Номер 1.200, страница 57 - гдз по алгебре 9 класс учебник Арефьева, Пирютко

Алгебра, 9 класс Учебник, авторы: Арефьева Ирина Глебовна, Пирютко Ольга Николаевна, издательство Народная асвета, Минск, 2019, голубого цвета

Авторы: Арефьева И. Г., Пирютко О. Н.

Тип: Учебник

Издательство: Народная асвета

Год издания: 2019 - 2026

Цвет обложки: голубой, синий с графиком

ISBN: 978-985-03-3077-2

Допущено Министерством образования Республики Беларусь

Популярные ГДЗ в 9 классе

Глава 1. Рациональные выражения. Параграф 4. Умножение и деление рациональных дробей - номер 1.200, страница 57.

№1.200 (с. 57)
Условие. №1.200 (с. 57)
скриншот условия
Алгебра, 9 класс Учебник, авторы: Арефьева Ирина Глебовна, Пирютко Ольга Николаевна, издательство Народная асвета, Минск, 2019, голубого цвета, страница 57, номер 1.200, Условие

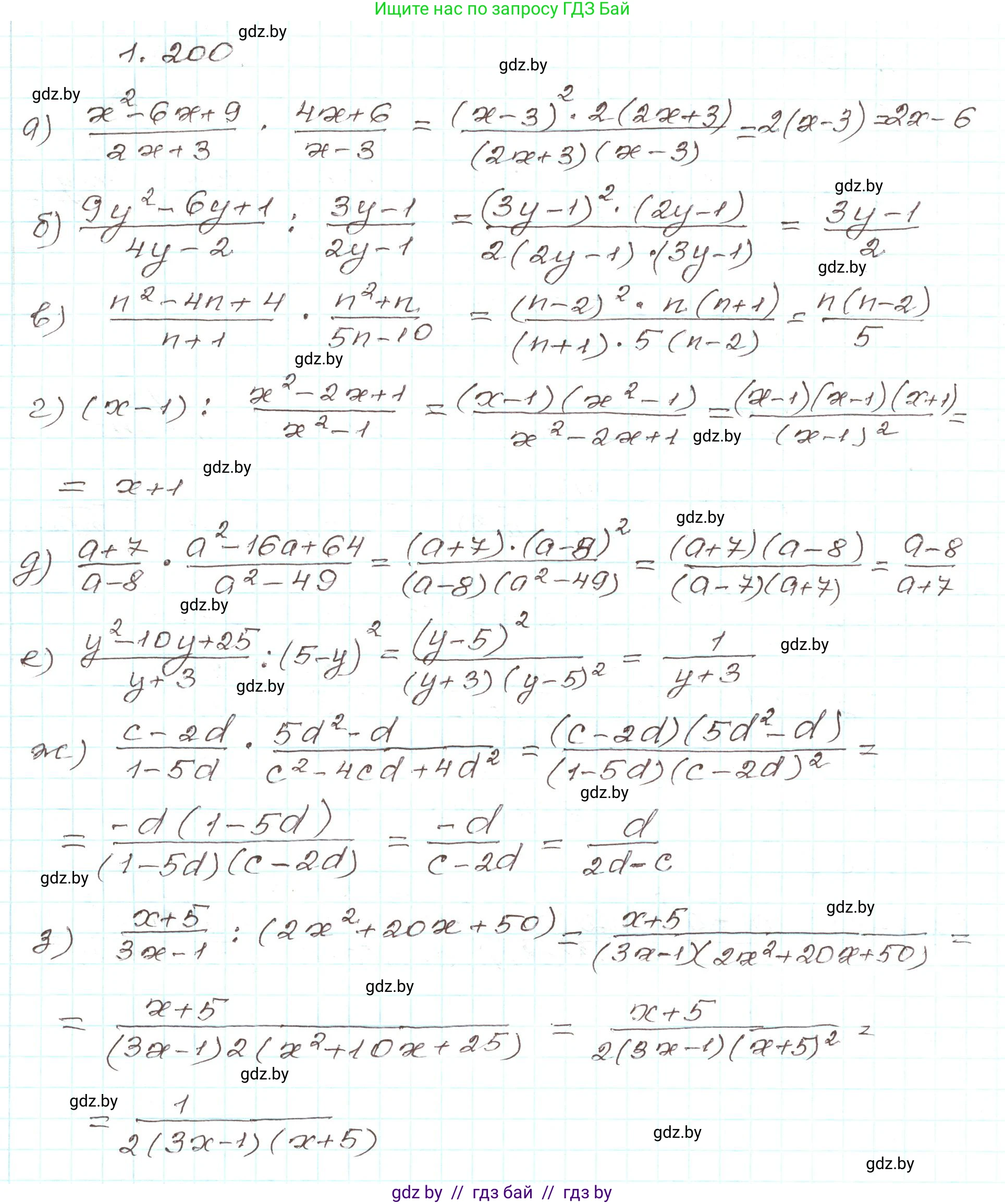
1.200. Упростите выражение:

