Номер 100, страница 26 - гдз по алгебре 8 класс учебник Макарычев, Миндюк

Алгебра, 8 класс Учебник, авторы: Макарычев Юрий Николаевич, Миндюк Нора Григорьевна, Нешков Константин Иванович, Суворова Светлана Борисовна, издательство Просвещение, Москва, 2019 - 2022, белого цвета

Авторы: Макарычев Ю. Н., Миндюк Н. Г., Нешков К. И., Суворова С. Б.

Тип: Учебник

Издательство: Просвещение

Год издания: 2019 - 2022

Цвет обложки: белый, голубой, фиолетовый

ISBN: 978-5-09-087569-1

Допущено Министерством просвещения Российской Федерации

Популярные ГДЗ в 8 классе

Глава 1. Рациональные дроби. Параграф 2. Сумма и разность дробей. 4. Сложение и вычитание дробей с разными знаменателями - номер 100, страница 26.

№100 (с. 26)
Условие. №100 (с. 26)
скриншот условия
Алгебра, 8 класс Учебник, авторы: Макарычев Юрий Николаевич, Миндюк Нора Григорьевна, Нешков Константин Иванович, Суворова Светлана Борисовна, издательство Просвещение, Москва, 2019 - 2022, белого цвета, страница 26, номер 100, Условие

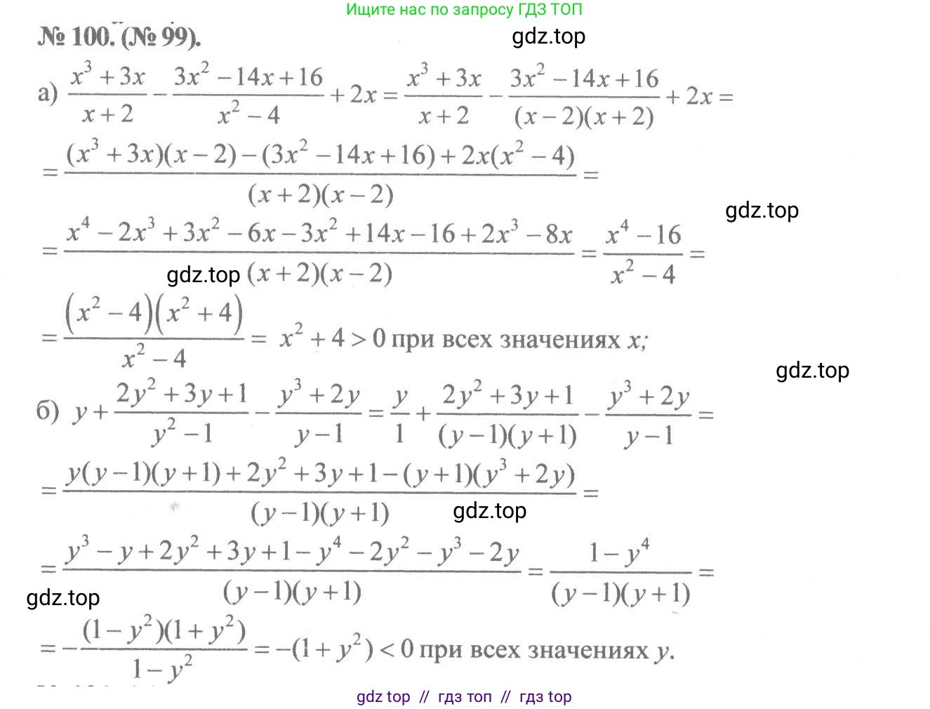
100. (Для работы в парах.) Докажите, что при любых допустимых значениях переменной значение выражения:

а) $ \frac{x^3 + 3x}{x+2} - \frac{3x^2 - 14x + 16}{x^2 - 4} + 2x $ является положительным числом;

б) $ y + \frac{2y^2 + 3y + 1}{y^2 - 1} - \frac{y^3 + 2y}{y - 1} $ является отрицательным числом.

1) Распределите, кто выполняет задание а), а кто — задание б), и выполните их.

2) Проверьте друг у друга, правильно ли выполнены преобразования.

3) Обсудите, для чего в условии указано, что рассматриваются допустимые значения переменных. Укажите допустимые значения переменной в заданиях а) и б).

