Номер 1.198, страница 57 - гдз по алгебре 9 класс учебник Арефьева, Пирютко

Алгебра, 9 класс Учебник, авторы: Арефьева Ирина Глебовна, Пирютко Ольга Николаевна, издательство Народная асвета, Минск, 2019, голубого цвета

Авторы: Арефьева И. Г., Пирютко О. Н.

Тип: Учебник

Издательство: Народная асвета

Год издания: 2019 - 2026

Цвет обложки: голубой, синий с графиком

ISBN: 978-985-03-3077-2

Допущено Министерством образования Республики Беларусь

Популярные ГДЗ в 9 классе

Глава 1. Рациональные выражения. Параграф 4. Умножение и деление рациональных дробей - номер 1.198, страница 57.

№1.198 (с. 57)
Условие. №1.198 (с. 57)
скриншот условия
Алгебра, 9 класс Учебник, авторы: Арефьева Ирина Глебовна, Пирютко Ольга Николаевна, издательство Народная асвета, Минск, 2019, голубого цвета, страница 57, номер 1.198, Условие

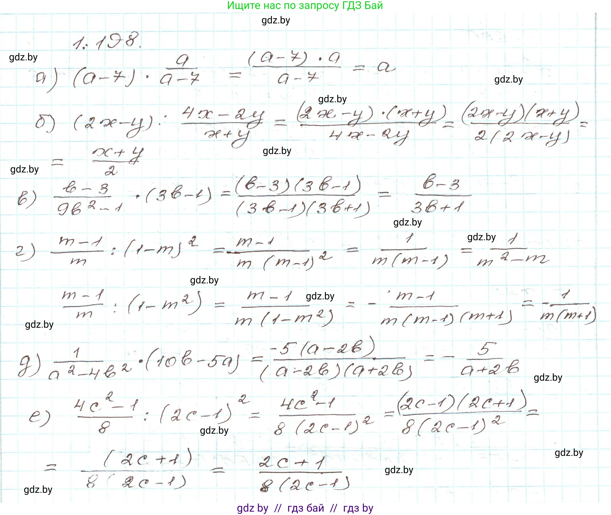
1.198. Приведите к рациональной дроби выражение:

а) $(a-7)\cdot\frac{a}{a-7};$

б) $(2x-y):\frac{4x-2y}{x+y};$

в) $\frac{b-3}{9b^2-1}\cdot(3b-1);$

г) $\frac{m-1}{m}:(1-m^2);$

д) $\frac{1}{a^2-4b^2}\cdot(10b-5a);$

е) $\frac{4c^2-1}{8}:(2c-1)^2.$

Решение. №1.198 (с. 57)
Алгебра, 9 класс Учебник, авторы: Арефьева Ирина Глебовна, Пирютко Ольга Николаевна, издательство Народная асвета, Минск, 2019, голубого цвета, страница 57, номер 1.198, Решение
Решение 2. №1.198 (с. 57)

а) Чтобы привести выражение $(a-7) \cdot \frac{a}{a-7}$ к рациональной дроби, представим множитель $(a-7)$ в виде дроби $\frac{a-7}{1}$ и выполним умножение. Это возможно при условии, что знаменатель не равен нулю, то есть $a-7 \neq 0$ или $a \neq 7$.

$(a-7) \cdot \frac{a}{a-7} = \frac{a-7}{1} \cdot \frac{a}{a-7} = \frac{(a-7) \cdot a}{1 \cdot (a-7)}$

Сократим дробь на общий множитель $(a-7)$:

$\frac{\cancel{(a-7)} \cdot a}{\cancel{a-7}} = a$

Результат является многочленом, который также является рациональным выражением (со знаменателем 1). Степень числителя (1) больше степени знаменателя (0), поэтому это неправильная дробь, и её целая часть равна самому выражению.

Ответ: $a$

б) Чтобы выполнить деление $(2x-y) : \frac{4x-2y}{x+y}$, заменим деление на умножение на обратную дробь. Это возможно при условии, что делитель не равен нулю, то есть $4x-2y \neq 0$ ($y \neq 2x$) и $x+y \neq 0$.

$(2x-y) : \frac{4x-2y}{x+y} = \frac{2x-y}{1} \cdot \frac{x+y}{4x-2y}$

В знаменателе второй дроби вынесем общий множитель 2 за скобки: $4x-2y = 2(2x-y)$.

$\frac{2x-y}{1} \cdot \frac{x+y}{2(2x-y)} = \frac{(2x-y)(x+y)}{2(2x-y)}$

Сократим дробь на общий множитель $(2x-y)$:

$\frac{\cancel{(2x-y)}(x+y)}{2\cancel{(2x-y)}} = \frac{x+y}{2}$

Полученная дробь $\frac{x+y}{2}$ является неправильной, так как степень числителя (1) больше степени знаменателя (0). Её можно представить в виде многочлена (целой части) $\frac{1}{2}x + \frac{1}{2}y$.

Ответ: $\frac{x+y}{2}$

в) Для упрощения выражения $\frac{b-3}{9b^2-1} \cdot (3b-1)$ разложим знаменатель на множители по формуле разности квадратов $a^2-b^2=(a-b)(a+b)$. Условие: $9b^2-1 \neq 0$, т.е. $b \neq \pm\frac{1}{3}$.