a) $\frac{x^2 - 6x + 9}{2x + 3} \cdot \frac{4x + 6}{x - 3}$;

б) $\frac{9y^2 - 6y + 1}{4y - 2} : \frac{3y - 1}{2y - 1}$;

в) $\frac{n^2 - 4n + 4}{n + 1} \cdot \frac{n^2 + n}{5n - 10}$;

г) $(x - 1) : \frac{x^2 - 2x + 1}{x^2 - 1}$;

д) $\frac{a + 7}{a - 8} \cdot \frac{a^2 - 16a + 64}{a^2 - 49}$;

е) $\frac{y^2 - 10y + 25}{y + 3} : (5 - y)^2$;

ж) $\frac{c - 2d}{1 - 5d} \cdot \frac{5d^2 - d}{c^2 - 4cd + 4d^2}$;

з) $\frac{x + 5}{3x - 1} : (2x^2 + 20x + 50).$

Решение. №1.200 (с. 57)
Алгебра, 9 класс Учебник, авторы: Арефьева Ирина Глебовна, Пирютко Ольга Николаевна, издательство Народная асвета, Минск, 2019, голубого цвета, страница 57, номер 1.200, Решение
Решение 2. №1.200 (с. 57)

а) Чтобы упростить выражение, разложим числители и знаменатели на множители и сократим общие множители.

$ \frac{x^2-6x+9}{2x+3} \cdot \frac{4x+6}{x-3} = \frac{(x-3)^2}{2x+3} \cdot \frac{2(2x+3)}{x-3} $

Сокращаем общие множители $ (x-3) $ и $ (2x+3) $:

$ \frac{(x-3)^{\cancel{2}}}{ \cancel{2x+3}} \cdot \frac{2(\cancel{2x+3})}{\cancel{x-3}} = (x-3) \cdot 2 = 2(x-3) = 2x - 6 $.

Ответ: $ 2(x-3) $.

б) Чтобы разделить одну дробь на другую, нужно первую дробь умножить на дробь, обратную второй. Затем раскладываем на множители и сокращаем.

$ \frac{9y^2-6y+1}{4y-2} : \frac{3y-1}{2y-1} = \frac{9y^2-6y+1}{4y-2} \cdot \frac{2y-1}{3y-1} = \frac{(3y-1)^2}{2(2y-1)} \cdot \frac{2y-1}{3y-1} $

Сокращаем общие множители $ (3y-1) $ и $ (2y-1) $:

$ \frac{(3y-1)^{\cancel{2}}}{2(\cancel{2y-1})} \cdot \frac{\cancel{2y-1}}{\cancel{3y-1}} = \frac{3y-1}{2} $.

Ответ: $ \frac{3y-1}{2} $.

в) Раскладываем числители и знаменатели на множители и сокращаем общие множители.

$ \frac{n^2-4n+4}{n+1} \cdot \frac{n^2+n}{5n-10} = \frac{(n-2)^2}{n+1} \cdot \frac{n(n+1)}{5(n-2)} $

Сокращаем общие множители $ (n+1) $ и $ (n-2) $:

$ \frac{(n-2)^{\cancel{2}}}{\cancel{n+1}} \cdot \frac{n(\cancel{n+1})}{5(\cancel{n-2})} = \frac{n(n-2)}{5} $.

Ответ: $ \frac{n(n-2)}{5} $.

г) Представим $ (x-1) $ как дробь $ \frac{x-1}{1} $ и заменим деление на умножение на обратную дробь.

