Номер 547, страница 128 - гдз по алгебре 8 класс учебник Макарычев, Миндюк

Алгебра, 8 класс Учебник, авторы: Макарычев Юрий Николаевич, Миндюк Нора Григорьевна, Нешков Константин Иванович, Суворова Светлана Борисовна, издательство Просвещение, Москва, 2019 - 2022, белого цвета

Авторы: Макарычев Ю. Н., Миндюк Н. Г., Нешков К. И., Суворова С. Б.

Тип: Учебник

Издательство: Просвещение

Год издания: 2019 - 2022

Цвет обложки: белый, голубой, фиолетовый

ISBN: 978-5-09-087569-1

Допущено Министерством просвещения Российской Федерации

Популярные ГДЗ в 8 классе

Глава 3. Квадратные уравнения. Параграф 8. Квадратное уравнение и его корни. 22. Формула корней квадратного уравнения - номер 547, страница 128.

№547 (с. 128)
Условие. №547 (с. 128)
скриншот условия
Алгебра, 8 класс Учебник, авторы: Макарычев Юрий Николаевич, Миндюк Нора Григорьевна, Нешков Константин Иванович, Суворова Светлана Борисовна, издательство Просвещение, Москва, 2019 - 2022, белого цвета, страница 128, номер 547, Условие

547. Найдите корни уравнения и укажите их приближённые значения в виде десятичных дробей с точностью до 0,01:

а) $5x^2 - x - 1 = 0;$

б) $2x^2 + 7x + 4 = 0;$

в) $3(y^2 - 2) - y = 0;$

г) $y^2 + 8(y - 1) = 3.$

Решение 1. №547 (с. 128)
Алгебра, 8 класс Учебник, авторы: Макарычев Юрий Николаевич, Миндюк Нора Григорьевна, Нешков Константин Иванович, Суворова Светлана Борисовна, издательство Просвещение, Москва, 2019 - 2022, белого цвета, страница 128, номер 547, Решение 1
Алгебра, 8 класс Учебник, авторы: Макарычев Юрий Николаевич, Миндюк Нора Григорьевна, Нешков Константин Иванович, Суворова Светлана Борисовна, издательство Просвещение, Москва, 2019 - 2022, белого цвета, страница 128, номер 547, Решение 1 (продолжение 2)
Решение 2. №547 (с. 128)
Алгебра, 8 класс Учебник, авторы: Макарычев Юрий Николаевич, Миндюк Нора Григорьевна, Нешков Константин Иванович, Суворова Светлана Борисовна, издательство Просвещение, Москва, 2019 - 2022, белого цвета, страница 128, номер 547, Решение 2
Решение 3. №547 (с. 128)
Алгебра, 8 класс Учебник, авторы: Макарычев Юрий Николаевич, Миндюк Нора Григорьевна, Нешков Константин Иванович, Суворова Светлана Борисовна, издательство Просвещение, Москва, 2019 - 2022, белого цвета, страница 128, номер 547, Решение 3
Решение 4. №547 (с. 128)
Алгебра, 8 класс Учебник, авторы: Макарычев Юрий Николаевич, Миндюк Нора Григорьевна, Нешков Константин Иванович, Суворова Светлана Борисовна, издательство Просвещение, Москва, 2019 - 2022, белого цвета, страница 128, номер 547, Решение 4
Решение 5. №547 (с. 128)
Алгебра, 8 класс Учебник, авторы: Макарычев Юрий Николаевич, Миндюк Нора Григорьевна, Нешков Константин Иванович, Суворова Светлана Борисовна, издательство Просвещение, Москва, 2019 - 2022, белого цвета, страница 128, номер 547, Решение 5
Решение 6. №547 (с. 128)
Алгебра, 8 класс Учебник, авторы: Макарычев Юрий Николаевич, Миндюк Нора Григорьевна, Нешков Константин Иванович, Суворова Светлана Борисовна, издательство Просвещение, Москва, 2019 - 2022, белого цвета, страница 128, номер 547, Решение 6
Решение 7. №547 (с. 128)
Алгебра, 8 класс Учебник, авторы: Макарычев Юрий Николаевич, Миндюк Нора Григорьевна, Нешков Константин Иванович, Суворова Светлана Борисовна, издательство Просвещение, Москва, 2019 - 2022, белого цвета, страница 128, номер 547, Решение 7
Решение 8. №547 (с. 128)

