Номер 1.195, страница 56 - гдз по алгебре 9 класс учебник Арефьева, Пирютко

Алгебра, 9 класс Учебник, авторы: Арефьева Ирина Глебовна, Пирютко Ольга Николаевна, издательство Народная асвета, Минск, 2019, голубого цвета

Авторы: Арефьева И. Г., Пирютко О. Н.

Тип: Учебник

Издательство: Народная асвета

Год издания: 2019 - 2026

Цвет обложки: голубой, синий с графиком

ISBN: 978-985-03-3077-2

Допущено Министерством образования Республики Беларусь

Популярные ГДЗ в 9 классе

Глава 1. Рациональные выражения. Параграф 4. Умножение и деление рациональных дробей - номер 1.195, страница 56.

№1.195 (с. 56)
Условие. №1.195 (с. 56)
скриншот условия
Алгебра, 9 класс Учебник, авторы: Арефьева Ирина Глебовна, Пирютко Ольга Николаевна, издательство Народная асвета, Минск, 2019, голубого цвета, страница 56, номер 1.195, Условие

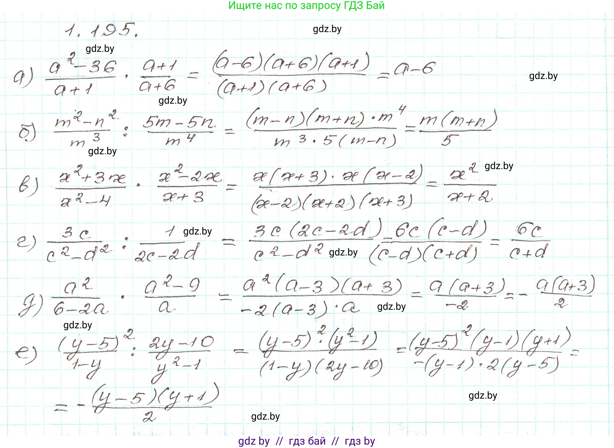
1.195. Выполните действия:

а) $\frac{a^2 - 36}{a + 1} \cdot \frac{a + 1}{a + 6}$;

Б) $\frac{m^2 - n^2}{m^3} : \frac{5m - 5n}{m^4}$;

В) $\frac{x^2 + 3x}{x^2 - 4} \cdot \frac{x^2 - 2x}{x + 3}$;

Г) $\frac{3c}{c^2 - d^2} : \frac{1}{2c - 2d}$;

Д) $\frac{a^2}{6 - 2a} \cdot \frac{a^2 - 9}{a}$;

е) $\frac{(y - 5)^2}{1 - y} : \frac{2y - 10}{y^2 - 1}$;

Решение. №1.195 (с. 56)
Алгебра, 9 класс Учебник, авторы: Арефьева Ирина Глебовна, Пирютко Ольга Николаевна, издательство Народная асвета, Минск, 2019, голубого цвета, страница 56, номер 1.195, Решение
Решение 2. №1.195 (с. 56)

а) Выполним умножение алгебраических дробей. Для этого разложим числители и знаменатели на множители, а затем сократим общие множители.

$$ \frac{a^2 - 36}{a + 1} \cdot \frac{a + 1}{a + 6} $$ Числитель первой дроби $a^2 - 36$ — это разность квадратов, которую можно разложить по формуле $x^2 - y^2 = (x-y)(x+y)$: $$ a^2 - 36 = (a - 6)(a + 6) $$ Подставим разложенное выражение в исходное: $$ \frac{(a - 6)(a + 6)}{a + 1} \cdot \frac{a + 1}{a + 6} $$ Теперь сократим общие множители $(a+1)$ и $(a+6)$ в числителе и знаменателе: $$ \frac{(a - 6)\cancel{(a + 6)}}{\cancel{a + 1}} \cdot \frac{\cancel{a + 1}}{\cancel{a + 6}} = a - 6 $$ Полученное выражение $a-6$ является многочленом, то есть его можно считать целой частью.
Ответ: $a - 6$.

б) Выполним деление дробей. Для этого заменим деление на умножение на обратную (перевернутую) дробь.

$$ \frac{m^2 - n^2}{m^3} : \frac{5m - 5n}{m^4} = \frac{m^2 - n^2}{m^3} \cdot \frac{m^4}{5m - 5n} $$ Разложим на множители числитель первой дроби (как разность квадратов) и знаменатель второй дроби (вынесем общий множитель за скобки): $$ m^2 - n^2 = (m - n)(m + n) $$ $$ 5m - 5n = 5(m - n) $$ Подставим разложения в выражение: $$ \frac{(m - n)(m + n)}{m^3} \cdot \frac{m^4}{5(m - n)} $$ Сократим общие множители $(m-n)$, а также $m^3$ и $m^4$ (останется $m$ в числителе): $$ \frac{\cancel{(m - n)}(m + n)}{\cancel{m^3}} \cdot \frac{m^{\cancel{4}}}{5\cancel{(m - n)}} = \frac{(m + n) \cdot m}{5} = \frac{m(m + n)}{5} $$ Полученное выражение является многочленом, то есть целой частью.
Ответ: $\frac{m(m + n)}{5}$.