$ (x-1) : \frac{x^2-2x+1}{x^2-1} = \frac{x-1}{1} \cdot \frac{x^2-1}{x^2-2x+1} = \frac{x-1}{1} \cdot \frac{(x-1)(x+1)}{(x-1)^2} $

Сокращаем общий множитель $ (x-1)^2 $:

$ \frac{\cancel{(x-1)}\cancel{(x-1)}(x+1)}{\cancel{(x-1)^2}} = x+1 $.

Ответ: $ x+1 $.

д) Раскладываем числители и знаменатели на множители и сокращаем.

$ \frac{a+7}{a-8} \cdot \frac{a^2-16a+64}{a^2-49} = \frac{a+7}{a-8} \cdot \frac{(a-8)^2}{(a-7)(a+7)} $

Сокращаем общие множители $ (a+7) $ и $ (a-8) $:

$ \frac{\cancel{a+7}}{\cancel{a-8}} \cdot \frac{(a-8)^{\cancel{2}}}{(a-7)(\cancel{a+7})} = \frac{a-8}{a-7} $.

Полученная дробь является неправильной, так как степень числителя равна степени знаменателя. Выделим целую часть:

$ \frac{a-8}{a-7} = \frac{(a-7)-1}{a-7} = \frac{a-7}{a-7} - \frac{1}{a-7} = 1 - \frac{1}{a-7} $.

Ответ: $ 1 - \frac{1}{a-7} $.

е) Заменяем деление на умножение на обратное выражение и раскладываем на множители. Учтем, что $ (5-y)^2 = (y-5)^2 $.

$ \frac{y^2-10y+25}{y+3} : (5-y)^2 = \frac{y^2-10y+25}{y+3} \cdot \frac{1}{(5-y)^2} = \frac{(y-5)^2}{y+3} \cdot \frac{1}{(y-5)^2} $

Сокращаем общий множитель $ (y-5)^2 $:

$ \frac{\cancel{(y-5)^2}}{y+3} \cdot \frac{1}{\cancel{(y-5)^2}} = \frac{1}{y+3} $.

Ответ: $ \frac{1}{y+3} $.

ж) Раскладываем на множители и сокращаем. Обратим внимание, что $ 5d-1 = -(1-5d) $.

$ \frac{c-2d}{1-5d} \cdot \frac{5d^2-d}{c^2-4cd+4d^2} = \frac{c-2d}{1-5d} \cdot \frac{d(5d-1)}{(c-2d)^2} = \frac{c-2d}{1-5d} \cdot \frac{-d(1-5d)}{(c-2d)^2} $

Сокращаем общие множители $ (1-5d) $ и $ (c-2d) $:

$ \frac{\cancel{c-2d}}{\cancel{1-5d}} \cdot \frac{-d(\cancel{1-5d})}{(c-2d)^{\cancel{2}}} = \frac{-d}{c-2d} = -\frac{d}{c-2d} $.

Ответ: $ -\frac{d}{c-2d} $.

з) Заменяем деление на умножение на обратное выражение, раскладываем на множители и сокращаем.

$ \frac{x+5}{3x-1} : (2x^2+20x+50) = \frac{x+5}{3x-1} \cdot \frac{1}{2x^2+20x+50} = \frac{x+5}{3x-1} \cdot \frac{1}{2(x^2+10x+25)} = \frac{x+5}{3x-1} \cdot \frac{1}{2(x+5)^2} $

Сокращаем общий множитель $ (x+5) $:

$ \frac{\cancel{x+5}}{3x-1} \cdot \frac{1}{2(x+5)^{\cancel{2}}} = \frac{1}{2(3x-1)(x+5)} $.

Ответ: $ \frac{1}{2(3x-1)(x+5)} $.

Помогло решение? Оставьте отзыв в комментариях ниже.

Присоединяйтесь к Телеграм-группе @gdz_by_belarus

Присоединиться

Мы подготовили для вас ответ c подробным объяснением домашего задания по алгебре за 9 класс, для упражнения номер 1.200 расположенного на странице 57 к учебнику 2019 года издания для учащихся школ и гимназий.

Теперь на нашем сайте ГДЗ.ТОП вы всегда легко и бесплатно найдёте условие с правильным ответом на вопрос «Как решить ДЗ» и «Как сделать» задание по алгебре к упражнению №1.200 (с. 57), авторов: Арефьева (Ирина Глебовна), Пирютко (Ольга Николаевна), учебного пособия издательства Народная асвета.