Номер 97, страница 26 - гдз по алгебре 8 класс учебник Макарычев, Миндюк

Алгебра, 8 класс Учебник, авторы: Макарычев Юрий Николаевич, Миндюк Нора Григорьевна, Нешков Константин Иванович, Суворова Светлана Борисовна, издательство Просвещение, Москва, 2019 - 2022, белого цвета

Авторы: Макарычев Ю. Н., Миндюк Н. Г., Нешков К. И., Суворова С. Б.

Тип: Учебник

Издательство: Просвещение

Год издания: 2019 - 2022

Цвет обложки: белый, голубой, фиолетовый

ISBN: 978-5-09-087569-1

Допущено Министерством просвещения Российской Федерации

Популярные ГДЗ в 8 классе

Глава 1. Рациональные дроби. Параграф 2. Сумма и разность дробей. 4. Сложение и вычитание дробей с разными знаменателями - номер 97, страница 26.

№97 (с. 26)
Условие. №97 (с. 26)
скриншот условия
Алгебра, 8 класс Учебник, авторы: Макарычев Юрий Николаевич, Миндюк Нора Григорьевна, Нешков Константин Иванович, Суворова Светлана Борисовна, издательство Просвещение, Москва, 2019 - 2022, белого цвета, страница 26, номер 97, Условие

97. Преобразуйте в дробь выражение:

а) $ \frac{2a + b}{2a^2 - ab} - \frac{16a}{4a^2 - b^2} - \frac{2a - b}{2a^2 + ab}; $

б) $ \frac{1}{(a - 3)^2} - \frac{2}{a^2 - 9} + \frac{1}{(a + 3)^2}; $

в) $ \frac{x - 2}{x^2 + 2x + 4} - \frac{6x}{x^3 - 8} + \frac{1}{x - 2}; $

г) $ \frac{2a^2 + 7a + 3}{a^3 - 1} - \frac{1 - 2a}{a^2 + a + 1} - \frac{3}{a - 1}. $

Решение 1. №97 (с. 26)
Алгебра, 8 класс Учебник, авторы: Макарычев Юрий Николаевич, Миндюк Нора Григорьевна, Нешков Константин Иванович, Суворова Светлана Борисовна, издательство Просвещение, Москва, 2019 - 2022, белого цвета, страница 26, номер 97, Решение 1
Алгебра, 8 класс Учебник, авторы: Макарычев Юрий Николаевич, Миндюк Нора Григорьевна, Нешков Константин Иванович, Суворова Светлана Борисовна, издательство Просвещение, Москва, 2019 - 2022, белого цвета, страница 26, номер 97, Решение 1 (продолжение 2)
Решение 2. №97 (с. 26)
Алгебра, 8 класс Учебник, авторы: Макарычев Юрий Николаевич, Миндюк Нора Григорьевна, Нешков Константин Иванович, Суворова Светлана Борисовна, издательство Просвещение, Москва, 2019 - 2022, белого цвета, страница 26, номер 97, Решение 2
Решение 3. №97 (с. 26)
Алгебра, 8 класс Учебник, авторы: Макарычев Юрий Николаевич, Миндюк Нора Григорьевна, Нешков Константин Иванович, Суворова Светлана Борисовна, издательство Просвещение, Москва, 2019 - 2022, белого цвета, страница 26, номер 97, Решение 3
Решение 4. №97 (с. 26)
Алгебра, 8 класс Учебник, авторы: Макарычев Юрий Николаевич, Миндюк Нора Григорьевна, Нешков Константин Иванович, Суворова Светлана Борисовна, издательство Просвещение, Москва, 2019 - 2022, белого цвета, страница 26, номер 97, Решение 4
Решение 5. №97 (с. 26)
Алгебра, 8 класс Учебник, авторы: Макарычев Юрий Николаевич, Миндюк Нора Григорьевна, Нешков Константин Иванович, Суворова Светлана Борисовна, издательство Просвещение, Москва, 2019 - 2022, белого цвета, страница 26, номер 97, Решение 5
Решение 6. №97 (с. 26)
Алгебра, 8 класс Учебник, авторы: Макарычев Юрий Николаевич, Миндюк Нора Григорьевна, Нешков Константин Иванович, Суворова Светлана Борисовна, издательство Просвещение, Москва, 2019 - 2022, белого цвета, страница 26, номер 97, Решение 6 Алгебра, 8 класс Учебник, авторы: Макарычев Юрий Николаевич, Миндюк Нора Григорьевна, Нешков Константин Иванович, Суворова Светлана Борисовна, издательство Просвещение, Москва, 2019 - 2022, белого цвета, страница 26, номер 97, Решение 6 (продолжение 2)
Решение 7. №97 (с. 26)
Алгебра, 8 класс Учебник, авторы: Макарычев Юрий Николаевич, Миндюк Нора Григорьевна, Нешков Константин Иванович, Суворова Светлана Борисовна, издательство Просвещение, Москва, 2019 - 2022, белого цвета, страница 26, номер 97, Решение 7
Решение 8. №97 (с. 26)

