Номер 7, страница 246 - гдз по алгебре 11 класс учебник Арефьева, Пирютко

Алгебра, 11 класс Учебник, авторы: Арефьева Ирина Глебовна, Пирютко Ольга Николаевна, издательство Народная асвета, Минск, 2020, бирюзового цвета

Авторы: Арефьева И. Г., Пирютко О. Н.

Тип: Учебник

Издательство: Народная асвета

Год издания: 2020 - 2026

Цвет обложки: бирюзовый, зелёный с графиком

ISBN: 978-985-03-3165-6

Популярные ГДЗ в 11 классе

Тематические тесты. Тест 6. Тригонометрические уравнения - номер 7, страница 246.

№7 (с. 246)
Условие. №7 (с. 246)
скриншот условия
Алгебра, 11 класс Учебник, авторы: Арефьева Ирина Глебовна, Пирютко Ольга Николаевна, издательство Народная асвета, Минск, 2020, бирюзового цвета, страница 246, номер 7, Условие

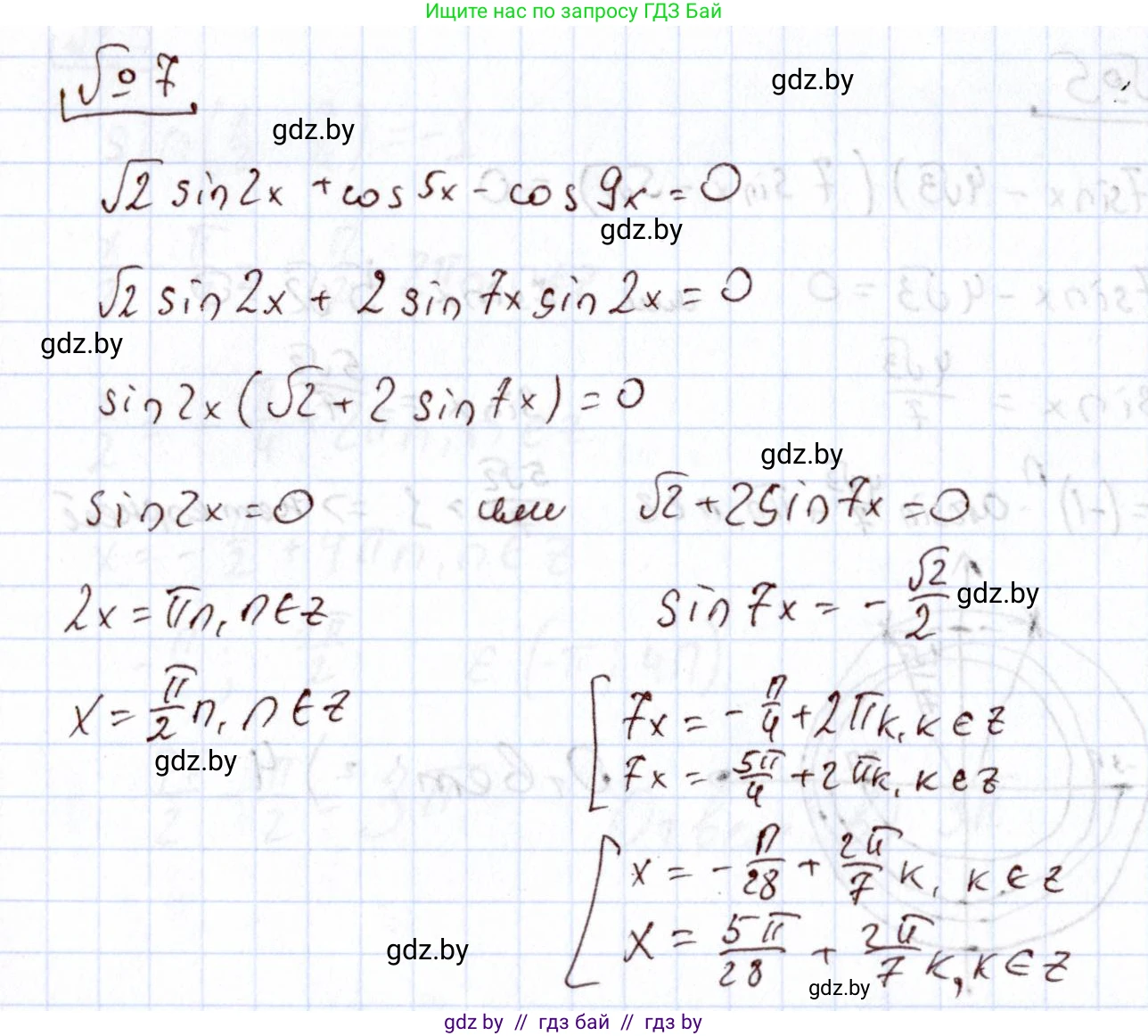
7. Найдите число корней уравнения $\sqrt{2} \sin 2x + \cos 5x - \cos 9x = 0$, принадлежащих промежутку $[0; \frac{\pi}{3}]$.