в) Выполним умножение дробей, предварительно разложив числители и знаменатели на множители.

$$ \frac{x^2 + 3x}{x^2 - 4} \cdot \frac{x^2 - 2x}{x + 3} $$ Разложим на множители: $$ x^2 + 3x = x(x + 3) $$ $$ x^2 - 4 = (x - 2)(x + 2) $$ $$ x^2 - 2x = x(x - 2) $$ Подставим в исходное выражение: $$ \frac{x(x + 3)}{(x - 2)(x + 2)} \cdot \frac{x(x - 2)}{x + 3} $$ Сократим общие множители $(x+3)$ и $(x-2)$: $$ \frac{x\cancel{(x + 3)}}{\cancel{(x - 2)}(x + 2)} \cdot \frac{x\cancel{(x - 2)}}{\cancel{x + 3}} = \frac{x \cdot x}{x + 2} = \frac{x^2}{x + 2} $$ Полученная дробь является неправильной, так как степень числителя (2) больше степени знаменателя (1). Выделим целую часть путем деления многочлена на многочлен: $$ \frac{x^2}{x + 2} = \frac{x^2 - 4 + 4}{x + 2} = \frac{(x - 2)(x + 2) + 4}{x + 2} = \frac{(x-2)(x+2)}{x+2} + \frac{4}{x+2} = x - 2 + \frac{4}{x+2} $$
Ответ: $x - 2 + \frac{4}{x+2}$.

г) Выполним деление дробей, заменив его умножением на обратную дробь.

$$ \frac{3c}{c^2 - d^2} : \frac{1}{2c - 2d} = \frac{3c}{c^2 - d^2} \cdot \frac{2c - 2d}{1} $$ Разложим на множители знаменатель первой дроби и числитель второй: $$ c^2 - d^2 = (c - d)(c + d) $$ $$ 2c - 2d = 2(c - d) $$ Подставим разложения: $$ \frac{3c}{(c - d)(c + d)} \cdot \frac{2(c - d)}{1} $$ Сократим общий множитель $(c-d)$: $$ \frac{3c}{\cancel{(c - d)}(c + d)} \cdot \frac{2\cancel{(c - d)}}{1} = \frac{3c \cdot 2}{c + d} = \frac{6c}{c + d} $$ Полученная дробь является неправильной (степень числителя равна степени знаменателя). Выделим целую часть: $$ \frac{6c}{c + d} = \frac{6(c + d) - 6d}{c + d} = \frac{6(c+d)}{c+d} - \frac{6d}{c+d} = 6 - \frac{6d}{c+d} $$
Ответ: $6 - \frac{6d}{c+d}$.

д) Выполним умножение дробей.

$$ \frac{a^2}{6 - 2a} \cdot \frac{a^2 - 9}{a} $$ Разложим на множители знаменатель первой дроби и числитель второй: $$ 6 - 2a = 2(3 - a) = -2(a - 3) $$ $$ a^2 - 9 = (a - 3)(a + 3) $$ Подставим разложения в выражение: $$ \frac{a^2}{-2(a - 3)} \cdot \frac{(a - 3)(a + 3)}{a} $$ Сократим общие множители $(a-3)$ и $a$: $$ \frac{a^{\cancel{2}}}{-2\cancel{(a - 3)}} \cdot \frac{\cancel{(a - 3)}(a + 3)}{\cancel{a}} = \frac{a(a + 3)}{-2} = -\frac{a(a + 3)}{2} $$ Полученное выражение является многочленом, то есть целой частью.
Ответ: $-\frac{a(a + 3)}{2}$.

е) Выполним деление дробей, заменив его умножением на обратную дробь.

$$ \frac{(y-5)^2}{1 - y} : \frac{2y - 10}{y^2 - 1} = \frac{(y-5)^2}{1 - y} \cdot \frac{y^2 - 1}{2y - 10} $$ Разложим на множители: $$ 1 - y = -(y - 1) $$ $$ y^2 - 1 = (y - 1)(y + 1) $$ $$ 2y - 10 = 2(y - 5) $$ Подставим разложения: $$ \frac{(y-5)^2}{-(y - 1)} \cdot \frac{(y - 1)(y + 1)}{2(y - 5)} $$ Сократим общие множители $(y-1)$ и $(y-5)$: $$ \frac{(y-5)^{\cancel{2}}}{-\cancel{(y - 1)}} \cdot \frac{\cancel{(y - 1)}(y + 1)}{2\cancel{(y - 5)}} = \frac{(y-5)(y+1)}{-2} = -\frac{(y-5)(y+1)}{2} $$ Полученное выражение является многочленом, то есть целой частью.
Ответ: $-\frac{(y-5)(y+1)}{2}$.

Помогло решение? Оставьте отзыв в комментариях ниже.

Присоединяйтесь к Телеграм-группе @gdz_by_belarus

Присоединиться

Мы подготовили для вас ответ c подробным объяснением домашего задания по алгебре за 9 класс, для упражнения номер 1.195 расположенного на странице 56 к учебнику 2019 года издания для учащихся школ и гимназий.

Теперь на нашем сайте ГДЗ.ТОП вы всегда легко и бесплатно найдёте условие с правильным ответом на вопрос «Как решить ДЗ» и «Как сделать» задание по алгебре к упражнению №1.195 (с. 56), авторов: Арефьева (Ирина Глебовна), Пирютко (Ольга Николаевна), учебного пособия издательства Народная асвета.