Номер 546, страница 128 - гдз по алгебре 8 класс учебник Макарычев, Миндюк

Алгебра, 8 класс Учебник, авторы: Макарычев Юрий Николаевич, Миндюк Нора Григорьевна, Нешков Константин Иванович, Суворова Светлана Борисовна, издательство Просвещение, Москва, 2019 - 2022, белого цвета

Авторы: Макарычев Ю. Н., Миндюк Н. Г., Нешков К. И., Суворова С. Б.

Тип: Учебник

Издательство: Просвещение

Год издания: 2019 - 2022

Цвет обложки: белый, голубой, фиолетовый

ISBN: 978-5-09-087569-1

Допущено Министерством просвещения Российской Федерации

Популярные ГДЗ в 8 классе

Глава 3. Квадратные уравнения. Параграф 8. Квадратное уравнение и его корни. 22. Формула корней квадратного уравнения - номер 546, страница 128.

№546 (с. 128)
Условие. №546 (с. 128)
скриншот условия
Алгебра, 8 класс Учебник, авторы: Макарычев Юрий Николаевич, Миндюк Нора Григорьевна, Нешков Константин Иванович, Суворова Светлана Борисовна, издательство Просвещение, Москва, 2019 - 2022, белого цвета, страница 128, номер 546, Условие

546. Решите уравнение:

а) $ \frac{x^2-1}{2} - 11x = 11; $

б) $ \frac{x^2+x}{2} = \frac{8x-7}{3}; $

в) $ \frac{4x^2-1}{3} = x(10x-9); $

г) $ \frac{3}{4}x^2 - \frac{2}{5}x = \frac{4}{5}x^2 + \frac{3}{4}. $

Решение 1. №546 (с. 128)
Алгебра, 8 класс Учебник, авторы: Макарычев Юрий Николаевич, Миндюк Нора Григорьевна, Нешков Константин Иванович, Суворова Светлана Борисовна, издательство Просвещение, Москва, 2019 - 2022, белого цвета, страница 128, номер 546, Решение 1
Алгебра, 8 класс Учебник, авторы: Макарычев Юрий Николаевич, Миндюк Нора Григорьевна, Нешков Константин Иванович, Суворова Светлана Борисовна, издательство Просвещение, Москва, 2019 - 2022, белого цвета, страница 128, номер 546, Решение 1 (продолжение 2)
Решение 2. №546 (с. 128)
Алгебра, 8 класс Учебник, авторы: Макарычев Юрий Николаевич, Миндюк Нора Григорьевна, Нешков Константин Иванович, Суворова Светлана Борисовна, издательство Просвещение, Москва, 2019 - 2022, белого цвета, страница 128, номер 546, Решение 2
Алгебра, 8 класс Учебник, авторы: Макарычев Юрий Николаевич, Миндюк Нора Григорьевна, Нешков Константин Иванович, Суворова Светлана Борисовна, издательство Просвещение, Москва, 2019 - 2022, белого цвета, страница 128, номер 546, Решение 2 (продолжение 2)
Решение 3. №546 (с. 128)
Алгебра, 8 класс Учебник, авторы: Макарычев Юрий Николаевич, Миндюк Нора Григорьевна, Нешков Константин Иванович, Суворова Светлана Борисовна, издательство Просвещение, Москва, 2019 - 2022, белого цвета, страница 128, номер 546, Решение 3
Решение 4. №546 (с. 128)
Алгебра, 8 класс Учебник, авторы: Макарычев Юрий Николаевич, Миндюк Нора Григорьевна, Нешков Константин Иванович, Суворова Светлана Борисовна, издательство Просвещение, Москва, 2019 - 2022, белого цвета, страница 128, номер 546, Решение 4
Решение 5. №546 (с. 128)
Алгебра, 8 класс Учебник, авторы: Макарычев Юрий Николаевич, Миндюк Нора Григорьевна, Нешков Константин Иванович, Суворова Светлана Борисовна, издательство Просвещение, Москва, 2019 - 2022, белого цвета, страница 128, номер 546, Решение 5
Решение 6. №546 (с. 128)
Алгебра, 8 класс Учебник, авторы: Макарычев Юрий Николаевич, Миндюк Нора Григорьевна, Нешков Константин Иванович, Суворова Светлана Борисовна, издательство Просвещение, Москва, 2019 - 2022, белого цвета, страница 128, номер 546, Решение 6 Алгебра, 8 класс Учебник, авторы: Макарычев Юрий Николаевич, Миндюк Нора Григорьевна, Нешков Константин Иванович, Суворова Светлана Борисовна, издательство Просвещение, Москва, 2019 - 2022, белого цвета, страница 128, номер 546, Решение 6 (продолжение 2)
Решение 7. №546 (с. 128)
Алгебра, 8 класс Учебник, авторы: Макарычев Юрий Николаевич, Миндюк Нора Григорьевна, Нешков Константин Иванович, Суворова Светлана Борисовна, издательство Просвещение, Москва, 2019 - 2022, белого цвета, страница 128, номер 546, Решение 7
Решение 8. №546 (с. 128)

