Номер 101, страница 27 - гдз по алгебре 8 класс учебник Макарычев, Миндюк

Алгебра, 8 класс Учебник, авторы: Макарычев Юрий Николаевич, Миндюк Нора Григорьевна, Нешков Константин Иванович, Суворова Светлана Борисовна, издательство Просвещение, Москва, 2019 - 2022, белого цвета

Авторы: Макарычев Ю. Н., Миндюк Н. Г., Нешков К. И., Суворова С. Б.

Тип: Учебник

Издательство: Просвещение

Год издания: 2019 - 2022

Цвет обложки: белый, голубой, фиолетовый

ISBN: 978-5-09-087569-1

Допущено Министерством просвещения Российской Федерации

Популярные ГДЗ в 8 классе

Глава 1. Рациональные дроби. Параграф 2. Сумма и разность дробей. 4. Сложение и вычитание дробей с разными знаменателями - номер 101, страница 27.

№101 (с. 27)
Условие. №101 (с. 27)
скриншот условия
Алгебра, 8 класс Учебник, авторы: Макарычев Юрий Николаевич, Миндюк Нора Григорьевна, Нешков Константин Иванович, Суворова Светлана Борисовна, издательство Просвещение, Москва, 2019 - 2022, белого цвета, страница 27, номер 101, Условие

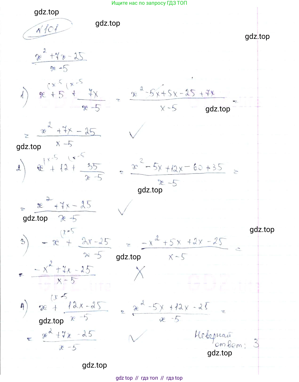
101. Учащимся была поставлена задача: «Представить дробь $ \frac{x^2 + 7x - 25}{x - 5} $ в виде суммы целого выражения и дроби». Были получены ответы:

1. $ x + 5 + \frac{7x}{x - 5} $

2. $ x + 12 + \frac{35}{x - 5} $

3. $ -x + \frac{2x - 25}{x - 5} $

4. $ x + \frac{12x - 25}{x - 5} $

Укажите неверный ответ.

Решение 1. №101 (с. 27)
Алгебра, 8 класс Учебник, авторы: Макарычев Юрий Николаевич, Миндюк Нора Григорьевна, Нешков Константин Иванович, Суворова Светлана Борисовна, издательство Просвещение, Москва, 2019 - 2022, белого цвета, страница 27, номер 101, Решение 1
Решение 2. №101 (с. 27)
Алгебра, 8 класс Учебник, авторы: Макарычев Юрий Николаевич, Миндюк Нора Григорьевна, Нешков Константин Иванович, Суворова Светлана Борисовна, издательство Просвещение, Москва, 2019 - 2022, белого цвета, страница 27, номер 101, Решение 2
Решение 3. №101 (с. 27)
Алгебра, 8 класс Учебник, авторы: Макарычев Юрий Николаевич, Миндюк Нора Григорьевна, Нешков Константин Иванович, Суворова Светлана Борисовна, издательство Просвещение, Москва, 2019 - 2022, белого цвета, страница 27, номер 101, Решение 3
Решение 4. №101 (с. 27)
Алгебра, 8 класс Учебник, авторы: Макарычев Юрий Николаевич, Миндюк Нора Григорьевна, Нешков Константин Иванович, Суворова Светлана Борисовна, издательство Просвещение, Москва, 2019 - 2022, белого цвета, страница 27, номер 101, Решение 4
Решение 5. №101 (с. 27)
Алгебра, 8 класс Учебник, авторы: Макарычев Юрий Николаевич, Миндюк Нора Григорьевна, Нешков Константин Иванович, Суворова Светлана Борисовна, издательство Просвещение, Москва, 2019 - 2022, белого цвета, страница 27, номер 101, Решение 5
Решение 6. №101 (с. 27)
Алгебра, 8 класс Учебник, авторы: Макарычев Юрий Николаевич, Миндюк Нора Григорьевна, Нешков Константин Иванович, Суворова Светлана Борисовна, издательство Просвещение, Москва, 2019 - 2022, белого цвета, страница 27, номер 101, Решение 6
Решение 7. №101 (с. 27)
Алгебра, 8 класс Учебник, авторы: Макарычев Юрий Николаевич, Миндюк Нора Григорьевна, Нешков Константин Иванович, Суворова Светлана Борисовна, издательство Просвещение, Москва, 2019 - 2022, белого цвета, страница 27, номер 101, Решение 7
Решение 8. №101 (с. 27)

