Номер 2.20, страница 86 - гдз по алгебре 9 класс учебник Арефьева, Пирютко

Алгебра, 9 класс Учебник, авторы: Арефьева Ирина Глебовна, Пирютко Ольга Николаевна, издательство Народная асвета, Минск, 2019, голубого цвета

Авторы: Арефьева И. Г., Пирютко О. Н.

Тип: Учебник

Издательство: Народная асвета

Год издания: 2019 - 2026

Цвет обложки: голубой, синий с графиком

ISBN: 978-985-03-3077-2

Допущено Министерством образования Республики Беларусь

Популярные ГДЗ в 9 классе

Глава 2. Функции. Параграф 6. Функция числового аргумента. Область определения, множество значений. Способы задания функции - номер 2.20, страница 86.

№2.20 (с. 86)
Условие. №2.20 (с. 86)
скриншот условия
Алгебра, 9 класс Учебник, авторы: Арефьева Ирина Глебовна, Пирютко Ольга Николаевна, издательство Народная асвета, Минск, 2019, голубого цвета, страница 86, номер 2.20, Условие

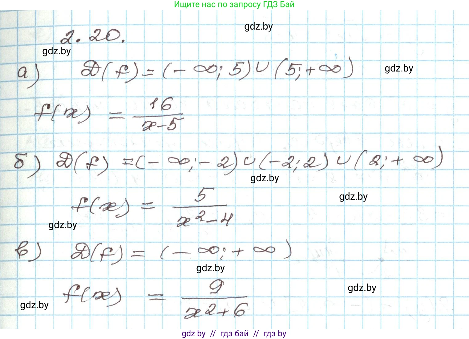
2.20. Приведите пример функции $y = f(x)$, у которой:

a) $D(f) = (-\infty; 5) \cup (5; +\infty);$

б) $D(f) = (-\infty; -2) \cup (-2; 2) \cup (2; +\infty);$

в) $D(f) = (-\infty; +\infty).$

Решение. №2.20 (с. 86)
Алгебра, 9 класс Учебник, авторы: Арефьева Ирина Глебовна, Пирютко Ольга Николаевна, издательство Народная асвета, Минск, 2019, голубого цвета, страница 86, номер 2.20, Решение
Решение 2. №2.20 (с. 86)

а) $D(f) = (-\infty; 5) \cup (5; +\infty)$;
Область определения функции $D(f)$ — это множество всех действительных чисел, за исключением точки $x=5$. Это означает, что при подстановке $x=5$ в функцию ее значение не определено. Классическим примером такой ситуации является дробно-рациональная функция, знаменатель которой обращается в ноль в этой точке.
Чтобы знаменатель был равен нулю при $x=5$, он должен иметь вид $k(x-5)$, где $k$ - ненулевая константа. Возьмем простейший случай, когда знаменатель равен $x-5$. В качестве числителя можно взять любое число, не равное нулю, например, 1.
Таким образом, искомая функция может быть:$f(x) = \frac{1}{x-5}$
Проверка: знаменатель $x-5 = 0$ при $x=5$. Следовательно, область определения этой функции $D(f) = (-\infty; 5) \cup (5; +\infty)$, что соответствует условию.
Ответ: $f(x) = \frac{1}{x-5}$

б) $D(f) = (-\infty; -2) \cup (-2; 2) \cup (2; +\infty)$;
Область определения функции $D(f)$ — это множество всех действительных чисел, за исключением точек $x=-2$ и $x=2$. Это означает, что функция не определена в этих двух точках.
Аналогично предыдущему пункту, построим дробно-рациональную функцию, знаменатель которой обращается в ноль при $x=-2$ и $x=2$. Для этого знаменатель должен содержать множители $(x-(-2)) = (x+2)$ и $(x-2)$.
Знаменатель будет их произведением: $(x+2)(x-2) = x^2 - 4$. В качестве числителя снова возьмем 1.
Таким образом, искомая функция может быть:$f(x) = \frac{1}{x^2-4}$
Проверка: знаменатель $x^2-4 = 0$ при $x^2=4$, то есть при $x=-2$ и $x=2$. Следовательно, область определения этой функции $D(f) = (-\infty; -2) \cup (-2; 2) \cup (2; +\infty)$, что соответствует условию.
Ответ: $f(x) = \frac{1}{x^2-4}$

в) $D(f) = (-\infty; +\infty)$.
Область определения функции $D(f)$ — это множество всех действительных чисел (вся числовая прямая). Это означает, что функция определена для любого значения $x$.
Этому условию удовлетворяет множество элементарных функций, например:

  • Любая полиномиальная (целая рациональная) функция, например, линейная $f(x) = kx + b$ или квадратичная $f(x) = ax^2+bx+c$.
  • Показательная функция $f(x) = a^x$ (где $a>0, a\neq1$).
  • Тригонометрические функции $f(x) = \sin(x)$ и $f(x) = \cos(x)$.

В качестве примера выберем одну из самых простых функций — линейную функцию $f(x) = x$. Она определена для любого действительного значения $x$.
Ответ: $f(x) = x$

Помогло решение? Оставьте отзыв в комментариях ниже.

Присоединяйтесь к Телеграм-группе @gdz_by_belarus

Присоединиться

Мы подготовили для вас ответ c подробным объяснением домашего задания по алгебре за 9 класс, для упражнения номер 2.20 расположенного на странице 86 к учебнику 2019 года издания для учащихся школ и гимназий.

Теперь на нашем сайте ГДЗ.ТОП вы всегда легко и бесплатно найдёте условие с правильным ответом на вопрос «Как решить ДЗ» и «Как сделать» задание по алгебре к упражнению №2.20 (с. 86), авторов: Арефьева (Ирина Глебовна), Пирютко (Ольга Николаевна), учебного пособия издательства Народная асвета.