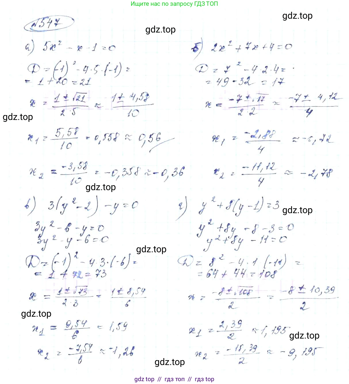
а) Для решения уравнения $5x^2 - x - 1 = 0$ воспользуемся формулой корней квадратного уравнения. Это уравнение вида $ax^2 + bx + c = 0$, где коэффициенты $a=5$, $b=-1$, $c=-1$.Сначала вычислим дискриминант по формуле $D = b^2 - 4ac$:$D = (-1)^2 - 4 \cdot 5 \cdot (-1) = 1 + 20 = 21$.Так как $D > 0$, уравнение имеет два действительных корня. Найдем их по формуле $x_{1,2} = \frac{-b \pm \sqrt{D}}{2a}$:$x_1 = \frac{-(-1) + \sqrt{21}}{2 \cdot 5} = \frac{1 + \sqrt{21}}{10}$$x_2 = \frac{-(-1) - \sqrt{21}}{2 \cdot 5} = \frac{1 - \sqrt{21}}{10}$Теперь найдем приближенные значения корней с точностью до 0,01. Используем приближенное значение $\sqrt{21} \approx 4,58$:$x_1 \approx \frac{1 + 4,58}{10} = \frac{5,58}{10} = 0,558 \approx 0,56$$x_2 \approx \frac{1 - 4,58}{10} = \frac{-3,58}{10} = -0,358 \approx -0,36$
Ответ: $x_1 \approx 0,56$; $x_2 \approx -0,36$.

б) Рассмотрим уравнение $2x^2 + 7x + 4 = 0$. Коэффициенты данного квадратного уравнения: $a=2$, $b=7$, $c=4$.Вычислим дискриминант:$D = b^2 - 4ac = 7^2 - 4 \cdot 2 \cdot 4 = 49 - 32 = 17$.Так как $D > 0$, находим два корня:$x_1 = \frac{-7 + \sqrt{17}}{2 \cdot 2} = \frac{-7 + \sqrt{17}}{4}$$x_2 = \frac{-7 - \sqrt{17}}{2 \cdot 2} = \frac{-7 - \sqrt{17}}{4}$Найдем приближенные значения, используя $\sqrt{17} \approx 4,12$:$x_1 \approx \frac{-7 + 4,12}{4} = \frac{-2,88}{4} = -0,72$$x_2 \approx \frac{-7 - 4,12}{4} = \frac{-11,12}{4} = -2,78$
Ответ: $x_1 \approx -0,72$; $x_2 \approx -2,78$.

в) Решим уравнение $3(y^2 - 2) - y = 0$. Сначала преобразуем его к стандартному виду $ay^2 + by + c = 0$:$3y^2 - 6 - y = 0$$3y^2 - y - 6 = 0$Коэффициенты: $a=3$, $b=-1$, $c=-6$.Вычислим дискриминант:$D = b^2 - 4ac = (-1)^2 - 4 \cdot 3 \cdot (-6) = 1 + 72 = 73$.Корни уравнения:$y_1 = \frac{-(-1) + \sqrt{73}}{2 \cdot 3} = \frac{1 + \sqrt{73}}{6}$$y_2 = \frac{-(-1) - \sqrt{73}}{2 \cdot 3} = \frac{1 - \sqrt{73}}{6}$Найдем приближенные значения, используя $\sqrt{73} \approx 8,54$:$y_1 \approx \frac{1 + 8,54}{6} = \frac{9,54}{6} = 1,59$$y_2 \approx \frac{1 - 8,54}{6} = \frac{-7,54}{6} \approx -1,2566... \approx -1,26$
Ответ: $y_1 \approx 1,59$; $y_2 \approx -1,26$.

г) Решим уравнение $y^2 + 8(y - 1) = 3$. Приведем его к стандартному виду:$y^2 + 8y - 8 = 3$$y^2 + 8y - 8 - 3 = 0$$y^2 + 8y - 11 = 0$Коэффициенты: $a=1$, $b=8$, $c=-11$.Вычислим дискриминант:$D = b^2 - 4ac = 8^2 - 4 \cdot 1 \cdot (-11) = 64 + 44 = 108$.Корни уравнения:$y_1 = \frac{-8 + \sqrt{108}}{2 \cdot 1} = \frac{-8 + \sqrt{108}}{2}$$y_2 = \frac{-8 - \sqrt{108}}{2 \cdot 1} = \frac{-8 - \sqrt{108}}{2}$Найдем приближенные значения, используя $\sqrt{108} \approx 10,39$:$y_1 \approx \frac{-8 + 10,39}{2} = \frac{2,39}{2} = 1,195 \approx 1,20$$y_2 \approx \frac{-8 - 10,39}{2} = \frac{-18,39}{2} = -9,195 \approx -9,20$
Ответ: $y_1 \approx 1,20$; $y_2 \approx -9,20$.

Помогло решение? Оставьте отзыв в комментариях ниже.

Присоединяйтесь к Телеграм-группе @top_gdz

Присоединиться

Мы подготовили для вас ответ c подробным объяснением домашего задания по алгебре за 8 класс, для упражнения номер 547 расположенного на странице 128 к учебнику 2019 - 2022 года издания для учащихся школ и гимназий.

Теперь на нашем сайте ГДЗ.ТОП вы всегда легко и бесплатно найдёте условие с правильным ответом на вопрос «Как решить ДЗ» и «Как сделать» задание по алгебре к упражнению №547 (с. 128), авторов: Макарычев (Юрий Николаевич), Миндюк (Нора Григорьевна), Нешков (Константин Иванович), Суворова (Светлана Борисовна), ФГОС (старый) учебного пособия издательства Просвещение.