Номер 2.21, страница 87 - гдз по алгебре 9 класс учебник Арефьева, Пирютко

Алгебра, 9 класс Учебник, авторы: Арефьева Ирина Глебовна, Пирютко Ольга Николаевна, издательство Народная асвета, Минск, 2019, голубого цвета

Авторы: Арефьева И. Г., Пирютко О. Н.

Тип: Учебник

Издательство: Народная асвета

Год издания: 2019 - 2026

Цвет обложки: голубой, синий с графиком

ISBN: 978-985-03-3077-2

Допущено Министерством образования Республики Беларусь

Популярные ГДЗ в 9 классе

Глава 2. Функции. Параграф 6. Функция числового аргумента. Область определения, множество значений. Способы задания функции - номер 2.21, страница 87.

№2.21 (с. 87)
Условие. №2.21 (с. 87)
скриншот условия
Алгебра, 9 класс Учебник, авторы: Арефьева Ирина Глебовна, Пирютко Ольга Николаевна, издательство Народная асвета, Минск, 2019, голубого цвета, страница 87, номер 2.21, Условие

2.21. Как найти область определения функции:

a) $y = \sqrt{x+3};$

б) $y = \sqrt{5x-1};$

в) $y = \frac{5}{\sqrt{7-0,1x}};$

г) $y = \sqrt{x^2-6x+8};$

д) $y = \sqrt{10x-x^2-9};$

е) $y = \frac{1}{\sqrt{x^2-25}}?$

Найдите $D(y)$. Обобщите способ решения.

Решение. №2.21 (с. 87)
Алгебра, 9 класс Учебник, авторы: Арефьева Ирина Глебовна, Пирютко Ольга Николаевна, издательство Народная асвета, Минск, 2019, голубого цвета, страница 87, номер 2.21, Решение Алгебра, 9 класс Учебник, авторы: Арефьева Ирина Глебовна, Пирютко Ольга Николаевна, издательство Народная асвета, Минск, 2019, голубого цвета, страница 87, номер 2.21, Решение (продолжение 2)
Решение 2. №2.21 (с. 87)

Область определения функции $D(y)$ — это множество всех значений аргумента $x$, при которых функция имеет смысл (определена).

а) Дана функция $y = \sqrt{x + 3}$.

Функция определена, когда выражение под знаком квадратного корня неотрицательно (больше или равно нулю).

Составим и решим неравенство:

$x + 3 \ge 0$

$x \ge -3$

Таким образом, область определения функции — это все числа, большие или равные -3.

В виде интервала это записывается как $[-3, \infty)$.

Ответ: $D(y) = [-3, \infty)$.

б) Дана функция $y = \sqrt{5x - 1}$.

Выражение под знаком квадратного корня должно быть неотрицательным.

Составим и решим неравенство:

$5x - 1 \ge 0$

$5x \ge 1$

$x \ge \frac{1}{5}$

Область определения функции — это все числа, большие или равные $\frac{1}{5}$.

В виде интервала это записывается как $[\frac{1}{5}, \infty)$.

Ответ: $D(y) = [\frac{1}{5}, \infty)$.

в) Дана функция $y = \frac{5}{\sqrt{7 - 0,1x}}$.

Здесь присутствуют две ограничивающие операции: деление и извлечение квадратного корня. Знаменатель дроби не может быть равен нулю, а выражение под корнем не может быть отрицательным. Так как корень находится в знаменателе, выражение под ним должно быть строго больше нуля.

Составим и решим строгое неравенство:

$7 - 0,1x > 0$

$7 > 0,1x$

Умножим обе части на 10, чтобы избавиться от дроби:

$70 > x$ или $x < 70$

Область определения функции — это все числа, меньшие 70.

В виде интервала это записывается как $(-\infty, 70)$.

Ответ: $D(y) = (-\infty, 70)$.

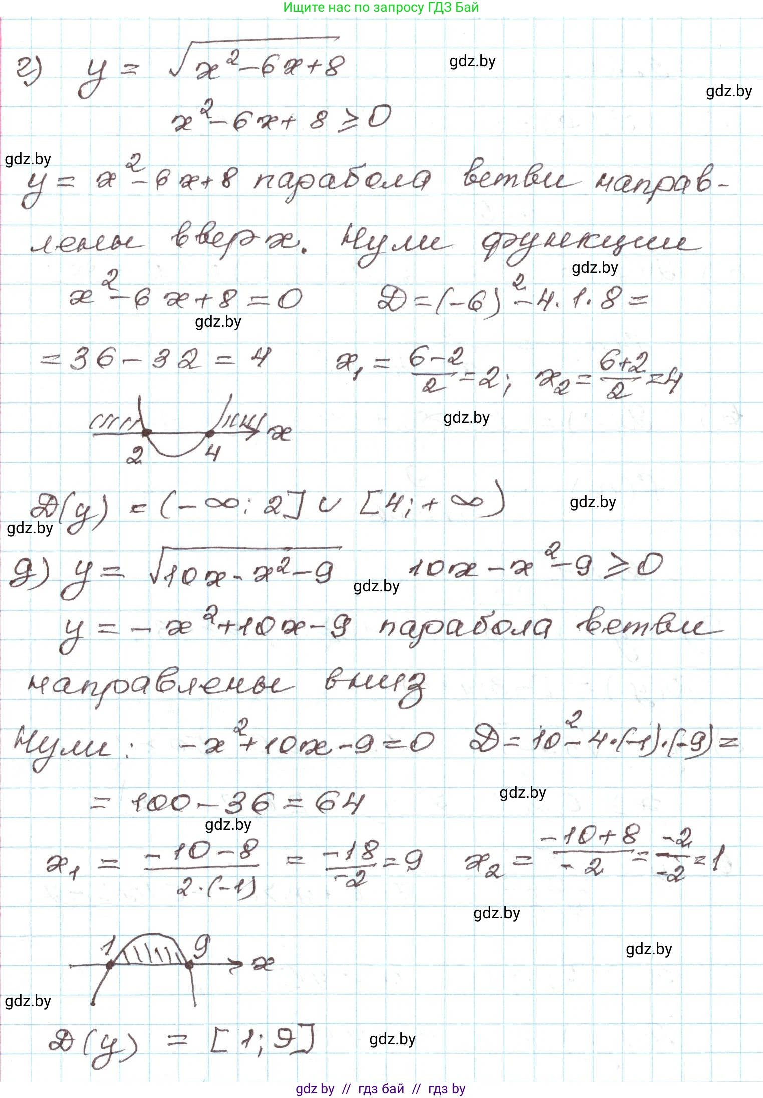
г) Дана функция $y = \sqrt{x^2 - 6x + 8}$.

