Номер 28.5, страница 129 - гдз по алгебре 7-9 класс сборник задач Арефьева, Пирютко

Алгебра, 7-9 класс Сборник задач, авторы: Арефьева Ирина Глебовна, Пирютко Ольга Николаевна, издательство Народная асвета, Минск, 2020

Авторы: Арефьева И. Г., Пирютко О. Н.

Тип: Сборник задач

Издательство: Народная асвета

Год издания: 2020 - 2026

Цвет обложки: синий с графиками

Допущено Министерством образования Республики Беларусь

Популярные ГДЗ в 7 классе

8 класс. Параграф 28. Решение целых рациональных уравнений, сводящихся к квадратным уравнениям - номер 28.5, страница 129.

№28.5 (с. 129)
Условие. №28.5 (с. 129)
скриншот условия
Алгебра, 7-9 класс Сборник задач, авторы: Арефьева Ирина Глебовна, Пирютко Ольга Николаевна, издательство Народная асвета, Минск, 2020, страница 129, номер 28.5, Условие

28.5*. Решите уравнение:

а) $(x^2 - 2x)^2 - 8x^2 + 16x + 7 = 0;$

б) $(x^2 - 5x)^2 - 2x^2 + 10x - 24 = 0;$

в) $(x^2 - 2x - 5)^2 - 2x^2 + 4x + 7 = 0;$

г) $(x^2 - 5x - 23)^2 - 2x^2 - 10x + 47 = 0.$

Решение. №28.5 (с. 129)
Алгебра, 7-9 класс Сборник задач, авторы: Арефьева Ирина Глебовна, Пирютко Ольга Николаевна, издательство Народная асвета, Минск, 2020, страница 129, номер 28.5, Решение Алгебра, 7-9 класс Сборник задач, авторы: Арефьева Ирина Глебовна, Пирютко Ольга Николаевна, издательство Народная асвета, Минск, 2020, страница 129, номер 28.5, Решение (продолжение 2)
Решение 2. №28.5 (с. 129)

а) $(x^2 - 2x)^2 - 8x^2 + 16x + 7 = 0$

Сгруппируем слагаемые, чтобы выделить общий множитель. Заметим, что $-8x^2 + 16x = -8(x^2 - 2x)$.

Перепишем уравнение в виде: $(x^2 - 2x)^2 - 8(x^2 - 2x) + 7 = 0$.

Это уравнение является квадратным относительно выражения $(x^2 - 2x)$. Сделаем замену переменной: пусть $t = x^2 - 2x$.

Получаем уравнение: $t^2 - 8t + 7 = 0$.

Решим это квадратное уравнение. По теореме Виета, его корни $t_1 = 1$ и $t_2 = 7$.

Теперь выполним обратную замену для каждого из найденных значений $t$.

