Номер 540, страница 127 - гдз по алгебре 8 класс учебник Макарычев, Миндюк

Алгебра, 8 класс Учебник, авторы: Макарычев Юрий Николаевич, Миндюк Нора Григорьевна, Нешков Константин Иванович, Суворова Светлана Борисовна, издательство Просвещение, Москва, 2019 - 2022, белого цвета

Авторы: Макарычев Ю. Н., Миндюк Н. Г., Нешков К. И., Суворова С. Б.

Тип: Учебник

Издательство: Просвещение

Год издания: 2019 - 2022

Цвет обложки: белый, голубой, фиолетовый

ISBN: 978-5-09-087569-1

Допущено Министерством просвещения Российской Федерации

Популярные ГДЗ в 8 классе

Глава 3. Квадратные уравнения. Параграф 8. Квадратное уравнение и его корни. 22. Формула корней квадратного уравнения - номер 540, страница 127.

№540 (с. 127)
Условие. №540 (с. 127)
скриншот условия
Алгебра, 8 класс Учебник, авторы: Макарычев Юрий Николаевич, Миндюк Нора Григорьевна, Нешков Константин Иванович, Суворова Светлана Борисовна, издательство Просвещение, Москва, 2019 - 2022, белого цвета, страница 127, номер 540, Условие

540. Решите уравнение:

a) $8x^2 - 14x + 5 = 0;$

б) $12x^2 + 16x - 3 = 0;$

в) $4x^2 + 4x + 1 = 0;$

г) $x^2 - 8x - 84 = 0;$

д) $x^2 + 6x - 19 = 0;$

е) $5x^2 + 26x - 24 = 0;$

ж) $x^2 - 34x + 289 = 0;$

з) $3x^2 + 32x + 80 = 0.$

Решение 1. №540 (с. 127)
Алгебра, 8 класс Учебник, авторы: Макарычев Юрий Николаевич, Миндюк Нора Григорьевна, Нешков Константин Иванович, Суворова Светлана Борисовна, издательство Просвещение, Москва, 2019 - 2022, белого цвета, страница 127, номер 540, Решение 1
Алгебра, 8 класс Учебник, авторы: Макарычев Юрий Николаевич, Миндюк Нора Григорьевна, Нешков Константин Иванович, Суворова Светлана Борисовна, издательство Просвещение, Москва, 2019 - 2022, белого цвета, страница 127, номер 540, Решение 1 (продолжение 2)
Решение 2. №540 (с. 127)
Алгебра, 8 класс Учебник, авторы: Макарычев Юрий Николаевич, Миндюк Нора Григорьевна, Нешков Константин Иванович, Суворова Светлана Борисовна, издательство Просвещение, Москва, 2019 - 2022, белого цвета, страница 127, номер 540, Решение 2
Алгебра, 8 класс Учебник, авторы: Макарычев Юрий Николаевич, Миндюк Нора Григорьевна, Нешков Константин Иванович, Суворова Светлана Борисовна, издательство Просвещение, Москва, 2019 - 2022, белого цвета, страница 127, номер 540, Решение 2 (продолжение 2)
Решение 3. №540 (с. 127)
Алгебра, 8 класс Учебник, авторы: Макарычев Юрий Николаевич, Миндюк Нора Григорьевна, Нешков Константин Иванович, Суворова Светлана Борисовна, издательство Просвещение, Москва, 2019 - 2022, белого цвета, страница 127, номер 540, Решение 3
Решение 4. №540 (с. 127)
Алгебра, 8 класс Учебник, авторы: Макарычев Юрий Николаевич, Миндюк Нора Григорьевна, Нешков Константин Иванович, Суворова Светлана Борисовна, издательство Просвещение, Москва, 2019 - 2022, белого цвета, страница 127, номер 540, Решение 4
Решение 5. №540 (с. 127)
Алгебра, 8 класс Учебник, авторы: Макарычев Юрий Николаевич, Миндюк Нора Григорьевна, Нешков Константин Иванович, Суворова Светлана Борисовна, издательство Просвещение, Москва, 2019 - 2022, белого цвета, страница 127, номер 540, Решение 5
Решение 6. №540 (с. 127)
Алгебра, 8 класс Учебник, авторы: Макарычев Юрий Николаевич, Миндюк Нора Григорьевна, Нешков Константин Иванович, Суворова Светлана Борисовна, издательство Просвещение, Москва, 2019 - 2022, белого цвета, страница 127, номер 540, Решение 6 Алгебра, 8 класс Учебник, авторы: Макарычев Юрий Николаевич, Миндюк Нора Григорьевна, Нешков Константин Иванович, Суворова Светлана Борисовна, издательство Просвещение, Москва, 2019 - 2022, белого цвета, страница 127, номер 540, Решение 6 (продолжение 2)
Решение 7. №540 (с. 127)
Алгебра, 8 класс Учебник, авторы: Макарычев Юрий Николаевич, Миндюк Нора Григорьевна, Нешков Константин Иванович, Суворова Светлана Борисовна, издательство Просвещение, Москва, 2019 - 2022, белого цвета, страница 127, номер 540, Решение 7
Решение 8. №540 (с. 127)

