Номер 2.24, страница 87 - гдз по алгебре 9 класс учебник Арефьева, Пирютко

Алгебра, 9 класс Учебник, авторы: Арефьева Ирина Глебовна, Пирютко Ольга Николаевна, издательство Народная асвета, Минск, 2019, голубого цвета

Авторы: Арефьева И. Г., Пирютко О. Н.

Тип: Учебник

Издательство: Народная асвета

Год издания: 2019 - 2026

Цвет обложки: голубой, синий с графиком

ISBN: 978-985-03-3077-2

Допущено Министерством образования Республики Беларусь

Популярные ГДЗ в 9 классе

Глава 2. Функции. Параграф 6. Функция числового аргумента. Область определения, множество значений. Способы задания функции - номер 2.24, страница 87.

№2.24 (с. 87)
Условие. №2.24 (с. 87)
скриншот условия
Алгебра, 9 класс Учебник, авторы: Арефьева Ирина Глебовна, Пирютко Ольга Николаевна, издательство Народная асвета, Минск, 2019, голубого цвета, страница 87, номер 2.24, Условие

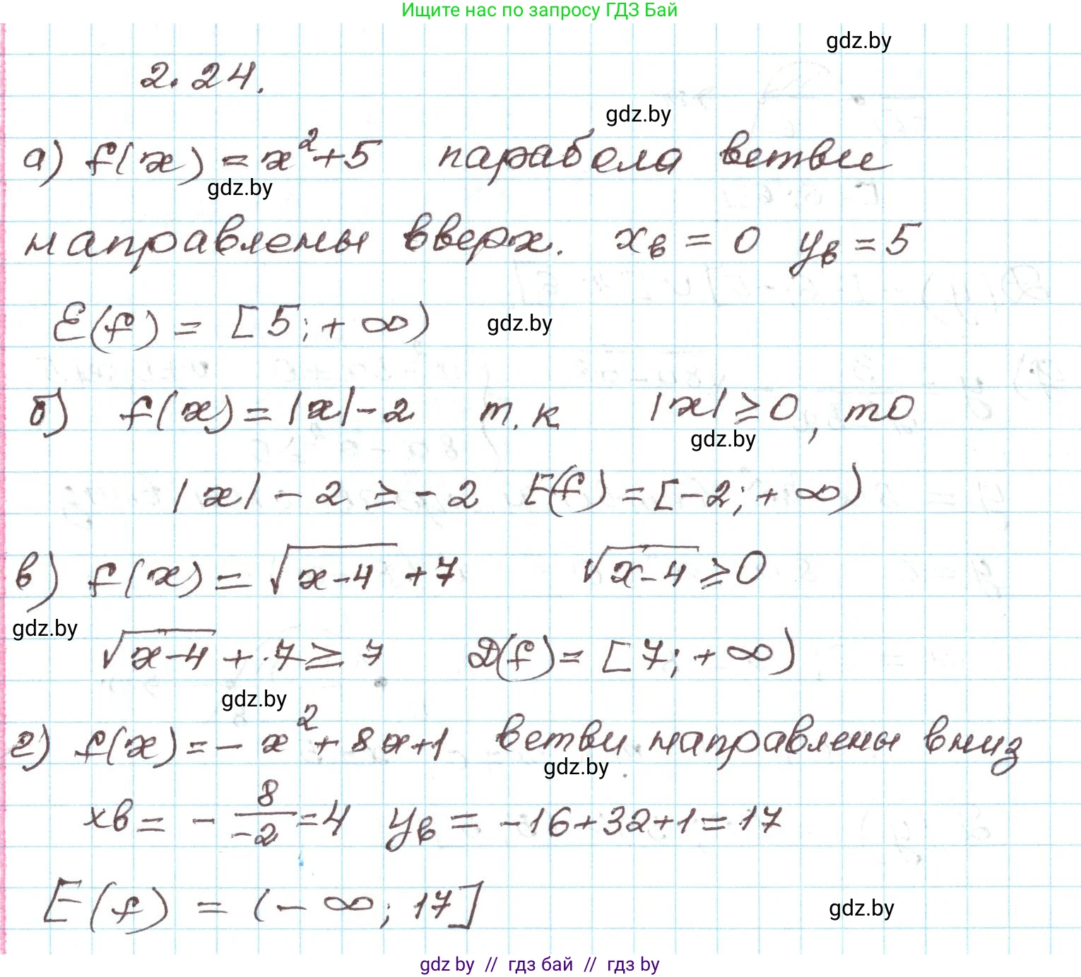
2.24. Найдите множество значений функции:

а) $f(x) = x^2 + 5;$

б) $f(x) = |x| - 2;$

в) $f(x) = \sqrt{x - 4} + 7;$

г) $f(x) = -x^2 + 8x + 1.$

Решение. №2.24 (с. 87)
Алгебра, 9 класс Учебник, авторы: Арефьева Ирина Глебовна, Пирютко Ольга Николаевна, издательство Народная асвета, Минск, 2019, голубого цвета, страница 87, номер 2.24, Решение
Решение 2. №2.24 (с. 87)

а) $f(x) = x^2 + 5$

Данная функция является квадратичной. График функции $y = x^2$ — это парабола с вершиной в точке $(0, 0)$, ветви которой направлены вверх. Множество значений для $y = x^2$ — это луч $[0, +\infty)$. Это означает, что для любого действительного числа $x$, значение $x^2$ всегда неотрицательно, то есть $x^2 \ge 0$.

Функция $f(x) = x^2 + 5$ получается из $y=x^2$ сдвигом вверх на 5 единиц. Следовательно, наименьшее значение функции достигается, когда $x^2$ принимает свое наименьшее значение, равное 0.

Наименьшее значение функции: $f(0) = 0^2 + 5 = 5$.

Таким образом, все значения функции будут больше или равны 5. Множество значений функции (область значений) — это промежуток от 5, включая 5, до плюс бесконечности.

Ответ: $E(f) = [5, +\infty)$.

б) $f(x) = |x| - 2$

Рассмотрим функцию $y = |x|$. Модуль числа — это неотрицательная величина, поэтому $|x| \ge 0$ для любого действительного $x$. Наименьшее значение выражения $|x|$ равно 0 и достигается при $x=0$. Множество значений функции $y=|x|$ — это луч $[0, +\infty)$.

Функция $f(x) = |x| - 2$ получается из графика $y=|x|$ сдвигом вниз на 2 единицы. Ее наименьшее значение будет:

$0 - 2 = -2$.

Таким образом, множество значений функции — это все числа, большие или равные -2.

Ответ: $E(f) = [-2, +\infty)$.

в) $f(x) = \sqrt{x - 4} + 7$

Сначала найдем область определения функции. Выражение под знаком квадратного корня должно быть неотрицательным:

$x - 4 \ge 0 \implies x \ge 4$.

Значение квадратного корня $\sqrt{x - 4}$ также всегда неотрицательно. Его наименьшее значение равно 0 и достигается при $x=4$.

$\sqrt{x-4} \ge 0$

Чтобы найти множество значений функции $f(x)$, прибавим 7 к обеим частям неравенства:

$\sqrt{x - 4} + 7 \ge 0 + 7$

$f(x) \ge 7$

Наименьшее значение функции равно 7. При увеличении $x$ значение функции неограниченно возрастает. Таким образом, множество значений функции — это все числа, большие или равные 7.

Ответ: $E(f) = [7, +\infty)$.

г) $f(x) = -x^2 + 8x + 1$

Это квадратичная функция, графиком которой является парабола. Так как коэффициент при $x^2$ отрицателен ($a = -1 < 0$), ветви параболы направлены вниз. Это означает, что функция имеет наибольшее значение, которое достигается в вершине параболы.

Координаты вершины параболы $(x_0, y_0)$ находятся по формулам:

$x_0 = -\frac{b}{2a}$

$y_0 = f(x_0)$

В нашем случае $a = -1$, $b = 8$, $c = 1$.

Находим абсциссу вершины:

$x_0 = -\frac{8}{2 \cdot (-1)} = -\frac{8}{-2} = 4$

Находим ординату вершины, которая и является наибольшим значением функции:

$y_0 = f(4) = -(4)^2 + 8 \cdot 4 + 1 = -16 + 32 + 1 = 17$

Поскольку ветви параболы уходят вниз в бесконечность, множество значений функции — это все числа, меньшие или равные 17.

Ответ: $E(f) = (-\infty, 17]$.

Помогло решение? Оставьте отзыв в комментариях ниже.

Присоединяйтесь к Телеграм-группе @gdz_by_belarus

Присоединиться

Мы подготовили для вас ответ c подробным объяснением домашего задания по алгебре за 9 класс, для упражнения номер 2.24 расположенного на странице 87 к учебнику 2019 года издания для учащихся школ и гимназий.

Теперь на нашем сайте ГДЗ.ТОП вы всегда легко и бесплатно найдёте условие с правильным ответом на вопрос «Как решить ДЗ» и «Как сделать» задание по алгебре к упражнению №2.24 (с. 87), авторов: Арефьева (Ирина Глебовна), Пирютко (Ольга Николаевна), учебного пособия издательства Народная асвета.