Номер 28.8, страница 130 - гдз по алгебре 7-9 класс сборник задач Арефьева, Пирютко

Алгебра, 7-9 класс Сборник задач, авторы: Арефьева Ирина Глебовна, Пирютко Ольга Николаевна, издательство Народная асвета, Минск, 2020

Авторы: Арефьева И. Г., Пирютко О. Н.

Тип: Сборник задач

Издательство: Народная асвета

Год издания: 2020 - 2026

Цвет обложки: синий с графиками

Допущено Министерством образования Республики Беларусь

Популярные ГДЗ в 7 классе

8 класс. Параграф 28. Решение целых рациональных уравнений, сводящихся к квадратным уравнениям - номер 28.8, страница 130.

№28.8 (с. 130)
Условие. №28.8 (с. 130)
скриншот условия
Алгебра, 7-9 класс Сборник задач, авторы: Арефьева Ирина Глебовна, Пирютко Ольга Николаевна, издательство Народная асвета, Минск, 2020, страница 130, номер 28.8, Условие

28.8*. Выполните замену переменной и решите уравнение:

a) $(x^2 - 2x)^2 - (x - 1)^2 = 55$;

б) $(x^2 + 4x)^2 + 8(x + 2)^2 = 17$;

В) $(x^2 + 2x)^2 - 3(x + 1)^2 = 37$.

Решение. №28.8 (с. 130)
Алгебра, 7-9 класс Сборник задач, авторы: Арефьева Ирина Глебовна, Пирютко Ольга Николаевна, издательство Народная асвета, Минск, 2020, страница 130, номер 28.8, Решение Алгебра, 7-9 класс Сборник задач, авторы: Арефьева Ирина Глебовна, Пирютко Ольга Николаевна, издательство Народная асвета, Минск, 2020, страница 130, номер 28.8, Решение (продолжение 2)
Решение 2. №28.8 (с. 130)

а) $(x^2 - 2x)^2 - (x - 1)^2 = 55$

Раскроем вторую скобку по формуле квадрата разности: $(x - 1)^2 = x^2 - 2x + 1$.

Подставим это выражение в исходное уравнение:

$(x^2 - 2x)^2 - (x^2 - 2x + 1) = 55$

Выполним замену переменной. Пусть $t = x^2 - 2x$. Тогда уравнение примет вид:

$t^2 - (t + 1) = 55$

$t^2 - t - 1 - 55 = 0$

$t^2 - t - 56 = 0$

Решим полученное квадратное уравнение относительно $t$. По теореме Виета:

$t_1 + t_2 = 1$

$t_1 \cdot t_2 = -56$

Подбором находим корни: $t_1 = 8$ и $t_2 = -7$.

Теперь выполним обратную замену для каждого найденного значения $t$.

1) Если $t = 8$, то:

$x^2 - 2x = 8$

$x^2 - 2x - 8 = 0$

По теореме Виета, корни этого уравнения: $x_1 = 4$ и $x_2 = -2$.

2) Если $t = -7$, то:

$x^2 - 2x = -7$

$x^2 - 2x + 7 = 0$

Найдем дискриминант: $D = (-2)^2 - 4 \cdot 1 \cdot 7 = 4 - 28 = -24$.

Так как $D < 0$, в этом случае действительных корней нет.

Ответ: $4; -2$.