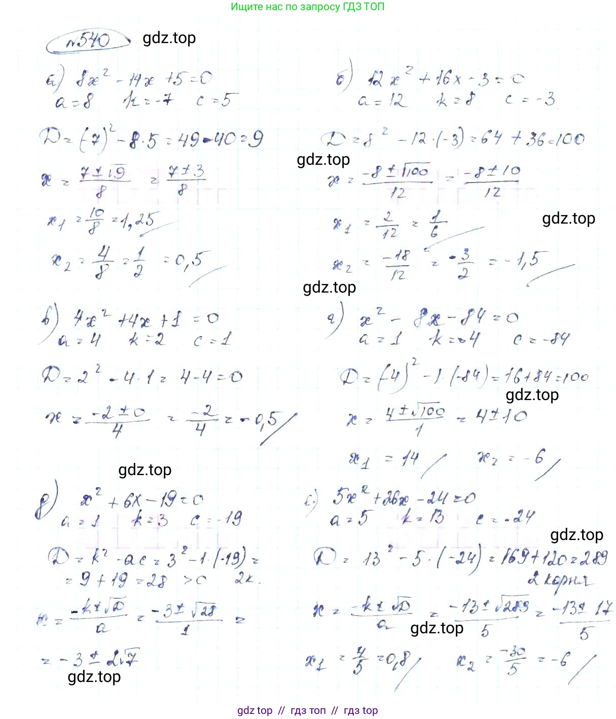
а) $8x^2 - 14x + 5 = 0$

Это квадратное уравнение вида $ax^2 + bx + c = 0$, где $a = 8$, $b = -14$, $c = 5$.

Найдем дискриминант по формуле $D = b^2 - 4ac$:

$D = (-14)^2 - 4 \cdot 8 \cdot 5 = 196 - 160 = 36$.

Так как $D > 0$, уравнение имеет два действительных корня. Найдем их по формуле $x_{1,2} = \frac{-b \pm \sqrt{D}}{2a}$:

$x_1 = \frac{-(-14) + \sqrt{36}}{2 \cdot 8} = \frac{14 + 6}{16} = \frac{20}{16} = \frac{5}{4} = 1.25$.

$x_2 = \frac{-(-14) - \sqrt{36}}{2 \cdot 8} = \frac{14 - 6}{16} = \frac{8}{16} = \frac{1}{2} = 0.5$.

Ответ: $1.25; 0.5$.

б) $12x^2 + 16x - 3 = 0$

Это квадратное уравнение вида $ax^2 + bx + c = 0$, где $a = 12$, $b = 16$, $c = -3$.

Так как коэффициент $b$ четный, можно использовать формулу для $D/4 = (b/2)^2 - ac$:

$D/4 = (16/2)^2 - 12 \cdot (-3) = 8^2 + 36 = 64 + 36 = 100$.

Корни находим по формуле $x_{1,2} = \frac{-b/2 \pm \sqrt{D/4}}{a}$:

$x_1 = \frac{-8 + \sqrt{100}}{12} = \frac{-8 + 10}{12} = \frac{2}{12} = \frac{1}{6}$.

$x_2 = \frac{-8 - \sqrt{100}}{12} = \frac{-8 - 10}{12} = \frac{-18}{12} = -\frac{3}{2} = -1.5$.

Ответ: $\frac{1}{6}; -1.5$.

в) $4x^2 + 4x + 1 = 0$

Левая часть уравнения является полным квадратом:

$4x^2 + 4x + 1 = (2x)^2 + 2 \cdot (2x) \cdot 1 + 1^2 = (2x + 1)^2$.

Уравнение принимает вид $(2x + 1)^2 = 0$.

$2x + 1 = 0$

$2x = -1$

$x = -1/2 = -0.5$.

Уравнение имеет один корень.

Ответ: $-0.5$.

г) $x^2 - 8x - 84 = 0$

Это квадратное уравнение вида $ax^2 + bx + c = 0$, где $a = 1$, $b = -8$, $c = -84$.