Выражение под знаком квадратного корня должно быть неотрицательным.

Решим квадратное неравенство:

$x^2 - 6x + 8 \ge 0$

Сначала найдем корни соответствующего уравнения $x^2 - 6x + 8 = 0$.

По теореме Виета, корни уравнения: $x_1 = 2$, $x_2 = 4$ (так как $2+4=6$ и $2 \cdot 4=8$).

Парабола $y = x^2 - 6x + 8$ имеет ветви, направленные вверх (коэффициент при $x^2$ положителен). Следовательно, значения функции неотрицательны при $x$, находящихся вне интервала между корнями.

Таким образом, решение неравенства: $x \le 2$ или $x \ge 4$.

Область определения — это объединение двух интервалов.

Ответ: $D(y) = (-\infty, 2] \cup [4, \infty)$.

д) Дана функция $y = \sqrt{10x - x^2 - 9}$.

Выражение под знаком квадратного корня должно быть неотрицательным.

Решим неравенство:

$10x - x^2 - 9 \ge 0$

Умножим неравенство на -1, изменив знак на противоположный, чтобы получить стандартный вид квадратного трехчлена:

$x^2 - 10x + 9 \le 0$

Найдем корни уравнения $x^2 - 10x + 9 = 0$.

По теореме Виета, корни: $x_1 = 1$, $x_2 = 9$ (так как $1+9=10$ и $1 \cdot 9=9$).

Парабола $y = x^2 - 10x + 9$ имеет ветви, направленные вверх. Следовательно, значения функции неположительны (меньше или равны нулю) при $x$, находящихся между корнями (включая сами корни).

Решение неравенства: $1 \le x \le 9$.

Ответ: $D(y) = [1, 9]$.

е) Дана функция $y = \frac{1}{\sqrt{x^2 - 25}}$.

Выражение под корнем в знаменателе должно быть строго больше нуля.

Решим строгое неравенство:

$x^2 - 25 > 0$

Разложим левую часть на множители по формуле разности квадратов:

$(x - 5)(x + 5) > 0$

Корни соответствующего уравнения: $x_1 = -5$, $x_2 = 5$.

Парабола $y = x^2 - 25$ имеет ветви, направленные вверх. Значения функции положительны при $x$, находящихся вне интервала между корнями.

Решение неравенства: $x < -5$ или $x > 5$.

Ответ: $D(y) = (-\infty, -5) \cup (5, \infty)$.


Обобщение способа решения

Для нахождения области определения функции $D(y)$ необходимо выполнить следующие шаги:

  1. Анализ функции. Определить, какие математические операции, имеющие ограничения, присутствуют в формуле функции. Основные ограничения:
    • Квадратный корень (и любой корень четной степени): выражение под корнем $\sqrt{f(x)}$ должно быть неотрицательным: $f(x) \ge 0$.
    • Знаменатель дроби: знаменатель дроби с числителем $g(x)$ и знаменателем $h(x)$ не может быть равен нулю: $h(x) \ne 0$.
    • Логарифм: аргумент логарифма $\log_a(f(x))$ должен быть строго положительным: $f(x) > 0$.
  2. Составление системы ограничений. Для каждой найденной операции записать соответствующее ей математическое условие в виде неравенства или уравнения, которое не должно выполняться. Если ограничений несколько, они должны выполняться одновременно, что образует систему. Например, для функции $y = \frac{1}{\sqrt{f(x)}}$ оба ограничения (корень и знаменатель) объединяются в одно более сильное: $f(x) > 0$.
  3. Решение системы. Решить полученные неравенства (или систему неравенств). Методы решения зависят от вида выражений (линейные, квадратные, дробно-рациональные и т.д.).
  4. Запись результата. Множество решений системы и будет являться областью определения функции. Ответ обычно записывается в виде числового промежутка или объединения промежутков.

Помогло решение? Оставьте отзыв в комментариях ниже.

Присоединяйтесь к Телеграм-группе @gdz_by_belarus

Присоединиться

Мы подготовили для вас ответ c подробным объяснением домашего задания по алгебре за 9 класс, для упражнения номер 2.21 расположенного на странице 87 к учебнику 2019 года издания для учащихся школ и гимназий.

Теперь на нашем сайте ГДЗ.ТОП вы всегда легко и бесплатно найдёте условие с правильным ответом на вопрос «Как решить ДЗ» и «Как сделать» задание по алгебре к упражнению №2.21 (с. 87), авторов: Арефьева (Ирина Глебовна), Пирютко (Ольга Николаевна), учебного пособия издательства Народная асвета.