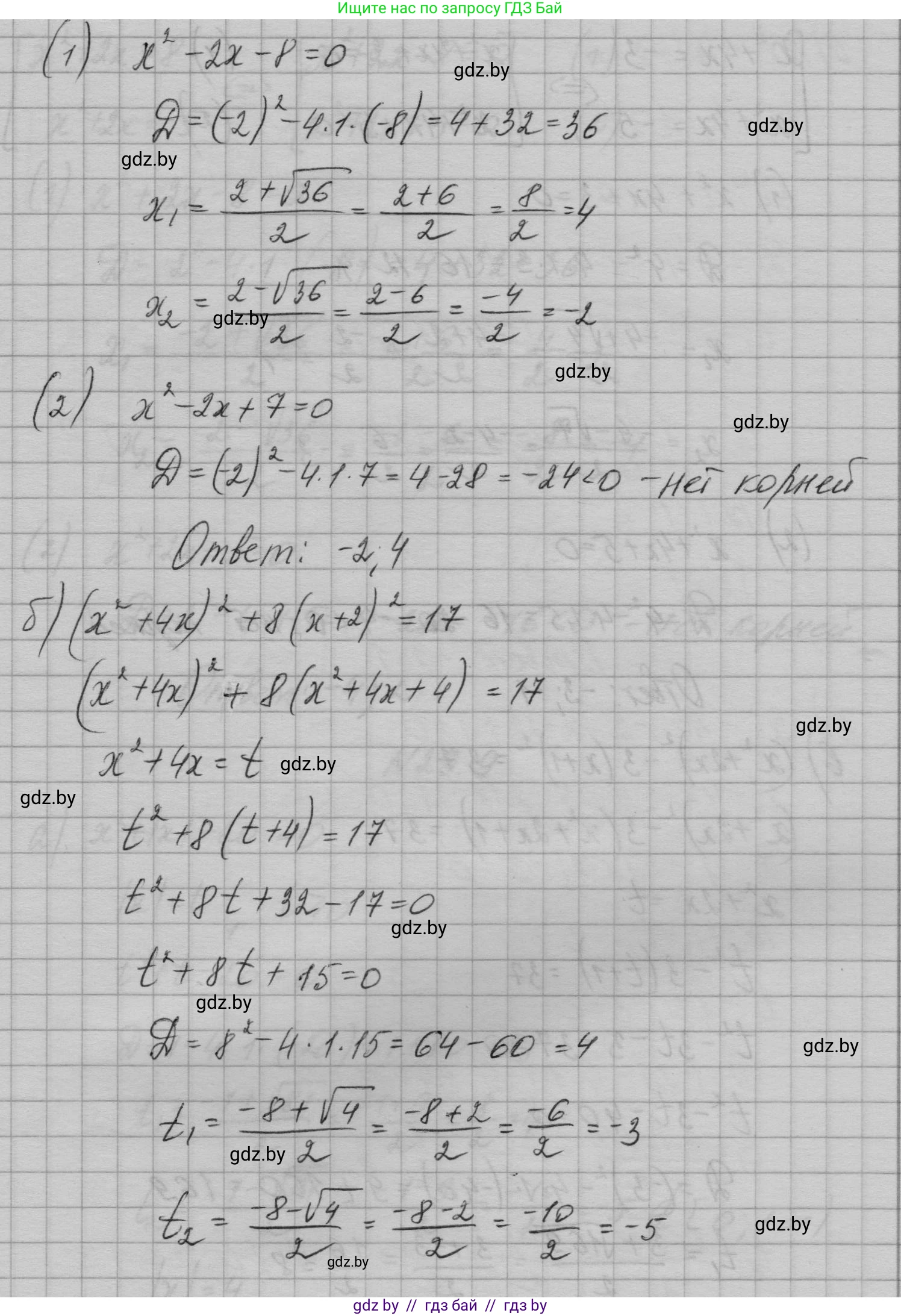
б) $(x^2 + 4x)^2 + 8(x + 2)^2 = 17$

Раскроем вторую скобку по формуле квадрата суммы: $(x + 2)^2 = x^2 + 4x + 4$.

Подставим это выражение в исходное уравнение:

$(x^2 + 4x)^2 + 8(x^2 + 4x + 4) = 17$

Выполним замену переменной. Пусть $t = x^2 + 4x$. Тогда уравнение примет вид:

$t^2 + 8(t + 4) = 17$

$t^2 + 8t + 32 - 17 = 0$

$t^2 + 8t + 15 = 0$

Решим полученное квадратное уравнение относительно $t$. По теореме Виета:

$t_1 + t_2 = -8$

$t_1 \cdot t_2 = 15$

Подбором находим корни: $t_1 = -3$ и $t_2 = -5$.

Теперь выполним обратную замену для каждого найденного значения $t$.

1) Если $t = -3$, то:

$x^2 + 4x = -3$

$x^2 + 4x + 3 = 0$

По теореме Виета, корни этого уравнения: $x_1 = -1$ и $x_2 = -3$.

2) Если $t = -5$, то:

$x^2 + 4x = -5$

$x^2 + 4x + 5 = 0$

Найдем дискриминант: $D = 4^2 - 4 \cdot 1 \cdot 5 = 16 - 20 = -4$.

Так как $D < 0$, в этом случае действительных корней нет.

Ответ: $-1; -3$.

в) $(x^2 + 2x)^2 - 3(x + 1)^2 = 37$

Раскроем вторую скобку по формуле квадрата суммы: $(x + 1)^2 = x^2 + 2x + 1$.

Подставим это выражение в исходное уравнение:

$(x^2 + 2x)^2 - 3(x^2 + 2x + 1) = 37$

Выполним замену переменной. Пусть $t = x^2 + 2x$. Тогда уравнение примет вид:

$t^2 - 3(t + 1) = 37$

$t^2 - 3t - 3 - 37 = 0$

$t^2 - 3t - 40 = 0$

Решим полученное квадратное уравнение относительно $t$. По теореме Виета:

$t_1 + t_2 = 3$

$t_1 \cdot t_2 = -40$

Подбором находим корни: $t_1 = 8$ и $t_2 = -5$.

Теперь выполним обратную замену для каждого найденного значения $t$.

1) Если $t = 8$, то:

$x^2 + 2x = 8$

$x^2 + 2x - 8 = 0$

По теореме Виета, корни этого уравнения: $x_1 = 2$ и $x_2 = -4$.

2) Если $t = -5$, то:

$x^2 + 2x = -5$

$x^2 + 2x + 5 = 0$

Найдем дискриминант: $D = 2^2 - 4 \cdot 1 \cdot 5 = 4 - 20 = -16$.

Так как $D < 0$, в этом случае действительных корней нет.

Ответ: $2; -4$.

Помогло решение? Оставьте отзыв в комментариях ниже.

Присоединяйтесь к Телеграм-группе @gdz_by_belarus

Присоединиться

Мы подготовили для вас ответ c подробным объяснением домашего задания по алгебре за 7-9 класс, для упражнения номер 28.8 расположенного на странице 130 к сборнику задач 2020 года издания для учащихся школ и гимназий.

Теперь на нашем сайте ГДЗ.ТОП вы всегда легко и бесплатно найдёте условие с правильным ответом на вопрос «Как решить ДЗ» и «Как сделать» задание по алгебре к упражнению №28.8 (с. 130), авторов: Арефьева (Ирина Глебовна), Пирютко (Ольга Николаевна), учебного пособия издательства Народная асвета.