а) $ \frac{2a + b}{2a^2 - ab} - \frac{16a}{4a^2 - b^2} - \frac{2a - b}{2a^2 + ab} $

1. Разложим знаменатели на множители: $ 2a^2 - ab = a(2a - b) $; $ 4a^2 - b^2 = (2a - b)(2a + b) $ (разность квадратов); $ 2a^2 + ab = a(2a + b) $.

2. Общий знаменатель равен $ a(2a - b)(2a + b) $. Приведем дроби к общему знаменателю:

$ \frac{(2a + b)(2a + b)}{a(2a - b)(2a + b)} - \frac{16a \cdot a}{a(2a - b)(2a + b)} - \frac{(2a - b)(2a - b)}{a(2a - b)(2a + b)} $

3. Запишем все под одной чертой и упростим числитель:

$ \frac{(2a + b)^2 - 16a^2 - (2a - b)^2}{a(2a - b)(2a + b)} = \frac{(4a^2 + 4ab + b^2) - 16a^2 - (4a^2 - 4ab + b^2)}{a(2a - b)(2a + b)} $

$ = \frac{4a^2 + 4ab + b^2 - 16a^2 - 4a^2 + 4ab - b^2}{a(2a - b)(2a + b)} = \frac{8ab - 16a^2}{a(2a - b)(2a + b)} $

4. Вынесем общий множитель в числителе и сократим дробь:

$ \frac{-8a(2a - b)}{a(2a - b)(2a + b)} = -\frac{8}{2a + b} $

Ответ: $ -\frac{8}{2a + b} $

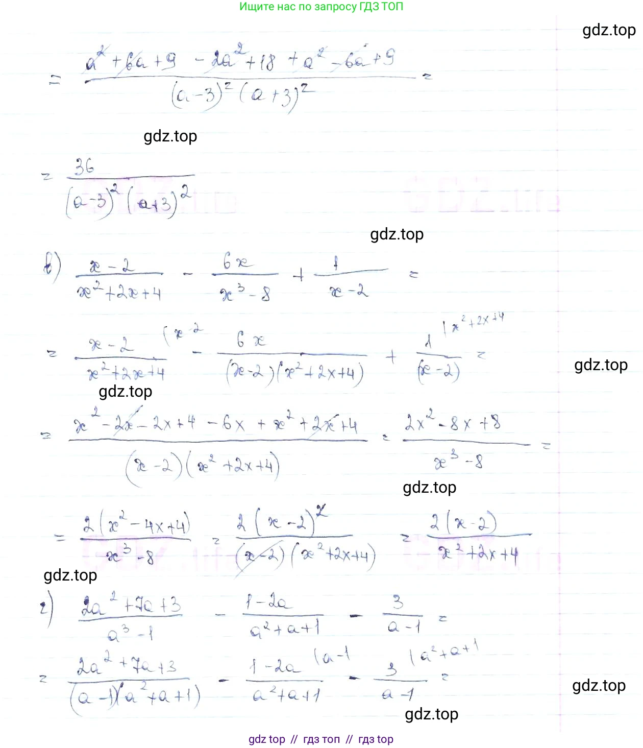
б) $ \frac{1}{(a - 3)^2} - \frac{2}{a^2 - 9} + \frac{1}{(a + 3)^2} $

1. Разложим знаменатель средней дроби на множители: $ a^2 - 9 = (a - 3)(a + 3) $.

2. Общий знаменатель равен $ (a - 3)^2(a + 3)^2 $. Приведем дроби к общему знаменателю:

$ \frac{1 \cdot (a + 3)^2}{(a - 3)^2(a + 3)^2} - \frac{2(a - 3)(a + 3)}{(a - 3)^2(a + 3)^2} + \frac{1 \cdot (a - 3)^2}{(a - 3)^2(a + 3)^2} $

3. Объединим дроби и упростим числитель. Заметим, что числитель представляет собой квадрат разности выражений $ (a+3) $ и $ (a-3) $, если бы средний член был другим. Упростим напрямую:

