Номер 28.2, страница 129 - гдз по алгебре 7-9 класс сборник задач Арефьева, Пирютко
Авторы: Арефьева И. Г., Пирютко О. Н.
Тип: Сборник задач
Издательство: Народная асвета
Год издания: 2020 - 2026
Цвет обложки: синий с графиками
Допущено Министерством образования Республики Беларусь
Популярные ГДЗ в 7 классе
8 класс. Параграф 28. Решение целых рациональных уравнений, сводящихся к квадратным уравнениям - номер 28.2, страница 129.
№28.2 (с. 129)
Условие. №28.2 (с. 129)
скриншот условия
28.2. Решите уравнение двумя способами:
а) $(x-1)^2-5(x-1)-6=0;$
б) $(x^2+5)^2-2(x^2+5)-15=0.$
Решение. №28.2 (с. 129)
Решение 2. №28.2 (с. 129)
а) $(x-1)^2 - 5(x-1) - 6 = 0$
Способ 1: Метод замены переменной.
Этот тип уравнений удобно решать, вводя новую переменную. Пусть $t = x - 1$. Тогда исходное уравнение можно переписать в виде квадратного уравнения относительно $t$:
$t^2 - 5t - 6 = 0$
Решим это уравнение. Можно использовать формулу корней квадратного уравнения или теорему Виета. По теореме Виета, сумма корней $t_1 + t_2 = 5$, а их произведение $t_1 \cdot t_2 = -6$. Легко подобрать корни:
$t_1 = 6$ и $t_2 = -1$.
Теперь выполним обратную замену, чтобы найти значения $x$:
1) Если $t = 6$, то $x - 1 = 6$. Отсюда $x_1 = 6 + 1 = 7$.
2) Если $t = -1$, то $x - 1 = -1$. Отсюда $x_2 = -1 + 1 = 0$.
Способ 2: Раскрытие скобок.
Второй способ заключается в том, чтобы раскрыть все скобки и привести уравнение к стандартному виду квадратного уравнения $ax^2 + bx + c = 0$.
Раскроем скобки в уравнении $(x - 1)^2 - 5(x - 1) - 6 = 0$:
$(x^2 - 2x + 1) - (5x - 5) - 6 = 0$
$x^2 - 2x + 1 - 5x + 5 - 6 = 0$
Приведем подобные слагаемые:
$x^2 + (-2x - 5x) + (1 + 5 - 6) = 0$
$x^2 - 7x = 0$
Это неполное квадратное уравнение. Вынесем общий множитель $x$ за скобки:
$x(x - 7) = 0$
Произведение равно нулю, когда хотя бы один из множителей равен нулю:
$x_1 = 0$ или $x - 7 = 0$, что дает $x_2 = 7$.
Оба способа приводят к одинаковым корням.
Ответ: 0; 7.
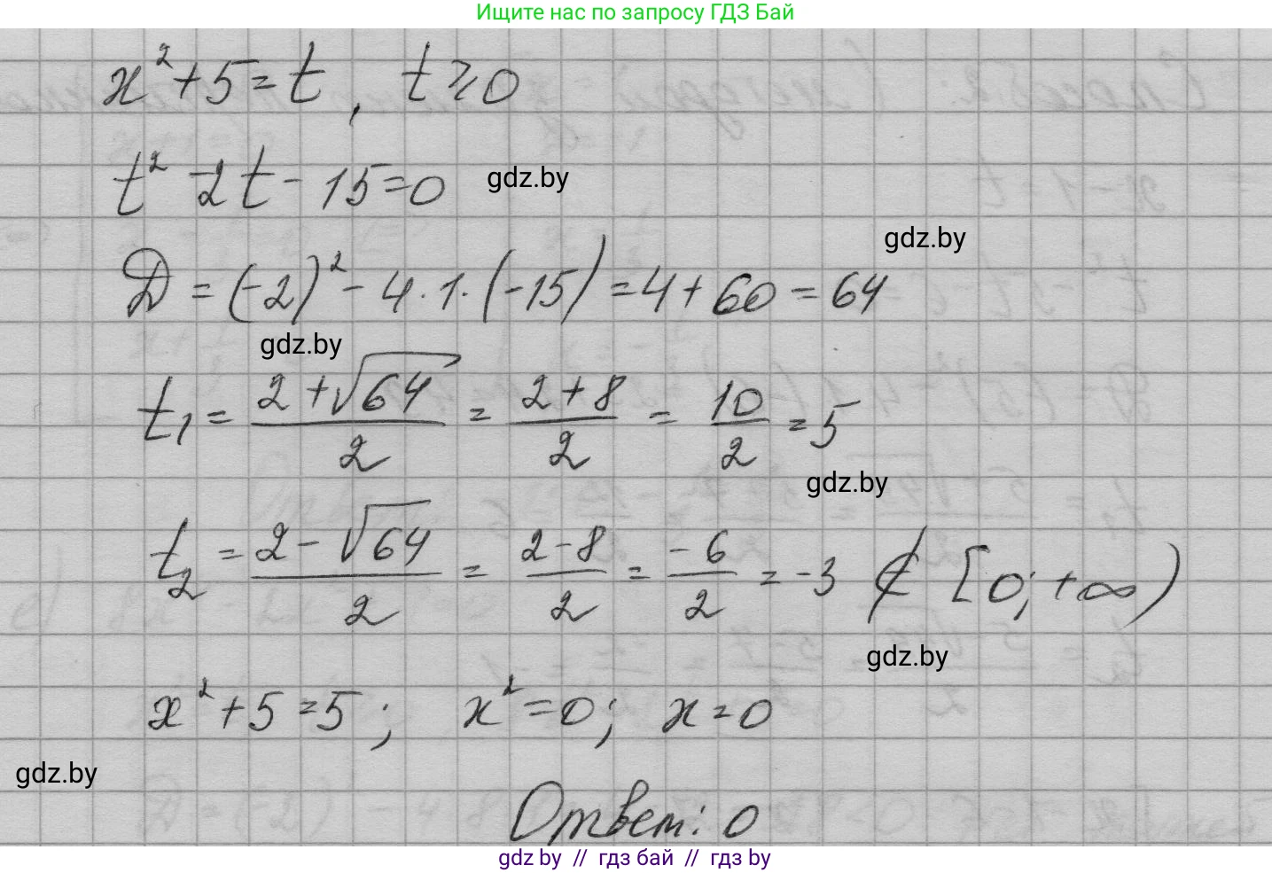