Решение 1. №100 (с. 26)
Алгебра, 8 класс Учебник, авторы: Макарычев Юрий Николаевич, Миндюк Нора Григорьевна, Нешков Константин Иванович, Суворова Светлана Борисовна, издательство Просвещение, Москва, 2019 - 2022, белого цвета, страница 26, номер 100, Решение 1
Алгебра, 8 класс Учебник, авторы: Макарычев Юрий Николаевич, Миндюк Нора Григорьевна, Нешков Константин Иванович, Суворова Светлана Борисовна, издательство Просвещение, Москва, 2019 - 2022, белого цвета, страница 26, номер 100, Решение 1 (продолжение 2)
Решение 2. №100 (с. 26)
Алгебра, 8 класс Учебник, авторы: Макарычев Юрий Николаевич, Миндюк Нора Григорьевна, Нешков Константин Иванович, Суворова Светлана Борисовна, издательство Просвещение, Москва, 2019 - 2022, белого цвета, страница 26, номер 100, Решение 2
Решение 3. №100 (с. 26)
Алгебра, 8 класс Учебник, авторы: Макарычев Юрий Николаевич, Миндюк Нора Григорьевна, Нешков Константин Иванович, Суворова Светлана Борисовна, издательство Просвещение, Москва, 2019 - 2022, белого цвета, страница 26, номер 100, Решение 3
Решение 4. №100 (с. 26)
Алгебра, 8 класс Учебник, авторы: Макарычев Юрий Николаевич, Миндюк Нора Григорьевна, Нешков Константин Иванович, Суворова Светлана Борисовна, издательство Просвещение, Москва, 2019 - 2022, белого цвета, страница 26, номер 100, Решение 4
Решение 5. №100 (с. 26)
Алгебра, 8 класс Учебник, авторы: Макарычев Юрий Николаевич, Миндюк Нора Григорьевна, Нешков Константин Иванович, Суворова Светлана Борисовна, издательство Просвещение, Москва, 2019 - 2022, белого цвета, страница 26, номер 100, Решение 5 Алгебра, 8 класс Учебник, авторы: Макарычев Юрий Николаевич, Миндюк Нора Григорьевна, Нешков Константин Иванович, Суворова Светлана Борисовна, издательство Просвещение, Москва, 2019 - 2022, белого цвета, страница 26, номер 100, Решение 5 (продолжение 2)
Решение 6. №100 (с. 26)
Алгебра, 8 класс Учебник, авторы: Макарычев Юрий Николаевич, Миндюк Нора Григорьевна, Нешков Константин Иванович, Суворова Светлана Борисовна, издательство Просвещение, Москва, 2019 - 2022, белого цвета, страница 26, номер 100, Решение 6 Алгебра, 8 класс Учебник, авторы: Макарычев Юрий Николаевич, Миндюк Нора Григорьевна, Нешков Константин Иванович, Суворова Светлана Борисовна, издательство Просвещение, Москва, 2019 - 2022, белого цвета, страница 26, номер 100, Решение 6 (продолжение 2)
Решение 7. №100 (с. 26)
Алгебра, 8 класс Учебник, авторы: Макарычев Юрий Николаевич, Миндюк Нора Григорьевна, Нешков Константин Иванович, Суворова Светлана Борисовна, издательство Просвещение, Москва, 2019 - 2022, белого цвета, страница 26, номер 100, Решение 7
Решение 8. №100 (с. 26)

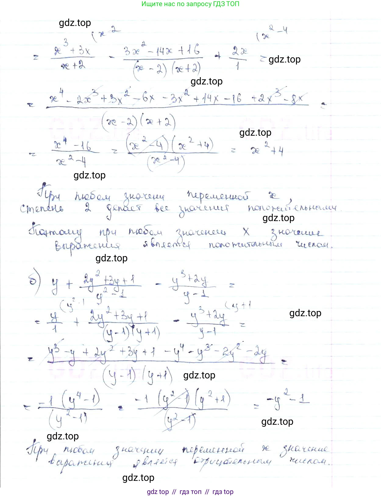
а) Докажем, что выражение $\frac{x^3 + 3x}{x + 2} - \frac{3x^2 - 14x + 16}{x^2 - 4} + 2x$ является положительным числом при любых допустимых значениях переменной $x$.

Сначала упростим выражение, приведя все слагаемые к общему знаменателю. Заметим, что знаменатель $x^2 - 4$ раскладывается на множители как $(x - 2)(x + 2)$. Следовательно, общий знаменатель для всех дробей — это $x^2 - 4$.

$\frac{x^3 + 3x}{x + 2} - \frac{3x^2 - 14x + 16}{x^2 - 4} + 2x = \frac{(x^3 + 3x)(x - 2)}{(x + 2)(x - 2)} - \frac{3x^2 - 14x + 16}{x^2 - 4} + \frac{2x(x^2 - 4)}{x^2 - 4}$

Теперь объединим все слагаемые под общим знаменателем и раскроем скобки в числителе:

$\frac{(x^4 - 2x^3 + 3x^2 - 6x) - (3x^2 - 14x + 16) + (2x^3 - 8x)}{x^2 - 4}$

Приведем подобные слагаемые в числителе:

$\frac{x^4 - 2x^3 + 3x^2 - 6x - 3x^2 + 14x - 16 + 2x^3 - 8x}{x^2 - 4}$

$\frac{x^4 + (-2x^3 + 2x^3) + (3x^2 - 3x^2) + (-6x + 14x - 8x) - 16}{x^2 - 4} = \frac{x^4 - 16}{x^2 - 4}$

Разложим числитель $x^4 - 16$ на множители как разность квадратов:

$x^4 - 16 = (x^2)^2 - 4^2 = (x^2 - 4)(x^2 + 4)$

Подставим это в наше выражение и сократим дробь:

$\frac{(x^2 - 4)(x^2 + 4)}{x^2 - 4} = x^2 + 4$

Полученное выражение $x^2 + 4$ нужно исследовать на знак. Поскольку квадрат любого действительного числа $x$ неотрицателен ($x^2 \ge 0$), то $x^2 + 4 \ge 0 + 4$, то есть $x^2 + 4 \ge 4$. Так как $4 > 0$, значение выражения всегда положительно при любых допустимых значениях $x$.