а) Исходное уравнение: $\frac{x^2 - 1}{2} - 11x = 11$.
Чтобы избавиться от знаменателя, умножим обе части уравнения на 2:
$2 \cdot (\frac{x^2 - 1}{2}) - 2 \cdot 11x = 2 \cdot 11$
$x^2 - 1 - 22x = 22$
Перенесем все члены в левую часть, чтобы получить стандартное квадратное уравнение вида $ax^2 + bx + c = 0$:
$x^2 - 22x - 1 - 22 = 0$
$x^2 - 22x - 23 = 0$
Найдем корни уравнения с помощью дискриминанта $D = b^2 - 4ac$:
$a=1, b=-22, c=-23$
$D = (-22)^2 - 4 \cdot 1 \cdot (-23) = 484 + 92 = 576$
$\sqrt{D} = \sqrt{576} = 24$
Теперь найдем корни по формуле $x = \frac{-b \pm \sqrt{D}}{2a}$:
$x_1 = \frac{-(-22) + 24}{2 \cdot 1} = \frac{22 + 24}{2} = \frac{46}{2} = 23$
$x_2 = \frac{-(-22) - 24}{2 \cdot 1} = \frac{22 - 24}{2} = \frac{-2}{2} = -1$
Ответ: $x_1 = 23, x_2 = -1$.

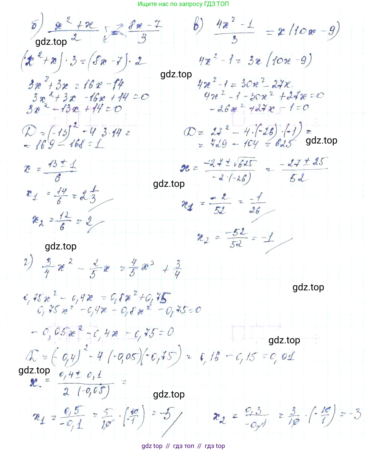
б) Исходное уравнение: $\frac{x^2 + x}{2} = \frac{8x - 7}{3}$.
Это пропорция, поэтому мы можем использовать правило перекрестного умножения:
$3(x^2 + x) = 2(8x - 7)$
Раскроем скобки в обеих частях уравнения:
$3x^2 + 3x = 16x - 14$
Перенесем все члены в левую часть:
$3x^2 + 3x - 16x + 14 = 0$
$3x^2 - 13x + 14 = 0$
Найдем корни уравнения с помощью дискриминанта $D = b^2 - 4ac$:
$a=3, b=-13, c=14$
$D = (-13)^2 - 4 \cdot 3 \cdot 14 = 169 - 168 = 1$
$\sqrt{D} = \sqrt{1} = 1$
Найдем корни по формуле $x = \frac{-b \pm \sqrt{D}}{2a}$:
$x_1 = \frac{-(-13) + 1}{2 \cdot 3} = \frac{13 + 1}{6} = \frac{14}{6} = \frac{7}{3}$
$x_2 = \frac{-(-13) - 1}{2 \cdot 3} = \frac{13 - 1}{6} = \frac{12}{6} = 2$
Ответ: $x_1 = \frac{7}{3}, x_2 = 2$.