а) 1;

б) 2;

в) 3;

г) 4;

д) 5.

Решение. №7 (с. 246)
Алгебра, 11 класс Учебник, авторы: Арефьева Ирина Глебовна, Пирютко Ольга Николаевна, издательство Народная асвета, Минск, 2020, бирюзового цвета, страница 246, номер 7, Решение Алгебра, 11 класс Учебник, авторы: Арефьева Ирина Глебовна, Пирютко Ольга Николаевна, издательство Народная асвета, Минск, 2020, бирюзового цвета, страница 246, номер 7, Решение (продолжение 2)
Решение 2. №7 (с. 246)

Решение:
Исходное уравнение: $\sqrt{2} \sin(2x) + \cos(5x) - \cos(9x) = 0$.
Для преобразования разности косинусов воспользуемся формулой: $\cos \alpha - \cos \beta = -2 \sin\left(\frac{\alpha + \beta}{2}\right) \sin\left(\frac{\alpha - \beta}{2}\right)$.
Применим эту формулу к выражению $\cos(5x) - \cos(9x)$: $\cos(5x) - \cos(9x) = -2 \sin\left(\frac{5x + 9x}{2}\right) \sin\left(\frac{5x - 9x}{2}\right) = -2 \sin(7x) \sin(-2x)$.
Так как синус является нечетной функцией, $\sin(-2x) = -\sin(2x)$. Тогда: $\cos(5x) - \cos(9x) = -2 \sin(7x) (-\sin(2x)) = 2 \sin(7x) \sin(2x)$.
Подставим полученное выражение обратно в исходное уравнение: $\sqrt{2} \sin(2x) + 2 \sin(7x) \sin(2x) = 0$.
Вынесем общий множитель $\sin(2x)$ за скобки: $\sin(2x) (\sqrt{2} + 2 \sin(7x)) = 0$.
Произведение равно нулю, если хотя бы один из множителей равен нулю. Получаем два уравнения:
1) $\sin(2x) = 0$
2) $\sqrt{2} + 2 \sin(7x) = 0$

Решим каждое уравнение и найдем количество корней, принадлежащих промежутку $[0; \frac{\pi}{3}]$.

1. Решение уравнения $\sin(2x) = 0$:
Общее решение имеет вид $2x = k\pi$, где $k \in \mathbb{Z}$.
Отсюда $x = \frac{k\pi}{2}$.
Найдем значения $k$, при которых корни принадлежат промежутку $[0; \frac{\pi}{3}]$: $0 \le \frac{k\pi}{2} \le \frac{\pi}{3}$.
Разделив на $\pi$, получим: $0 \le \frac{k}{2} \le \frac{1}{3}$.
Умножив на 2, получим: $0 \le k \le \frac{2}{3}$.
Единственное целое число $k$, удовлетворяющее этому неравенству, — это $k=0$.
При $k=0$ получаем корень $x_1 = 0$. Этот корень принадлежит заданному промежутку.
Таким образом, из первого уравнения мы получили один корень.