Используем формулу для $D/4 = (b/2)^2 - ac$, так как $b$ четное:

$D/4 = (-8/2)^2 - 1 \cdot (-84) = (-4)^2 + 84 = 16 + 84 = 100$.

Корни находим по формуле $x_{1,2} = \frac{-b/2 \pm \sqrt{D/4}}{a}$:

$x_1 = \frac{-(-4) + \sqrt{100}}{1} = 4 + 10 = 14$.

$x_2 = \frac{-(-4) - \sqrt{100}}{1} = 4 - 10 = -6$.

Ответ: $14; -6$.

д) $x^2 + 6x - 19 = 0$

Это квадратное уравнение вида $ax^2 + bx + c = 0$, где $a = 1$, $b = 6$, $c = -19$.

Используем формулу для $D/4 = (b/2)^2 - ac$, так как $b$ четное:

$D/4 = (6/2)^2 - 1 \cdot (-19) = 3^2 + 19 = 9 + 19 = 28$.

Корни находим по формуле $x_{1,2} = \frac{-b/2 \pm \sqrt{D/4}}{a}$:

$x_{1,2} = \frac{-3 \pm \sqrt{28}}{1} = -3 \pm \sqrt{4 \cdot 7} = -3 \pm 2\sqrt{7}$.

$x_1 = -3 + 2\sqrt{7}$.

$x_2 = -3 - 2\sqrt{7}$.

Ответ: $-3 \pm 2\sqrt{7}$.

е) $5x^2 + 26x - 24 = 0$

Это квадратное уравнение вида $ax^2 + bx + c = 0$, где $a = 5$, $b = 26$, $c = -24$.

Используем формулу для $D/4 = (b/2)^2 - ac$, так как $b$ четное:

$D/4 = (26/2)^2 - 5 \cdot (-24) = 13^2 + 120 = 169 + 120 = 289$.

Корни находим по формуле $x_{1,2} = \frac{-b/2 \pm \sqrt{D/4}}{a}$:

$x_1 = \frac{-13 + \sqrt{289}}{5} = \frac{-13 + 17}{5} = \frac{4}{5} = 0.8$.

$x_2 = \frac{-13 - \sqrt{289}}{5} = \frac{-13 - 17}{5} = \frac{-30}{5} = -6$.

Ответ: $0.8; -6$.

ж) $x^2 - 34x + 289 = 0$

Левая часть уравнения является полным квадратом, так как $289 = 17^2$ и $2 \cdot 17 = 34$.

$x^2 - 2 \cdot x \cdot 17 + 17^2 = (x - 17)^2$.

Уравнение принимает вид $(x - 17)^2 = 0$.

$x - 17 = 0$

$x = 17$.

Уравнение имеет один корень.

Ответ: $17$.

з) $3x^2 + 32x + 80 = 0$

Это квадратное уравнение вида $ax^2 + bx + c = 0$, где $a = 3$, $b = 32$, $c = 80$.

Используем формулу для $D/4 = (b/2)^2 - ac$, так как $b$ четное:

$D/4 = (32/2)^2 - 3 \cdot 80 = 16^2 - 240 = 256 - 240 = 16$.

Корни находим по формуле $x_{1,2} = \frac{-b/2 \pm \sqrt{D/4}}{a}$:

$x_1 = \frac{-16 + \sqrt{16}}{3} = \frac{-16 + 4}{3} = \frac{-12}{3} = -4$.

$x_2 = \frac{-16 - \sqrt{16}}{3} = \frac{-16 - 4}{3} = -\frac{20}{3} = -6\frac{2}{3}$.

Ответ: $-4; -6\frac{2}{3}$.

Помогло решение? Оставьте отзыв в комментариях ниже.

Присоединяйтесь к Телеграм-группе @top_gdz

Присоединиться

Мы подготовили для вас ответ c подробным объяснением домашего задания по алгебре за 8 класс, для упражнения номер 540 расположенного на странице 127 к учебнику 2019 - 2022 года издания для учащихся школ и гимназий.

Теперь на нашем сайте ГДЗ.ТОП вы всегда легко и бесплатно найдёте условие с правильным ответом на вопрос «Как решить ДЗ» и «Как сделать» задание по алгебре к упражнению №540 (с. 127), авторов: Макарычев (Юрий Николаевич), Миндюк (Нора Григорьевна), Нешков (Константин Иванович), Суворова (Светлана Борисовна), ФГОС (старый) учебного пособия издательства Просвещение.