих частей:

`$-\frac{x}{2} = \frac{k\pi}{2}$`

Умножим обе части на -2, чтобы выразить `$x$`:

`$x = -k\pi$`

Поскольку `$k$` — любое целое число, то `$-k$` также пробегает все целые числа. Для удобства можно заменить `$-k$` на `$n$`, где `$n \in \mathbb{Z}$`:

`$x = n\pi$`

Теперь необходимо найти наибольший отрицательный корень. Для этого рассмотрим различные целые значения `$n$`. При `$n \ge 0$` корни будут неотрицательными (`$0, \pi, 2\pi, \ldots$`). Отрицательные корни получаются при `$n < 0$`. Например, при `$n=-1$` имеем `$x=-\pi$`, при `$n=-2$` имеем `$x=-2\pi$` и так далее. Ряд отрицательных корней: `$\ldots, -3\pi, -2\pi, -\pi$`. Наибольшим из них является `$x = -\pi$`.

В условии задачи требуется указать корень в градусах. Переведем найденный корень из радиан в градусы, используя соотношение `$\pi \text{ рад} = 180^\circ$`:

`$x = -\pi \text{ рад} = -180^\circ$`

Ответ: -180

Помогло решение? Оставьте отзыв в комментариях ниже.

Присоединяйтесь к Телеграм-группе @gdz_by_belarus

Присоединиться

Мы подготовили для вас ответ c подробным объяснением домашего задания по алгебре за 11 класс, для упражнения номер 10 расположенного на странице 247 к учебнику 2020 года издания для учащихся школ и гимназий.

Теперь на нашем сайте ГДЗ.ТОП вы всегда легко и бесплатно найдёте условие с правильным ответом на вопрос «Как решить ДЗ» и «Как сделать» задание по алгебре к упражнению №10 (с. 247), авторов: Арефьева (Ирина Глебовна), Пирютко (Ольга Николаевна), учебного пособия издательства Народная асвета.