в) Исходное уравнение: $\frac{4x^2 - 1}{3} = x(10x - 9)$.
Умножим обе части уравнения на 3, чтобы избавиться от знаменателя:
$4x^2 - 1 = 3x(10x - 9)$
Раскроем скобки в правой части:
$4x^2 - 1 = 30x^2 - 27x$
Перенесем все члены в правую часть для получения стандартного вида:
$0 = 30x^2 - 4x^2 - 27x + 1$
$26x^2 - 27x + 1 = 0$
Найдем корни уравнения с помощью дискриминанта $D = b^2 - 4ac$:
$a=26, b=-27, c=1$
$D = (-27)^2 - 4 \cdot 26 \cdot 1 = 729 - 104 = 625$
$\sqrt{D} = \sqrt{625} = 25$
Найдем корни по формуле $x = \frac{-b \pm \sqrt{D}}{2a}$:
$x_1 = \frac{-(-27) + 25}{2 \cdot 26} = \frac{27 + 25}{52} = \frac{52}{52} = 1$
$x_2 = \frac{-(-27) - 25}{2 \cdot 26} = \frac{27 - 25}{52} = \frac{2}{52} = \frac{1}{26}$
Ответ: $x_1 = 1, x_2 = \frac{1}{26}$.

г) Исходное уравнение: $\frac{3}{4}x^2 - \frac{2}{5}x = \frac{4}{5}x^2 + \frac{3}{4}$.
Сначала перегруппируем члены, собрав слагаемые с $x^2$ и $x$ в левой части, а свободные члены - в правой:
$\frac{3}{4}x^2 - \frac{4}{5}x^2 - \frac{2}{5}x = \frac{3}{4}$
Приведем дроби с $x^2$ к общему знаменателю 20:
$(\frac{3 \cdot 5}{4 \cdot 5} - \frac{4 \cdot 4}{5 \cdot 4})x^2 - \frac{2}{5}x = \frac{3}{4}$
$(\frac{15}{20} - \frac{16}{20})x^2 - \frac{2}{5}x = \frac{3}{4}$
$-\frac{1}{20}x^2 - \frac{2}{5}x - \frac{3}{4} = 0$
Чтобы избавиться от дробей, умножим все уравнение на наименьший общий знаменатель (20):
$20 \cdot (-\frac{1}{20}x^2) - 20 \cdot (\frac{2}{5}x) - 20 \cdot (\frac{3}{4}) = 0$
$-x^2 - 8x - 15 = 0$
Умножим на -1 для удобства:
$x^2 + 8x + 15 = 0$
Найдем корни. Можно использовать теорему Виета: сумма корней $x_1 + x_2 = -8$, произведение корней $x_1 \cdot x_2 = 15$. Подбором находим корни -3 и -5.
Проверим с помощью дискриминанта $D = b^2 - 4ac$:
$a=1, b=8, c=15$
$D = 8^2 - 4 \cdot 1 \cdot 15 = 64 - 60 = 4$
$\sqrt{D} = \sqrt{4} = 2$
$x_1 = \frac{-8 + 2}{2 \cdot 1} = \frac{-6}{2} = -3$
$x_2 = \frac{-8 - 2}{2 \cdot 1} = \frac{-10}{2} = -5$
Ответ: $x_1 = -3, x_2 = -5$.

Помогло решение? Оставьте отзыв в комментариях ниже.

Присоединяйтесь к Телеграм-группе @top_gdz

Присоединиться

Мы подготовили для вас ответ c подробным объяснением домашего задания по алгебре за 8 класс, для упражнения номер 546 расположенного на странице 128 к учебнику 2019 - 2022 года издания для учащихся школ и гимназий.

Теперь на нашем сайте ГДЗ.ТОП вы всегда легко и бесплатно найдёте условие с правильным ответом на вопрос «Как решить ДЗ» и «Как сделать» задание по алгебре к упражнению №546 (с. 128), авторов: Макарычев (Юрий Николаевич), Миндюк (Нора Григорьевна), Нешков (Константин Иванович), Суворова (Светлана Борисовна), ФГОС (старый) учебного пособия издательства Просвещение.