1. При $t=1$:
$x^2 - 2x = 1$
$x^2 - 2x - 1 = 0$
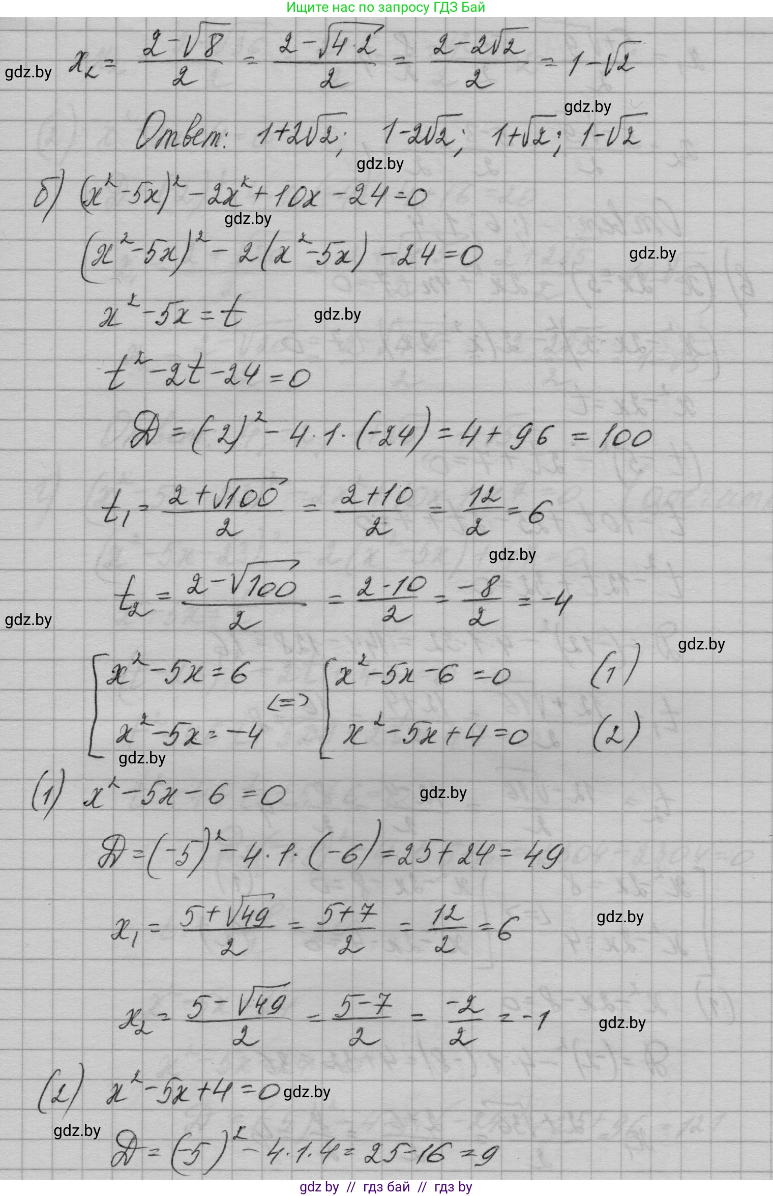
Найдем дискриминант: $D = (-2)^2 - 4 \cdot 1 \cdot (-1) = 4 + 4 = 8$.
Корни уравнения: $x = \frac{2 \pm \sqrt{8}}{2} = \frac{2 \pm 2\sqrt{2}}{2} = 1 \pm \sqrt{2}$.

2. При $t=7$:
$x^2 - 2x = 7$
$x^2 - 2x - 7 = 0$
Найдем дискриминант: $D = (-2)^2 - 4 \cdot 1 \cdot (-7) = 4 + 28 = 32$.
Корни уравнения: $x = \frac{2 \pm \sqrt{32}}{2} = \frac{2 \pm 4\sqrt{2}}{2} = 1 \pm 2\sqrt{2}$.

Таким образом, исходное уравнение имеет четыре корня.

Ответ: $1 \pm \sqrt{2}; 1 \pm 2\sqrt{2}$.

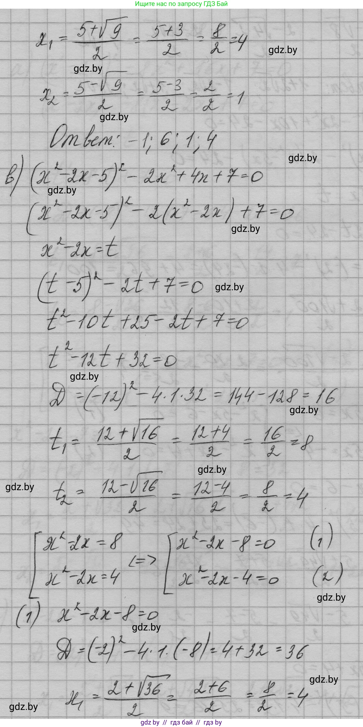
б) $(x^2 - 5x)^2 - 2x^2 + 10x - 24 = 0$

Преобразуем уравнение, вынеся за скобки общий множитель: $(x^2 - 5x)^2 - 2(x^2 - 5x) - 24 = 0$.