б) $(x^2+5)^2 - 2(x^2+5) - 15 = 0$
Способ 1: Метод замены переменной.
Это биквадратное уравнение, которое также эффективно решается заменой переменной. Пусть $t = x^2 + 5$. Тогда уравнение принимает вид:
$t^2 - 2t - 15 = 0$
Решим полученное квадратное уравнение относительно $t$. По теореме Виета, $t_1 + t_2 = 2$ и $t_1 \cdot t_2 = -15$. Корнями являются:
$t_1 = 5$ и $t_2 = -3$.
Выполним обратную замену:
1) Если $t = 5$, то $x^2 + 5 = 5$.
$x^2 = 0$
$x = 0$
2) Если $t = -3$, то $x^2 + 5 = -3$.
$x^2 = -8$
Данное уравнение не имеет действительных корней, так как квадрат любого действительного числа не может быть отрицательным ($x^2 \ge 0$).
Способ 2: Раскрытие скобок.
Раскроем скобки и приведем подобные слагаемые, чтобы получить уравнение в стандартном виде.
$(x^2 + 5)^2 - 2(x^2 + 5) - 15 = 0$
$(x^4 + 10x^2 + 25) - (2x^2 + 10) - 15 = 0$
$x^4 + 10x^2 + 25 - 2x^2 - 10 - 15 = 0$
Приведем подобные члены:
$x^4 + (10x^2 - 2x^2) + (25 - 10 - 15) = 0$
$x^4 + 8x^2 = 0$
Вынесем общий множитель $x^2$ за скобки:
$x^2(x^2 + 8) = 0$
Произведение равно нулю, если один из множителей равен нулю:
1) $x^2 = 0$, откуда $x = 0$.
2) $x^2 + 8 = 0$, откуда $x^2 = -8$. Это уравнение не имеет действительных корней, так как $x^2$ всегда неотрицательно.
Таким образом, единственным решением уравнения является $x=0$.
Ответ: 0.
Другие задания:
Помогло решение? Оставьте отзыв в комментариях ниже.
Присоединяйтесь к Телеграм-группе @gdz_by_belarus
ПрисоединитьсяМы подготовили для вас ответ c подробным объяснением домашего задания по алгебре за 7-9 класс, для упражнения номер 28.2 расположенного на странице 129 к сборнику задач 2020 года издания для учащихся школ и гимназий.
Теперь на нашем сайте ГДЗ.ТОП вы всегда легко и бесплатно найдёте условие с правильным ответом на вопрос «Как решить ДЗ» и «Как сделать» задание по алгебре к упражнению №28.2 (с. 129), авторов: Арефьева (Ирина Глебовна), Пирютко (Ольга Николаевна), учебного пособия издательства Народная асвета.