$9b^2-1 = (3b)^2 - 1^2 = (3b-1)(3b+1)$

Теперь выполним умножение:

$\frac{b-3}{(3b-1)(3b+1)} \cdot \frac{3b-1}{1} = \frac{(b-3)(3b-1)}{(3b-1)(3b+1)}$

Сократим дробь на общий множитель $(3b-1)$:

$\frac{(b-3)\cancel{(3b-1)}}{\cancel{(3b-1)}(3b+1)} = \frac{b-3}{3b+1}$

Полученная дробь $\frac{b-3}{3b+1}$ является неправильной, так как степень числителя (1) равна степени знаменателя (1). Выделим целую часть с помощью деления многочленов "уголком" или преобразования числителя:

$\frac{b-3}{3b+1} = \frac{\frac{1}{3}(3b+1) - \frac{1}{3} - 3}{3b+1} = \frac{\frac{1}{3}(3b+1) - \frac{10}{3}}{3b+1} = \frac{\frac{1}{3}(3b+1)}{3b+1} - \frac{\frac{10}{3}}{3b+1} = \frac{1}{3} - \frac{10}{3(3b+1)}$

Ответ: $\frac{1}{3} - \frac{10}{3(3b+1)}$

г) Чтобы выполнить деление $\frac{m-1}{m} : (1-m^2)$, заменим деление на умножение на обратное выражение. Условия: $m \neq 0$ и $1-m^2 \neq 0$, т.е. $m \neq \pm 1$.

$\frac{m-1}{m} : (1-m^2) = \frac{m-1}{m} \cdot \frac{1}{1-m^2}$

Разложим знаменатель $1-m^2$ на множители: $1-m^2 = (1-m)(1+m)$. Также заметим, что $m-1 = -(1-m)$.

$\frac{-(1-m)}{m} \cdot \frac{1}{(1-m)(1+m)} = \frac{-(1-m)}{m(1-m)(1+m)}$

Сократим дробь на общий множитель $(1-m)$:

$\frac{-\cancel{(1-m)}}{m\cancel{(1-m)}(1+m)} = \frac{-1}{m(1+m)} = -\frac{1}{m^2+m}$

Полученная дробь является правильной, так как степень числителя (0) меньше степени знаменателя (2).

Ответ: $-\frac{1}{m(m+1)}$

д) Для упрощения выражения $\frac{1}{a^2-4b^2} \cdot (10b-5a)$ разложим знаменатель на множители и вынесем общий множитель во втором сомножителе. Условие: $a^2-4b^2 \neq 0$, т.е. $a \neq \pm 2b$.

Знаменатель: $a^2-4b^2 = (a-2b)(a+2b)$.

Второй множитель: $10b-5a = 5(2b-a) = -5(a-2b)$.

Выполним умножение:

$\frac{1}{(a-2b)(a+2b)} \cdot (-5(a-2b)) = \frac{-5(a-2b)}{(a-2b)(a+2b)}$

Сократим дробь на общий множитель $(a-2b)$:

$\frac{-5\cancel{(a-2b)}}{\cancel{(a-2b)}(a+2b)} = -\frac{5}{a+2b}$

Полученная дробь является правильной, так как степень числителя (0) меньше степени знаменателя (1).

Ответ: $-\frac{5}{a+2b}$

е) Чтобы выполнить деление $\frac{4c^2-1}{8} : (2c-1)^2$, заменим деление на умножение на обратное выражение. Условие: $2c-1 \neq 0$, т.е. $c \neq \frac{1}{2}$.

$\frac{4c^2-1}{8} \cdot \frac{1}{(2c-1)^2}$

Разложим числитель первой дроби на множители: $4c^2-1 = (2c-1)(2c+1)$.

$\frac{(2c-1)(2c+1)}{8} \cdot \frac{1}{(2c-1)^2} = \frac{(2c-1)(2c+1)}{8(2c-1)^2}$

Сократим дробь на общий множитель $(2c-1)$:

$\frac{\cancel{(2c-1)}(2c+1)}{8(2c-1)^{\cancel{2}}} = \frac{2c+1}{8(2c-1)}$

Полученная дробь $\frac{2c+1}{8(2c-1)} = \frac{2c+1}{16c-8}$ является неправильной, так как степень числителя (1) равна степени знаменателя (1). Выделим целую часть:

$\frac{2c+1}{16c-8} = \frac{\frac{1}{8}(16c-8) + 1 + 1}{16c-8} = \frac{\frac{1}{8}(16c-8) + 2}{16c-8} = \frac{1}{8} + \frac{2}{16c-8} = \frac{1}{8} + \frac{2}{8(2c-1)} = \frac{1}{8} + \frac{1}{4(2c-1)}$

Ответ: $\frac{1}{8} + \frac{1}{4(2c-1)}$

Помогло решение? Оставьте отзыв в комментариях ниже.

Присоединяйтесь к Телеграм-группе @gdz_by_belarus

Присоединиться

Мы подготовили для вас ответ c подробным объяснением домашего задания по алгебре за 9 класс, для упражнения номер 1.198 расположенного на странице 57 к учебнику 2019 года издания для учащихся школ и гимназий.

Теперь на нашем сайте ГДЗ.ТОП вы всегда легко и бесплатно найдёте условие с правильным ответом на вопрос «Как решить ДЗ» и «Как сделать» задание по алгебре к упражнению №1.198 (с. 57), авторов: Арефьева (Ирина Глебовна), Пирютко (Ольга Николаевна), учебного пособия издательства Народная асвета.