Номер 4, страница 246 - гдз по алгебре 11 класс учебник Арефьева, Пирютко

Алгебра, 11 класс Учебник, авторы: Арефьева Ирина Глебовна, Пирютко Ольга Николаевна, издательство Народная асвета, Минск, 2020, бирюзового цвета

Авторы: Арефьева И. Г., Пирютко О. Н.

Тип: Учебник

Издательство: Народная асвета

Год издания: 2020 - 2026

Цвет обложки: бирюзовый, зелёный с графиком

ISBN: 978-985-03-3165-6

Популярные ГДЗ в 11 классе

Тематические тесты. Тест 6. Тригонометрические уравнения - номер 4, страница 246.

№4 (с. 246)
Условие. №4 (с. 246)
скриншот условия
Алгебра, 11 класс Учебник, авторы: Арефьева Ирина Глебовна, Пирютко Ольга Николаевна, издательство Народная асвета, Минск, 2020, бирюзового цвета, страница 246, номер 4, Условие

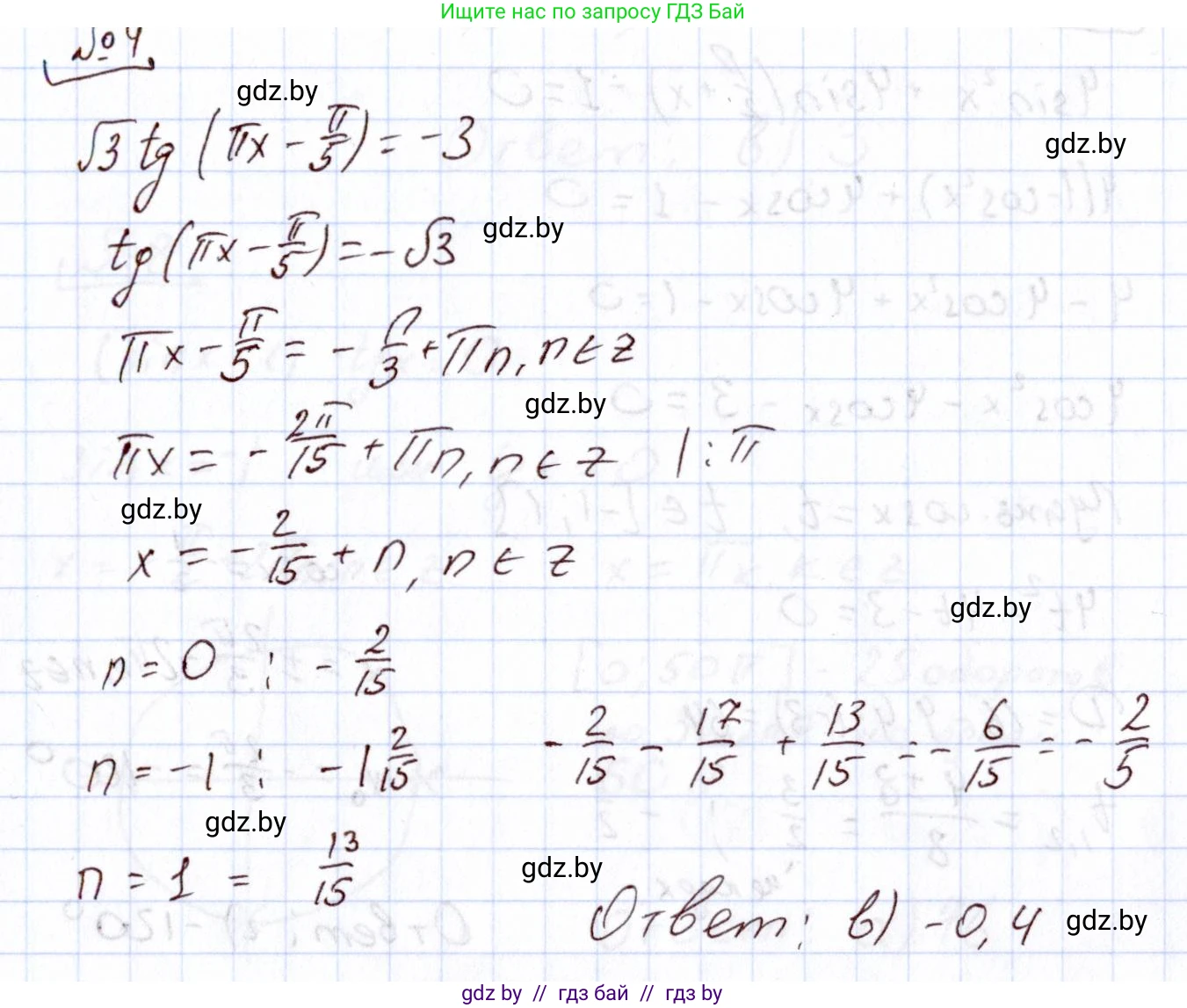
4. Найдите сумму корней уравнения $\sqrt{3}\text{tg}\left(\pi x - \frac{\pi}{5}\right) = -3$, удовлетворяющих условию $-2 < x < 1$.