Введем новую переменную $t = x^2 - 5x$. Уравнение примет вид:

$t^2 - 2t - 24 = 0$.

Решим полученное квадратное уравнение. Дискриминант $D = (-2)^2 - 4 \cdot 1 \cdot (-24) = 4 + 96 = 100$.

Корни для $t$:
$t_1 = \frac{2 - \sqrt{100}}{2} = \frac{2 - 10}{2} = -4$.
$t_2 = \frac{2 + \sqrt{100}}{2} = \frac{2 + 10}{2} = 6$.

Выполним обратную замену.

1. При $t=-4$:
$x^2 - 5x = -4$
$x^2 - 5x + 4 = 0$
По теореме Виета, корни этого уравнения $x_1 = 1$ и $x_2 = 4$.

2. При $t=6$:
$x^2 - 5x = 6$
$x^2 - 5x - 6 = 0$
По теореме Виета, корни этого уравнения $x_3 = 6$ и $x_4 = -1$.

Ответ: $-1; 1; 4; 6$.

в) $(x^2 - 2x - 5)^2 - 2x^2 + 4x + 7 = 0$

Сгруппируем слагаемые: $(x^2 - 2x - 5)^2 - 2(x^2 - 2x) + 7 = 0$.

Введем замену $t = x^2 - 2x$. Уравнение преобразуется к виду:

$(t - 5)^2 - 2t + 7 = 0$.

Раскроем скобки и приведем подобные слагаемые:

$t^2 - 10t + 25 - 2t + 7 = 0$
$t^2 - 12t + 32 = 0$.

По теореме Виета, корни этого уравнения $t_1 = 4$ и $t_2 = 8$.

Выполним обратную замену.

1. При $t=4$:
$x^2 - 2x = 4$
$x^2 - 2x - 4 = 0$
Дискриминант $D = (-2)^2 - 4 \cdot 1 \cdot (-4) = 4 + 16 = 20$.
Корни: $x = \frac{2 \pm \sqrt{20}}{2} = \frac{2 \pm 2\sqrt{5}}{2} = 1 \pm \sqrt{5}$.

2. При $t=8$:
$x^2 - 2x = 8$
$x^2 - 2x - 8 = 0$
По теореме Виета, корни $x_3 = 4$ и $x_4 = -2$.

Ответ: $-2; 4; 1 - \sqrt{5}; 1 + \sqrt{5}$.

г) $(x^2 - 5x - 23)^2 - 2x^2 + 10x + 47 = 0$

Вынесем за скобки общий множитель: $(x^2 - 5x - 23)^2 - 2(x^2 - 5x) + 47 = 0$.

Сделаем замену $t = x^2 - 5x$.

$(t - 23)^2 - 2t + 47 = 0$.

Раскроем скобки и решим полученное уравнение:

$t^2 - 46t + 529 - 2t + 47 = 0$
$t^2 - 48t + 576 = 0$.

Заметим, что левая часть является полным квадратом: $(t - 24)^2 = 0$.

Отсюда следует, что $t - 24 = 0$, то есть $t = 24$.

Выполним обратную замену:

$x^2 - 5x = 24$
$x^2 - 5x - 24 = 0$.

По теореме Виета, корни этого уравнения $x_1 = 8$ и $x_2 = -3$.

Ответ: $-3; 8$.

Помогло решение? Оставьте отзыв в комментариях ниже.

Присоединяйтесь к Телеграм-группе @gdz_by_belarus

Присоединиться

Мы подготовили для вас ответ c подробным объяснением домашего задания по алгебре за 7-9 класс, для упражнения номер 28.5 расположенного на странице 129 к сборнику задач 2020 года издания для учащихся школ и гимназий.

Теперь на нашем сайте ГДЗ.ТОП вы всегда легко и бесплатно найдёте условие с правильным ответом на вопрос «Как решить ДЗ» и «Как сделать» задание по алгебре к упражнению №28.5 (с. 129), авторов: Арефьева (Ирина Глебовна), Пирютко (Ольга Николаевна), учебного пособия издательства Народная асвета.