2. Решение уравнения $\sqrt{2} + 2 \sin(7x) = 0$:
$2 \sin(7x) = -\sqrt{2}$
$\sin(7x) = -\frac{\sqrt{2}}{2}$
Общие решения этого уравнения можно представить в виде двух серий:
а) $7x = -\frac{\pi}{4} + 2n\pi$, где $n \in \mathbb{Z} \implies x = -\frac{\pi}{28} + \frac{2n\pi}{7}$
б) $7x = \frac{5\pi}{4} + 2n\pi$, где $n \in \mathbb{Z} \implies x = \frac{5\pi}{28} + \frac{2n\pi}{7}$

а) Для серии $x = -\frac{\pi}{28} + \frac{2n\pi}{7}$:
Найдем корни на промежутке $[0; \frac{\pi}{3}]$: $0 \le -\frac{\pi}{28} + \frac{2n\pi}{7} \le \frac{\pi}{3}$.
$0 \le \frac{-1+8n}{28}\pi \le \frac{\pi}{3}$.
$0 \le \frac{-1+8n}{28} \le \frac{1}{3}$.
Из левого неравенства $0 \le -1+8n$ следует $n \ge \frac{1}{8}$.
Из правого неравенства $\frac{-1+8n}{28} \le \frac{1}{3}$ следует $3(-1+8n) \le 28 \implies -3+24n \le 28 \implies 24n \le 31 \implies n \le \frac{31}{24} \approx 1.29$.
Таким образом, $\frac{1}{8} \le n \le \frac{31}{24}$. Единственное целое значение $n$ — это $n=1$.
При $n=1$ получаем корень $x_2 = -\frac{\pi}{28} + \frac{2\pi}{7} = \frac{-\pi+8\pi}{28} = \frac{7\pi}{28} = \frac{\pi}{4}$. Этот корень принадлежит промежутку $[0; \frac{\pi}{3}]$.

б) Для серии $x = \frac{5\pi}{28} + \frac{2n\pi}{7}$:
Найдем корни на промежутке $[0; \frac{\pi}{3}]$: $0 \le \frac{5\pi}{28} + \frac{2n\pi}{7} \le \frac{\pi}{3}$.
$0 \le \frac{5+8n}{28}\pi \le \frac{\pi}{3}$.
$0 \le \frac{5+8n}{28} \le \frac{1}{3}$.
Из левого неравенства $0 \le 5+8n$ следует $n \ge -\frac{5}{8}$.
Из правого неравенства $\frac{5+8n}{28} \le \frac{1}{3}$ следует $3(5+8n) \le 28 \implies 15+24n \le 28 \implies 24n \le 13 \implies n \le \frac{13}{24} \approx 0.54$.
Таким образом, $-\frac{5}{8} \le n \le \frac{13}{24}$. Единственное целое значение $n$ — это $n=0$.
При $n=0$ получаем корень $x_3 = \frac{5\pi}{28}$. Этот корень принадлежит промежутку $[0; \frac{\pi}{3}]$, так как $\frac{5}{28} < \frac{1}{3}$.

Таким образом, из второго уравнения мы получили два корня.

Всего мы нашли три различных корня ($0$, $\frac{\pi}{4}$ и $\frac{5\pi}{28}$), принадлежащих промежутку $[0; \frac{\pi}{3}]$.

Ответ: 3

Помогло решение? Оставьте отзыв в комментариях ниже.

Присоединяйтесь к Телеграм-группе @gdz_by_belarus

Присоединиться

Мы подготовили для вас ответ c подробным объяснением домашего задания по алгебре за 11 класс, для упражнения номер 7 расположенного на странице 246 к учебнику 2020 года издания для учащихся школ и гимназий.

Теперь на нашем сайте ГДЗ.ТОП вы всегда легко и бесплатно найдёте условие с правильным ответом на вопрос «Как решить ДЗ» и «Как сделать» задание по алгебре к упражнению №7 (с. 246), авторов: Арефьева (Ирина Глебовна), Пирютко (Ольга Николаевна), учебного пособия издательства Народная асвета.