а) -0,2;

б) -0,3;

в) -0,4;

г) -0,7;

д) -0,5.

Решение. №4 (с. 246)
Алгебра, 11 класс Учебник, авторы: Арефьева Ирина Глебовна, Пирютко Ольга Николаевна, издательство Народная асвета, Минск, 2020, бирюзового цвета, страница 246, номер 4, Решение
Решение 2. №4 (с. 246)

Для решения задачи сначала упростим исходное тригонометрическое уравнение: $$ \sqrt{3}\text{tg}(\pi x - \frac{\pi}{5}) = -3 $$

Разделим обе части уравнения на $\sqrt{3}$, чтобы выразить тангенс: $$ \text{tg}(\pi x - \frac{\pi}{5}) = \frac{-3}{\sqrt{3}} $$ Избавимся от иррациональности в знаменателе, умножив числитель и знаменатель на $\sqrt{3}$: $$ \text{tg}(\pi x - \frac{\pi}{5}) = \frac{-3\sqrt{3}}{(\sqrt{3})^2} = \frac{-3\sqrt{3}}{3} = -\sqrt{3} $$

Общее решение уравнения вида $\text{tg}(A) = B$ находится по формуле $A = \text{arctg}(B) + \pi n$, где $n \in \mathbb{Z}$ (n — любое целое число). В нашем случае аргумент $A = \pi x - \frac{\pi}{5}$, а значение $B = -\sqrt{3}$. Мы знаем, что $\text{arctg}(-\sqrt{3}) = -\frac{\pi}{3}$. Подставим эти значения в формулу: $$ \pi x - \frac{\pi}{5} = -\frac{\pi}{3} + \pi n, \quad n \in \mathbb{Z} $$

Теперь выразим $x$. Для этого сначала перенесем $-\frac{\pi}{5}$ в правую часть уравнения: $$ \pi x = \frac{\pi}{5} - \frac{\pi}{3} + \pi n $$ Приведем дроби к общему знаменателю 15: $$ \pi x = \frac{3\pi}{15} - \frac{5\pi}{15} + \pi n $$ $$ \pi x = -\frac{2\pi}{15} + \pi n $$ Разделим обе части на $\pi$, чтобы найти $x$: $$ x = -\frac{2}{15} + n, \quad n \in \mathbb{Z} $$ Это общая формула для всех корней уравнения.

Далее, согласно условию, нам нужно найти только те корни, которые лежат в интервале $-2 < x < 1$. Подставим выражение для $x$ в это двойное неравенство: $$ -2 < -\frac{2}{15} + n < 1 $$ Чтобы найти возможные целые значения $n$, прибавим $\frac{2}{15}$ ко всем частям неравенства: $$ -2 + \frac{2}{15} < n < 1 + \frac{2}{15} $$ $$ -\frac{30}{15} + \frac{2}{15} < n < \frac{15}{15} + \frac{2}{15} $$ $$ -\frac{28}{15} < n < \frac{17}{15} $$ В виде десятичных дробей это неравенство выглядит так: $-1,866... < n < 1,133...$. Целые числа, которые находятся в этом интервале: $n = -1$, $n = 0$ и $n = 1$.

Теперь найдем конкретные значения корней $x$, подставляя найденные значения $n$.
При $n = -1$: $x_1 = -\frac{2}{15} + (-1) = -\frac{2}{15} - \frac{15}{15} = -\frac{17}{15}$.
При $n = 0$: $x_2 = -\frac{2}{15} + 0 = -\frac{2}{15}$.
При $n = 1$: $x_3 = -\frac{2}{15} + 1 = \frac{13}{15}$.
Таким образом, мы получили три корня, удовлетворяющих заданному условию.

Последний шаг — найти сумму этих корней: $$ S = x_1 + x_2 + x_3 = \left(-\frac{17}{15}\right) + \left(-\frac{2}{15}\right) + \left(\frac{13}{15}\right) $$ $$ S = \frac{-17 - 2 + 13}{15} = \frac{-19 + 13}{15} = \frac{-6}{15} $$ Сократим дробь, разделив числитель и знаменатель на 3: $$ S = -\frac{2}{5} $$ Переведем в десятичную дробь: $S = -0,4$.

Ответ: -0,4

Помогло решение? Оставьте отзыв в комментариях ниже.

Присоединяйтесь к Телеграм-группе @gdz_by_belarus

Присоединиться

Мы подготовили для вас ответ c подробным объяснением домашего задания по алгебре за 11 класс, для упражнения номер 4 расположенного на странице 246 к учебнику 2020 года издания для учащихся школ и гимназий.

Теперь на нашем сайте ГДЗ.ТОП вы всегда легко и бесплатно найдёте условие с правильным ответом на вопрос «Как решить ДЗ» и «Как сделать» задание по алгебре к упражнению №4 (с. 246), авторов: Арефьева (Ирина Глебовна), Пирютко (Ольга Николаевна), учебного пособия издательства Народная асвета.