Ответ: Выражение упрощается до $x^2+4$, что всегда больше или равно 4, а значит является положительным числом.

б) Докажем, что выражение $y + \frac{2y^2 + 3y + 1}{y^2 - 1} - \frac{y^3 + 2y}{y - 1}$ является отрицательным числом при любых допустимых значениях переменной $y$.

Приведем все слагаемые к общему знаменателю. Знаменатель $y^2 - 1$ раскладывается на множители как $(y - 1)(y + 1)$. Общий знаменатель — $y^2 - 1$.

$y + \frac{2y^2 + 3y + 1}{y^2 - 1} - \frac{y^3 + 2y}{y - 1} = \frac{y(y^2 - 1)}{y^2 - 1} + \frac{2y^2 + 3y + 1}{y^2 - 1} - \frac{(y^3 + 2y)(y + 1)}{(y - 1)(y + 1)}$

Объединим слагаемые и раскроем скобки в числителе:

$\frac{(y^3 - y) + (2y^2 + 3y + 1) - (y^4 + y^3 + 2y^2 + 2y)}{y^2 - 1}$

Приведем подобные слагаемые в числителе:

$\frac{y^3 - y + 2y^2 + 3y + 1 - y^4 - y^3 - 2y^2 - 2y}{y^2 - 1}$

$\frac{-y^4 + (y^3 - y^3) + (2y^2 - 2y^2) + (-y + 3y - 2y) + 1}{y^2 - 1} = \frac{-y^4 + 1}{y^2 - 1}$

Вынесем минус за скобки в числителе и разложим $y^4 - 1$ на множители как разность квадратов:

$\frac{-(y^4 - 1)}{y^2 - 1} = \frac{-((y^2)^2 - 1^2)}{y^2 - 1} = \frac{-(y^2 - 1)(y^2 + 1)}{y^2 - 1}$

Сократим дробь:

$-(y^2 + 1) = -y^2 - 1$

Исследуем на знак полученное выражение $-y^2 - 1$. Квадрат любого действительного числа $y$ неотрицателен ($y^2 \ge 0$), следовательно, $y^2 + 1 \ge 1$. Умножая обе части неравенства на $-1$, получаем $-(y^2 + 1) \le -1$. Так как $-1 < 0$, значение выражения всегда отрицательно при любых допустимых значениях $y$.

Ответ: Выражение упрощается до $-(y^2+1)$, что всегда меньше или равно -1, а значит является отрицательным числом.

3) В условии указано, что рассматриваются "допустимые значения переменных", потому что исходные выражения содержат дроби. Деление на ноль является неопределенной операцией в математике, поэтому необходимо исключить все значения переменных, которые обращают знаменатель хотя бы одной из дробей в ноль. Эти значения не входят в область определения выражения. Упрощение выражений путем сокращения дробей (как, например, сокращение на $x^2 - 4$ в пункте а) возможно только при условии, что этот множитель не равен нулю.

Допустимые значения переменных в заданиях:

а) Знаменатели в выражении: $x+2$ и $x^2-4$.
Условие допустимых значений: $x+2 \neq 0$ и $x^2-4 \neq 0$.
Из первого условия получаем $x \neq -2$.
Из второго условия $x^2 \neq 4$, что означает $x \neq 2$ и $x \neq -2$.
Таким образом, допустимыми являются все значения $x$, кроме $x = 2$ и $x = -2$.

б) Знаменатели в выражении: $y^2-1$ и $y-1$.
Условие допустимых значений: $y^2-1 \neq 0$ и $y-1 \neq 0$.
Из первого условия $y^2 \neq 1$, что означает $y \neq 1$ и $y \neq -1$.
Второе условие $y \neq 1$ уже учтено в первом.
Таким образом, допустимыми являются все значения $y$, кроме $y = 1$ и $y = -1$.

Помогло решение? Оставьте отзыв в комментариях ниже.

Присоединяйтесь к Телеграм-группе @top_gdz

Присоединиться

Мы подготовили для вас ответ c подробным объяснением домашего задания по алгебре за 8 класс, для упражнения номер 100 расположенного на странице 26 к учебнику 2019 - 2022 года издания для учащихся школ и гимназий.

Теперь на нашем сайте ГДЗ.ТОП вы всегда легко и бесплатно найдёте условие с правильным ответом на вопрос «Как решить ДЗ» и «Как сделать» задание по алгебре к упражнению №100 (с. 26), авторов: Макарычев (Юрий Николаевич), Миндюк (Нора Григорьевна), Нешков (Константин Иванович), Суворова (Светлана Борисовна), ФГОС (старый) учебного пособия издательства Просвещение.