$ \frac{(a + 3)^2 - 2(a^2 - 9) + (a - 3)^2}{(a - 3)^2(a + 3)^2} $

$ = \frac{(a^2 + 6a + 9) - (2a^2 - 18) + (a^2 - 6a + 9)}{(a - 3)^2(a + 3)^2} $

$ = \frac{a^2 + 6a + 9 - 2a^2 + 18 + a^2 - 6a + 9}{(a^2 - 9)^2} = \frac{36}{(a^2 - 9)^2} $

Ответ: $ \frac{36}{(a^2 - 9)^2} $

в) $ \frac{x - 2}{x^2 + 2x + 4} - \frac{6x}{x^3 - 8} + \frac{1}{x - 2} $

1. Разложим знаменатель $ x^3 - 8 $ по формуле разности кубов: $ x^3 - 2^3 = (x - 2)(x^2 + 2x + 4) $.

2. Общий знаменатель равен $ (x - 2)(x^2 + 2x + 4) $. Приведем дроби к нему:

$ \frac{(x - 2)(x - 2)}{(x - 2)(x^2 + 2x + 4)} - \frac{6x}{(x - 2)(x^2 + 2x + 4)} + \frac{1(x^2 + 2x + 4)}{(x - 2)(x^2 + 2x + 4)} $

3. Выполним действия в числителе:

$ \frac{(x-2)^2 - 6x + (x^2 + 2x + 4)}{(x - 2)(x^2 + 2x + 4)} = \frac{(x^2 - 4x + 4) - 6x + x^2 + 2x + 4}{(x - 2)(x^2 + 2x + 4)} $

$ = \frac{2x^2 - 8x + 8}{(x - 2)(x^2 + 2x + 4)} $

4. Вынесем общий множитель в числителе и сократим дробь:

$ \frac{2(x^2 - 4x + 4)}{(x - 2)(x^2 + 2x + 4)} = \frac{2(x - 2)^2}{(x - 2)(x^2 + 2x + 4)} = \frac{2(x - 2)}{x^2 + 2x + 4} $

Ответ: $ \frac{2(x - 2)}{x^2 + 2x + 4} $

г) $ \frac{2a^2 + 7a + 3}{a^3 - 1} - \frac{1 - 2a}{a^2 + a + 1} - \frac{3}{a - 1} $

1. Разложим знаменатель $ a^3 - 1 $ по формуле разности кубов: $ a^3 - 1^3 = (a - 1)(a^2 + a + 1) $.

2. Общий знаменатель равен $ (a - 1)(a^2 + a + 1) $. Приведем дроби к нему:

$ \frac{2a^2 + 7a + 3}{(a - 1)(a^2 + a + 1)} - \frac{(1 - 2a)(a - 1)}{(a - 1)(a^2 + a + 1)} - \frac{3(a^2 + a + 1)}{(a - 1)(a^2 + a + 1)} $

3. Объединим дроби и упростим числитель:

$ \frac{(2a^2 + 7a + 3) - (1 - 2a)(a - 1) - 3(a^2 + a + 1)}{(a - 1)(a^2 + a + 1)} $

$ = \frac{(2a^2 + 7a + 3) - (a - 1 - 2a^2 + 2a) - (3a^2 + 3a + 3)}{(a - 1)(a^2 + a + 1)} $

$ = \frac{2a^2 + 7a + 3 - (-2a^2 + 3a - 1) - 3a^2 - 3a - 3}{(a - 1)(a^2 + a + 1)} $

$ = \frac{2a^2 + 7a + 3 + 2a^2 - 3a + 1 - 3a^2 - 3a - 3}{(a - 1)(a^2 + a + 1)} = \frac{a^2 + a + 1}{(a - 1)(a^2 + a + 1)} $

4. Сократим полученную дробь:

$ \frac{a^2 + a + 1}{(a - 1)(a^2 + a + 1)} = \frac{1}{a - 1} $

Ответ: $ \frac{1}{a - 1} $

Помогло решение? Оставьте отзыв в комментариях ниже.

Присоединяйтесь к Телеграм-группе @top_gdz

Присоединиться

Мы подготовили для вас ответ c подробным объяснением домашего задания по алгебре за 8 класс, для упражнения номер 97 расположенного на странице 26 к учебнику 2019 - 2022 года издания для учащихся школ и гимназий.

Теперь на нашем сайте ГДЗ.ТОП вы всегда легко и бесплатно найдёте условие с правильным ответом на вопрос «Как решить ДЗ» и «Как сделать» задание по алгебре к упражнению №97 (с. 26), авторов: Макарычев (Юрий Николаевич), Миндюк (Нора Григорьевна), Нешков (Константин Иванович), Суворова (Светлана Борисовна), ФГОС (старый) учебного пособия издательства Просвещение.