Чтобы определить, какой из ответов является неверным, мы должны проверить, является ли каждое из предложенных выражений тождественным исходной дроби $\frac{x^2+7x-25}{x-5}$. Для этого мы приведем каждое выражение к общему знаменателю и сравним получившийся числитель с исходным числителем $x^2+7x-25$.

1. $x + 5 + \frac{7x}{x-5}$

Приводим к общему знаменателю $x-5$:

$x + 5 + \frac{7x}{x-5} = \frac{(x+5)(x-5)}{x-5} + \frac{7x}{x-5} = \frac{x^2 - 25}{x-5} + \frac{7x}{x-5} = \frac{x^2 - 25 + 7x}{x-5} = \frac{x^2 + 7x - 25}{x-5}$.

Полученное выражение совпадает с исходным. Следовательно, это представление верное.

2. $x + 12 + \frac{35}{x-5}$

Приводим к общему знаменателю $x-5$:

$x + 12 + \frac{35}{x-5} = \frac{(x+12)(x-5)}{x-5} + \frac{35}{x-5} = \frac{x^2 - 5x + 12x - 60}{x-5} + \frac{35}{x-5} = \frac{x^2 + 7x - 60 + 35}{x-5} = \frac{x^2 + 7x - 25}{x-5}$.

Полученное выражение совпадает с исходным. Это представление является верным. (Этот результат получается при делении многочлена $x^2+7x-25$ на $x-5$ "уголком").

3. $-x + \frac{2x-25}{x-5}$

Приводим к общему знаменателю $x-5$:

$-x + \frac{2x-25}{x-5} = \frac{-x(x-5)}{x-5} + \frac{2x-25}{x-5} = \frac{-x^2 + 5x}{x-5} + \frac{2x-25}{x-5} = \frac{-x^2 + 5x + 2x - 25}{x-5} = \frac{-x^2 + 7x - 25}{x-5}$.

Полученное выражение $\frac{-x^2 + 7x - 25}{x-5}$ не совпадает с исходной дробью $\frac{x^2 + 7x - 25}{x-5}$. Следовательно, это представление неверное.

4. $x + \frac{12x-25}{x-5}$

Приводим к общему знаменателю $x-5$:

$x + \frac{12x-25}{x-5} = \frac{x(x-5)}{x-5} + \frac{12x-25}{x-5} = \frac{x^2 - 5x}{x-5} + \frac{12x-25}{x-5} = \frac{x^2 - 5x + 12x - 25}{x-5} = \frac{x^2 + 7x - 25}{x-5}$.

Полученное выражение совпадает с исходным. Это представление является верным.

Проанализировав все варианты, мы установили, что выражения 1, 2 и 4 являются верными представлениями исходной дроби, а выражение 3 — нет.

Ответ: 3.

Помогло решение? Оставьте отзыв в комментариях ниже.

Присоединяйтесь к Телеграм-группе @top_gdz

Присоединиться

Мы подготовили для вас ответ c подробным объяснением домашего задания по алгебре за 8 класс, для упражнения номер 101 расположенного на странице 27 к учебнику 2019 - 2022 года издания для учащихся школ и гимназий.

Теперь на нашем сайте ГДЗ.ТОП вы всегда легко и бесплатно найдёте условие с правильным ответом на вопрос «Как решить ДЗ» и «Как сделать» задание по алгебре к упражнению №101 (с. 27), авторов: Макарычев (Юрий Николаевич), Миндюк (Нора Григорьевна), Нешков (Константин Иванович), Суворова (Светлана Борисовна), ФГОС (старый) учебного пособия издательства Просвещение.